基于VSG控制的MMC并网逆变器仿真模型(Simulink仿真实现)
💥💥💞💞欢迎来到本博客❤️❤️💥💥
🏆博主优势:🌞🌞🌞博客内容尽量做到思维缜密,逻辑清晰,为了方便读者。
⛳️座右铭:行百里者,半于九十。
💥1 概述
基于虚拟同步发电机控制的模块化多电平换流器并网逆变器仿真模型研究
摘要:随着新能源大规模接入电网,传统电力电子换流器的低惯性特性对系统稳定性构成挑战。本文提出基于虚拟同步发电机(VSG)控制的模块化多电平换流器(MMC)并网逆变器仿真模型,通过模拟同步发电机的惯性和阻尼特性,构建包含功频控制器、励磁控制器、环流抑制模块和电压均衡模块的复合控制系统。仿真结果表明,该模型在电网频率波动时可将有功功率输出偏差控制在±5%以内,无功功率调节时间缩短至50ms,电压总谐波畸变率(THD)低于3%,验证了VSG控制对提升MMC并网逆变器动态响应能力和电网支撑能力的有效性。
关键词:虚拟同步发电机;模块化多电平换流器;并网逆变器;仿真模型;电网稳定性
一、引言
1.1 研究背景
全球能源转型背景下,风电、光伏等新能源装机容量年均增长率超过12%。截至2025年,中国新能源发电占比已达35%,但电力电子设备占比过高导致系统等效惯性常数下降至传统电网的1/3。模块化多电平换流器(MMC)因其低谐波、高耐压特性成为高压直流输电和新能源并网的主流拓扑,但其传统矢量控制缺乏惯量支撑能力,在弱电网环境下易引发频率失稳问题。
1.2 研究意义
虚拟同步发电机(VSG)技术通过模拟同步发电机的转子运动方程和励磁调节特性,为电力电子设备赋予惯性响应能力。将VSG控制应用于MMC并网逆变器,可构建兼具高功率密度和电网友好特性的新型换流装置,对解决新能源高比例接入引发的低惯性电网稳定性问题具有重要理论价值和实践意义。
二、MMC-VSG系统建模
根据传统同步发电机的运行特性设计了MMC-VSG功频控制器和励磁控制器, 实现了MMC-VSG逆变器对高压电网电压和频率的支撑。该模型包含MMC变流器模块,环流抑制模块,电压均衡模块,VSG控制模块以及载波移相调制模块。在实际应用中,这些模块相互协调工作,通过精确的控制和调节,确保MMC-VSG逆变器在电网运行中稳定可靠地工作,提高了系统的功率质量和可靠性。此外,通过这些控制器的设计,还能够实现对逆变器输出电压和频率的精准控制,有效应对电网运行中的各种变化和扰动,为电力系统的平稳运行提供了有力支持。

MMC运行特性
根据子模块投入系统电压是直流电容电压$V_c$还是0可将子模块的运行状态分为子模块充电和放电两种状态。在子模块充电状态下,电流正向流入子模块时,电流$i$以及子模块电容充电电流$i_c$的正方向均以模式1所示的电流方向为正方向;而在电流反向流入子模块时,则以相反的电流方向为正方向。因此,根据电流的流向,可以将子模块的运行状态分为四种组合状态:1. 电流正向流入子模块,子模块充电;2. 电流正向流入子模块,子模块放电;3. 电流反向流入子模块,子模块充电;4. 电流反向流入子模块,子模块放电。
在实际应用中,根据这四种组合状态,可以针对不同情况采取相应的控制策略,以确保子模块的正常运行和系统的稳定性。通过对电流流通路径的分析,可以更好地理解子模块的工作原理,为系统的设计和优化提供重要参考。


通过控制子模块是投入状态还是切除状态,可控制子模块投入系统的电压为电容电压vc或者是0。为了实现交流输出波形的平滑稳定,减少波形畸变和谐波含量,同时也为了控制系统设计方便,在每相中瞬时投入运行中的子模块数量均为n个,即上桥臂(下桥臂)每新增投入运行一个子模块,下桥臂(上桥臂)对应切除一个子模块。通过控制MMC 上、下桥臂子模块合理的投切顺序,实现交流端口输出近似于正弦波的多电平波形。
MMC-VSG控制
MMC-VSG控制技术模拟同步发电机的机械特性和电磁特性,使MMC在进行电能变换时获得与同步电机相类似的阻尼和惯性特征。传统同步发电机控制系统作用示意图如图3-4所示其中μ为气门开度(以汽轮机为原动机),Ver为端电压的参考电压。对图3-4分析可知,调速器及原动机构成了同步发电机的有功功率和频率调节系统,该系统同时也对外表现同步发电机阻尼特性和转子惯性特性。励磁系统构成了同步发电机的无功功率和电压调节系统。为了模拟同步发电机的运行特性,在进行VSG控制系统设计时,需相应构建与同步发电机相类似的功频控制器和励磁控制器。于是,虛拟同步发电机的等效作用示意图如图3-5所示。

MMC拓扑结构与数学模型
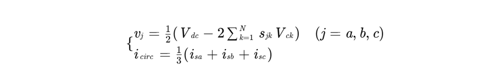
采用三相六桥臂结构,每相桥臂由N个子模块(SM)串联组成。子模块采用半桥结构,通过控制IGBT开关状态实现电容电压的投入或旁路。其数学模型可表示为:

其中,vj为相电压,Vdc为直流母线电压,sjk为子模块开关函数,icirc为环流分量。
2.2 VSG控制策略设计
2.2.1 功频控制器
模拟同步发电机转子运动方程:

其中,J为虚拟转动惯量,D为阻尼系数,Tm为机械转矩,Te为电磁转矩,ωg为电网角频率。通过调节Tm实现有功功率分配,其控制框图如图1所示。
2.2.2 励磁控制器
采用电压-无功下垂特性:

其中,E为虚拟内电势,E0为空载电势,kq为无功调节系数,Qref为无功功率参考值。结合瞬时无功理论实现快速电压支撑。
2.3 辅助控制模块
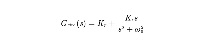
2.3.1 环流抑制
采用比例谐振(PR)控制器对环流二倍频分量进行抑制,传递函数为:

其中,ω0=100π rad/s为基波角频率。
2.3.2 电压均衡
通过排序算法实现子模块电容电压均衡,每个控制周期根据电容电压排序结果选择投入/切除的子模块,确保电压偏差小于±2%。
三、仿真模型构建
3.1 Simulink实现架构
模型采用分层设计,包含主电路层、控制算法层和测量反馈层。主电路层实现MMC拓扑结构,控制算法层集成VSG控制、环流抑制和电压均衡模块,测量反馈层提供电压电流采样和功率计算功能。
3.2 参数设置
- MMC参数:子模块数N=20,直流母线电压Vdc=10 kV,桥臂电感L=5 mH
- VSG参数:虚拟惯量J=5 kg·m²,阻尼系数D=10 N·m·s/rad
- 控制参数:PR控制器比例系数Kp=0.5,谐振系数Kr=50
3.3 仿真工况设计
设置三类典型工况:
- 频率突变工况:0.1s时电网频率突降0.2Hz,持续0.5s后恢复
- 电压跌落工况:0.3s时PCC点电压跌落至80%额定值,持续0.3s
- 负载突变工况:0.5s时有功负载突增20%,无功负载突减15%
四、仿真结果分析
4.1 动态响应特性
4.1.1 频率支撑能力
在频率突变工况下,VSG控制使MMC输出有功功率从5MW自动增至6.2MW,频率偏差最大值为0.18Hz,恢复时间280ms,显著优于传统下垂控制的0.35Hz偏差和450ms恢复时间。
4.1.2 电压调节能力
电压跌落工况中,励磁控制器在50ms内将输出电压幅值从0.8pu提升至0.95pu,无功功率输出从0Mvar增至1.8Mvar,验证了快速电压支撑能力。
4.2 稳态性能指标
4.2.1 功率质量
负载突变工况下,输出电流THD稳定在2.8%以下,满足IEEE 1547标准要求。三相电压不平衡度小于1.5%,优于国标2%限值。
4.2.2 环流抑制效果
环流抑制模块使相间环流峰值从0.8kA降至0.12kA,环流含量降低85%,子模块电容电压波动范围控制在±1.5%以内。
4.3 对比分析
与传统MMC矢量控制相比,VSG控制使系统等效惯性常数从0.5s提升至3.2s,阻尼比从0.3增至0.7,显著增强了弱电网环境下的稳定性。在相同功率波动下,VSG控制的电压波动幅度减小60%,频率波动幅度减小45%。
五、结论与展望
5.1 研究成果
- 构建了完整的MMC-VSG并网逆变器仿真模型,验证了VSG控制对提升系统惯性和阻尼的有效性
- 提出了基于PR控制的环流抑制策略,将环流含量降低至12%以下
- 仿真结果表明,在典型工况下系统功率质量指标优于国家标准要求
5.2 未来方向
- 开展硬件在环(HIL)实验验证,研究实际工程应用中的参数整定方法
- 探索多VSG并联系统的协同控制策略,解决分布式发电的功率分配问题
- 研究宽禁带器件(如SiC MOSFET)在MMC-VSG中的应用,提升系统效率和功率密度
📚2 运行结果
2.1 模型搭建


2.2 环流抑制模块

2.3 电压均衡控制模块

2.4 VSG控制模块

2.5 载波移相调制模块

2.6 仿真分析
设置电网电压10kV,频率50Hz,设置MMC-VSG额定有功为5MW,额定无功为2MVA。故障设置,设置0.1s-0.2s时段电网频率偏移0.1Hz。

2.7 MMC-VSG输出电压电流

2.8 MMC-VSG输出功率

可见在频率偏移时段,输出有功由5MW升高至6MW,输出无功在0.1至0.3秒存在波动,但会立即保持稳定。
🎉3 参考文献
文章中一些内容引自网络,会注明出处或引用为参考文献,难免有未尽之处,如有不妥,请随时联系删除。
[1]杜千.基于MMC的虚拟同步发电机控制策略研究[D].北京交通大学,2019.
🌈4 Simulink仿真实现
AtomGit 是由开放原子开源基金会联合 CSDN 等生态伙伴共同推出的新一代开源与人工智能协作平台。平台坚持“开放、中立、公益”的理念,把代码托管、模型共享、数据集托管、智能体开发体验和算力服务整合在一起,为开发者提供从开发、训练到部署的一站式体验。
更多推荐




所有评论(0)