基于MATLAB的MT-2型车钩缓冲器的列车纵向动力学仿真,牵引制动特性,车辆冲击试验
基于MATLAB的MT-2型车钩缓冲器的列车纵向动力学仿真,牵引制动特性,车辆冲击试验,线路模拟 根据'MT-2型缓冲器的结构建立了详细的数学模型,并应用于列车纵向动力学仿真 (带程序使用说明和源代码,原文献)

在重载铁路运输领域,列车纵向动力学特性直接关系到行车安全与运输效率。本套基于MATLAB开发的仿真系统,以MT-2型车钩缓冲器为核心,构建了覆盖列车牵引、制动、冲击试验及线路模拟的全场景仿真体系,为重载列车设计优化与运行安全评估提供了精准高效的技术工具。
一、系统核心基础:MT-2型缓冲器精细化建模
系统的核心优势在于对MT-2型摩擦式缓冲器的物理建模精度。该缓冲器作为我国重载铁路货车的核心部件,其结构包含楔组(中心楔块、楔块、固定斜板)、板组(外固定板、动板)、主系弹簧(外圆弹簧、内圆弹簧、角弹簧)及复位弹簧四大关键模块。

基于MATLAB的MT-2型车钩缓冲器的列车纵向动力学仿真,牵引制动特性,车辆冲击试验,线路模拟 根据'MT-2型缓冲器的结构建立了详细的数学模型,并应用于列车纵向动力学仿真 (带程序使用说明和源代码,原文献)

在数学建模层面,系统突破传统查表法、曲线拟合法的局限性,从物理本质出发实现多维度精准描述:
- 力学特性分段建模:根据缓冲器工作原理,将加载过程分为楔组加载、楔组-板组加载两阶段,卸载过程分为楔组卸载、楔组-板组卸载两阶段,通过受力分析推导各阶段阻抗力传递系数。例如,楔组加载阶段考虑楔块与中心楔块、固定斜板、中心弹簧座的三向摩擦力,引入摩擦角与动态摩擦系数,建立阻抗力计算公式$F{1}=\psi{1}(F{m}-F{r})$(其中$\psi{1}$为楔组加载传递系数,$F{m}$为主系弹簧力,$F_{r}$为复位弹簧力)。
- 动态特性实时计算:引入速度相关的动态摩擦模型$u=(a1+a2v)e^{-a3v}+a4$($a1$-$a4$为实验拟合系数,$v$为摩擦副相对速度),结合构件运动速度矢量关系,实时更新摩擦系数,解决静态建模与实际动态工况的偏差问题。
- 结构参数精准映射:基于缓冲器装车前后的结构变化,计算弹簧预压缩量与初始弹力。例如,外圆弹簧装车后压缩量$x{w1}=x{w0}-q\cdot l$($x{w0}$为预压缩量,$q$为行程系数,$l$为装车后伸展尺寸),主系弹簧初始力$F{m1}=kwx{w1}+knx{n1}+4kjx{j1}$($kw$、$kn$、$k_j$分别为外圆、内圆、角弹簧刚度)。
二、核心仿真功能模块
(一)列车牵引工况仿真
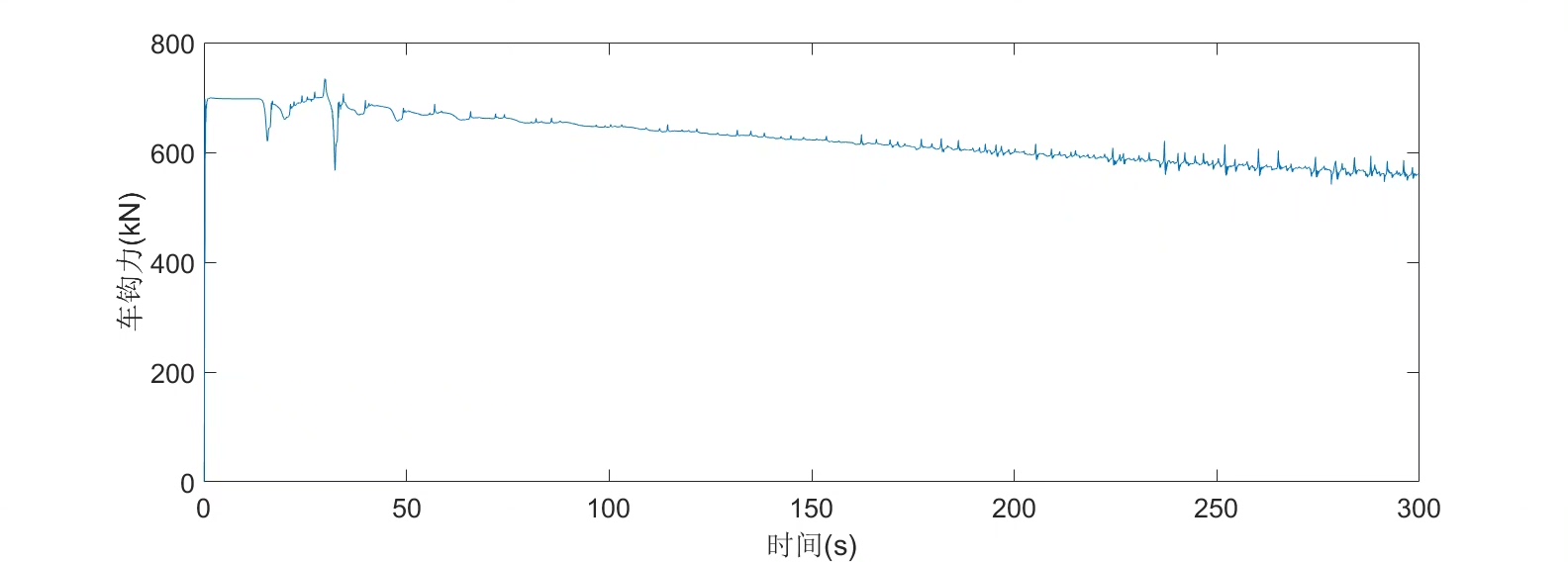
牵引模块以la160.m为主程序、qianyin160.m/qianyin1100.m为子程序,支持单编万t级列车(1辆HXD1型电力机车+100辆C80货车)的起动与匀速运行仿真,核心功能包括:
- 牵引特性精准复现:基于HXD1型机车牵引曲线,构建分段式牵引力模型。当速度$v\leq5km/h$时,牵引力保持700kN恒定;当$5{LT}=715.846-3.169v$;当$v>70km/h$时,牵引力按双曲线衰减$F{LT}=34371/v$,真实反映机车功率限制特性。
- 多因素影响分析:支持车钩间隙(7mm/9.5mm/12mm)、线路坡度(-4‰~4‰)等参数调整,输出不同工况下的列车速度曲线与最大车钩力分布。例如,仿真结果显示,车钩间隙从12mm减小至7mm时,牵引工况最大车钩力可降低11.1%;3‰上坡坡度下,列车稳态速度较平道下降46.6%,体现线路条件对牵引性能的显著影响。
- 关键参数实时输出:自动计算并存储各车辆位移、速度、加速度及相邻车钩力数据,通过
plot函数生成速度-时间曲线、车钩力-时间曲线,直观展示列车起动过程中的动态响应。
(二)列车制动工况仿真
制动模块分为常用制动与紧急制动两大子模块,分别以zhidongmain.m/zhidong14.m、jjzhidong.m/jjzhidong14.m为核心程序,实现制动过程的全维度仿真:
- 制动特性差异化建模:
- 常用制动:制动缸压力按缓变曲线升压,$t\in[0.1i,110+0.1i]$($i$为车辆编号)时,压力$p=0.091t-0.0091i$,最终稳定在100kPa,制动力温和增长,适合常规减速场景。
- 紧急制动:制动缸压力快速升压,$t\in[0.05i,20+0.05i]$时,压力$p=21.5t-1.075i$,最高达430kPa,同时激活机车再生制动,制动力峰值达460kN,制动效率显著提升。 - 制动性能多指标评估:输出制动时间、制动距离、最大车钩力三大核心指标。以80km/h初速度平道制动为例,常用制动时间121s、距离1673m、最大压钩力1092kN;紧急制动时间38s、距离530m、最大压钩力1819kN,数据差异符合实际制动特性,为制动策略优化提供依据。
- 坡道与车钩间隙影响分析:支持-8‰~8‰坡度仿真,结果显示,8‰下坡坡度下常用制动距离较平道增加37.6%;车钩间隙对制动车钩力分布无明显规律,但小间隙可减少制动初期的冲击波动。
(三)车辆冲击试验仿真
冲击模块以c11main.m/chongji11、c23.m/chongji23.m为核心,模拟调车作业中车辆碰撞场景,用于验证MT-2型缓冲器特性:
- 冲击场景灵活配置:支持2车、5车等多编组冲击,冲击初速度可设置为5-8km/h(覆盖实际调车速度范围),被冲击车辆初始静止,模拟真实调车碰撞过程。
- 缓冲器特性验证:通过计算缓冲器行程与车钩力的关系,生成缓冲器动态特性曲线。例如,8km/h冲击速度下,缓冲器最大行程42mm(小于额定最大行程85mm),最大车钩力1850kN(小于额定阻抗力2270kN),且加载-卸载曲线呈现明显滞回特性,摩擦能量耗散率达80%以上,符合MT-2型缓冲器设计标准。
- 碰撞强度量化分析:引入碰撞强度系数$C$(最大距离处能量积分)、$E$(最小距离处能量积分)及比率$R=E/C\times100\%$,量化评估冲击过程的剧烈程度,为缓冲器性能优化提供量化指标。
(四)线路模拟仿真
线路模拟模块以moni.m为主程序、xianlu1_100.m为子程序,基于神池南-宁武西实际货运线路(11km),构建多工况耦合的复杂线路仿真环境:
- 线路条件精准复现:
- 坡道阻力:按实际线路纵断面设置16段不同坡度(1.5‰~-9.5‰),例如3500-3811.5m段坡度-8.4‰,模拟大下坡风险路段。
- 曲线阻力:根据线路曲线参数(半径400-1500m),按公式$wr=600/R$($R$为曲线半径)计算曲线附加阻力,如R=400m曲线段阻力达1.5N/kN。
- 隧道阻力:对12段隧道(长度40-600m),按速度平方关系计算附加阻力$wt=k\cdot v^2$($k$为隧道系数),模拟隧道内空气阻力变化。 - 司机操作逻辑融入:根据线路限速(如部分路段限速47km/h),自动调整机车牵引力与制动力,例如在3km处下坡路段触发常用制动,使速度稳定在限速范围内,模拟实际驾驶决策过程。
- 长编组动态响应分析:输出全线路各车辆的速度、车钩力、缓冲器行程数据。以46号车为例,在5km处下坡制动时,最大压钩力达1124kN,缓冲器行程45mm,体现长编组列车在复杂线路下的纵向动态耦合效应。
三、程序运行与操作说明
(一)程序结构与依赖
系统采用“主程序+子程序”模块化设计,主程序负责参数初始化、微分方程求解与结果输出,子程序负责动力学模型计算(如缓冲器阻抗力、牵引力/制动力、列车阻力)。核心依赖MATLAB的ode45函数(4-5阶龙格-库塔法),实现非线性微分方程组的自适应步长求解,兼顾计算精度(误差控制在1e-6)与效率(101辆车3000s仿真约需5-8分钟)。
(二)参数调整与运行步骤
- 基础参数设置:在主程序中修改
n(车辆数)、v0(初始速度)、t1(仿真时间),例如制动仿真需将t1设为167s(避免速度为负报错);在子程序中修改dr(车钩间隙)、po(坡道阻力系数)等参数。 - 工况选择与运行:直接运行对应主程序(如牵引仿真运行
la160.m,线路模拟运行moni.m),MATLAB自动执行初始化、积分求解、结果计算,左下角显示“正忙”表示计算中。 - 结果查看与绘图:程序自动生成关键曲线(如
figure(61)为速度-时间曲线,figure(1)为1号车钩力曲线),也可通过load函数调用.mat结果文件,使用plotpicture.txt中的代码绘制多工况对比图(如不同车钩间隙最大车钩力对比)。
(三)结果输出与分析
仿真结果以数组形式存储,关键输出包括:
t:时间序列(s)y:车辆状态矩阵(每2列对应1辆车,第1列为位移m,第2列为速度m/s)s:缓冲器行程矩阵(mm)Fc:车钩力矩阵(kN)smax/Fcmax/Fcmin:最大缓冲器行程、最大/最小车钩力
通过这些数据,可分析列车在不同工况下的动态性能,例如牵引工况最大车钩力位于车尾(98号车),制动工况最大车钩力位于中间车辆(50号车附近),为列车编组优化与安全运行提供数据支撑。
四、系统价值与应用场景
本仿真系统凭借MT-2型缓冲器的精细化建模与全工况覆盖能力,可广泛应用于重载铁路领域的多个场景:
- 缓冲器性能验证:通过冲击试验仿真,验证MT-2型缓冲器的阻抗力、行程、能量吸收特性是否满足设计要求,替代部分物理试验,降低研发成本。
- 列车运行安全评估:模拟复杂线路(坡道、曲线、隧道)与操作工况(起动、制动)下的车钩力分布,识别潜在超限风险(如紧急制动最大车钩力1819kN需控制在车钩许用值内)。
- 运营参数优化:分析车钩间隙、制动操纵方式等参数对列车动态性能的影响,例如推荐采用9.5mm车钩间隙,在减少冲击与降低成本间实现平衡。
- 新车型研发支持:为C80货车、HXD1机车等车型的纵向动力学性能优化提供仿真工具,提前发现设计缺陷,缩短研发周期。
综上,本套MATLAB仿真系统实现了MT-2型车钩缓冲器与列车纵向动力学的深度耦合,其建模精度高、功能覆盖全、操作便捷,为重载列车的安全运行与技术创新提供了有力的数字化支撑。



AtomGit 是由开放原子开源基金会联合 CSDN 等生态伙伴共同推出的新一代开源与人工智能协作平台。平台坚持“开放、中立、公益”的理念,把代码托管、模型共享、数据集托管、智能体开发体验和算力服务整合在一起,为开发者提供从开发、训练到部署的一站式体验。
更多推荐

所有评论(0)