【Reading Notes】(4)Favorite Articles from 2021

文章目录
1、January
- 把你的朋友变成表情包?Python:So easy(2021年01月07日)

2、February
- 如何看待计算机视觉未来的走向(2021年02月19日)
- 我对技术的看法是,技术必须服务于人,必须对社会有益,推动社会进步,而负责实现这件事的正是企业,企业必须将技术落地应用,变成产品,为人类服务,为社会服务。
- 谈及我对计算机视觉的看法,技术和产品的关系就像是硬件与软件的关系。当硬件发展到一定水平时,如果软件的发展速度跟不上,那么硬件就毫无作用。当软件发展起来后,又受到硬件水平的限制,软件要进一步提高,需要提升硬件水平。
- 从我的角度来看,它在未来一定能与机器人结合,我指的机器人并不只是人形机器人,主要是各种智能化设备,如场景监控,服务机器人,无人驾驶,医疗设备,嵌入式设备等。

- 从我的理解来看,日后硬件水平会有较大发展,用于深度学习的专用处理器会有较好的性能。因此,计算机视觉未来的应用场景很广泛,我们需要对每一个具体的应用场景设计一个很小的,专一的,可以用于嵌入式设备的模型。模型小型化,轻量化,检测实时化。
3、March
4、April
5、May
- 如何看待计算机视觉未来的走向(二)从产品的角度聊一聊(2021年05月17日)
- 在上篇中也提到了计算机视觉在未来可以与机器人、移动端和嵌入式设备端结合,而它们之间的结合会出现很多新产品,这些产品之间是有区别的。第一,它们的应用场景不同;第二,它们的算法不同;第三,它们的硬件不同;第四,它们实现的功能不同。
- 以往我们总是带着需求去研发技术,很奇怪的是,到了计算机视觉这个领域,大家都在带着技术去找应用场景。然后我们就发现了,深度学习这个技术需要大数据和计算算力,结果符合大算力和大数据的场景没几个,然后就没人做产品了?
6、June
-
邱锡鹏,这是Transformer最全综述(2021年06月11日)
- A Survey of Transformers
- 各种 Transformer 变体(又名 X-former)







-
从R-CNN到Mask R-CNN的思维跃迁(2021年06月15日)
7、July
-
华人占大半壁江山!CVPR 2021 目标检测论文大盘点(65篇论文)(2021年07月01日)
- 2D目标检测
- 旋转目标检测
- Few-Shot目标检测
- 半监督目标检测
- 域自适应目标检测
- 自监督目标检测
- 弱监督目标检测
- 其他
-
三个最新屠榜的Backbone!(2021年07月07日)
- Focal Transformer:Focal Self-attention for Local-Global Interactions in Vision Transformers
- CSWin Transformer:CSWin Transformer: A General Vision Transformer Backbone with Cross-Shaped Windows
- CBNetv2:CBNetV2: A Composite Backbone Network Architecture for Object Detection
-
一文看尽 27 篇 CVPR2021 2D 目标检测论文(2021年07月11日)
-
13个offer,8家SSP,谈谈我的秋招经验(2021年07月16日)
-
2020东京奥运秘密武器曝光:AI不仅负责计时,还逼这些裁判失业!( 2021年07月26日)

(左上)相机画面,(左下)时间轴,(中)AI捕捉的选手动作,(右)每种技术的「裁判员看点」
2019年世锦赛,国际体操协会就应用了富士通开发的激光雷达技术。 他们研究体育中3D感应技术的潜力,将激光雷达与AI系统连接起来。 通过每秒约200万次或更多的激光照射运动员并根据反射时间计算距离,捕捉到人的3D形状。 此外还开发了一种算法,根据获取的运动员的3D数据,获取关节位置的3D数据,然后对照数据库评分。 -
14种轻量级网络综述 — 主干网络篇(2021年07月27日)
- SqueezeNet系列
- ShuffleNet系列(V1、V2)
- MnasNet
- MobileNet系列(V1、V2、V3)
- CondenseNet
- ESPNet系列
- ChannelNets
- PeleeNet
- IGC系列(V1、V2、V3)
- FBNet系列(V1、V2、V3)
- EfficientNet
- GhostNet
- WeightNet
- MicroNet
-
实时检测 17 个人体关键点,谷歌 SOTA 姿态检测模型,手机端也能运行( 2021年07月29日)
近日,来自谷歌的研究者更新了用于实时姿态检测的项目,该项目包含 3 种 SOTA 模型,其中 MoveNet 模型可检测人体 17 个关键点、并以 50+ fps 在电脑和手机端运行;BlazePose 可检测人体 33 个关键点;PoseNet 可以检测人体多个姿态,每个姿态包含 17 个关键点。
8、August
-
CVPR2021 分割之“Boundary IoU”,衡量物体边界分割质量的新度量(2021-08-04)
-
jpUAIAwqVXgZXo2BxmmkjQ
-
分割错误
-

-

-
上式中的 G d G_d Gd 表示与ground truth mask的轮廓距离不大于 d d d 的像素集合, P d P_d Pd 表示与预测 mask 的轮廓距离不大于 d d d 的像素集合。
-
以Boundary IoU为基础,构造Boundary AP代替使用Mask IoU计算的Mask AP,用于评价实例分割算法性能,并给出常用实例分割算法的Boundary AP值。
-
-
使用Python轻松获取股票&基金数据(2021年08月06日)
- AKShare 是基于 Python 的开源金融数据接口库,目的是实现对股票、期货、期权、基金、债券、外汇等金融产品和另类数据从数据采集,数据清洗到数据下载的工具,满足金融数据科学家、数据科学爱好者在数据获取方面的需求。
-
国内AI研究「顶不了天、落不了地」,李国杰院士文章刷屏!到底什么是基础研究?(2021年08月09日)
- 我们的研究多数是技术驱动、论文导向,目标导向和问题导向的研究较少
- 我们与一流科学家的差距之一是选择可突破的重大科学问题的眼光不够敏锐,布局的科研项目要么是增量式的技术改进,要么是几十年都难以突破的理想型目标
- 理性的人工智能发展模式应该承认人有人智,机有机「智」,要充分发挥机器「思维」的特长,做人不擅长做的事情
- 工程科学技术不只是工具,也不仅仅是基础研究成果的应用,而是在基础研究中可以发挥巨大作用的重要组成部分
-
美国普林斯顿大学的唐纳德 · 斯托克斯(Donald E. Stokes)通过 4 个象限定义了不同的研究类型,其中基础研究包括纯基础研究(波尔象限)与由应用驱动的基础研究(巴斯德象限)

其实波尔象限与巴斯德象限,在具体科研实践时其实是一样的,就是「把问题的底层原理搞清楚」,只是问题的来源有所不同。波尔象限的问题来源主要来自学科自身,如为什么会有量子纠缠现象;而巴斯德象限的问题来源主要来自现实应用,如为什么牛奶会腐败。 -
江大白:这些年从0转行AI行业的一些感悟(2021年08月26日)
-
图灵YYDS!60年前不被看好的理论再次被证,这次是原子层面的( 2021年08月23日)
图灵斑图 (turing pattern)

公式认为,任何重复的自然图案,都是通过两种具有特定特征的事物(如分子、细胞)进行相互作用而产生的。
此前对于图灵斑图的研究,大多集中于宏观层面,从微观尺度应用反应扩散方程的研究少之又少。
如果能预测甚至影响微观晶体在某个方向上生长,就能将那个方向的物理/化学性能发挥得更好,例如材料的催化性能等。
9、September
- 几个可以整蛊你朋友的 Python 程序(2021年09月02日)
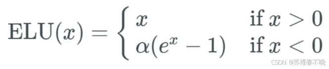
- 从 ReLU 到 GELU,一文概览神经网络的激活函数(2022-09-15)
-

-
ELU
-

-

-
SELU
-

-
Leaky ReLU
-

-
GELU(似乎是 NLP 领域的当前最佳;尤其在 Transformer 模型中表现最好;)
-

-

-
- 用Python创建假新闻检测器(2021年09月17日)
- 数据集:希腊假新闻(GFN)数据集由用希腊语编写的真新闻和假新闻组成,可用于训练文本分类模型以及其他NLP任务。
- python 库:spaCy Python库,这是一个NLP库,它附带了预训练的模型,并且支持标识化和60多种语言的训练。
- web 框架:Streamlit是一个Python框架,它允许你快速地为数据科学项目构建web应用程序。
- 开发Web应用程序
10、October
-
语言模型“不务正业”做起目标检测,性能还比DETR、Faster R-CNN更好 | Hinton团队研究(2021年10月01日)
Chen T, Saxena S, Li L, et al. Pix2seq: A language modeling framework for object detection[J]. arXiv preprint arXiv:2109.10852, 2021.
ICLR-2022

作者直接使用timm中的DeiT作为encoder。 -
3年半巨亏242亿!商汤高估了深度学习,下错了棋?( 2021年10月12日)
云从亏损近30亿,依图三年半累计亏损超72亿,旷视累计亏损150亿。商汤近三年半累计扣非净亏损242亿元。
「小公司自己的算法虽然没商汤的好,但是符可以自定义需求。商汤这样AI公司提供的算法虽然结果准确,但是不能根据我们的产品需要进行小的定制化的修改,那还是没法用。

-
Facebook 于 2021 年 10 月 28 日正式宣布将公司更名为 Meta,以反映其对构建 元宇宙(Metaverse) 的长期愿景。这一改名标志着公司战略的重大转型,旨在摆脱“仅是一个社交媒体公司”的标签,转向更广泛的虚拟现实和增强现实领域。(2021 年10月28日)
11、November
-
Pycharm那些隐藏的实用小技巧,yyds!(2021-11-03)
- 查找修改历史:只需要右击文件,在Local History里面就能查到所有的历史版本。
- 设置个性背景?

-
对程序员来说,算法是“花拳绣腿”吗?(2021-11-07)
-
去AV片马赛克,开发者被抓了(2021-11-16)
- 目前,比较火的反马赛克软件有两款,分别是 JavPlayer 和 PULSE。
12、December
AtomGit 是由开放原子开源基金会联合 CSDN 等生态伙伴共同推出的新一代开源与人工智能协作平台。平台坚持“开放、中立、公益”的理念,把代码托管、模型共享、数据集托管、智能体开发体验和算力服务整合在一起,为开发者提供从开发、训练到部署的一站式体验。
更多推荐






所有评论(0)