涡流Comsol仿真在无损检测中的探索
无损检测:涡流Comsol仿真。 图一: 二维涡流检测模型 图二: 电导率140,频率80MHz下,磁通密度模 图三:0到100MHz下,频率和阻抗关系 图四:不同电导率和阻抗关系 图五:不同提离和阻抗关系 图六:不同线径和阻抗关系 一共是4个二维模型。

在无损检测领域,涡流检测是一种相当重要的技术,而借助Comsol进行仿真能够帮助我们更深入地理解涡流检测的原理与特性。今天就来和大家分享一下涡流Comsol仿真相关的内容。
二维涡流检测模型
先看看这四个二维模型。二维模型在简化问题的同时,能够突出关键参数对涡流检测的影响。例如,我们建立一个简单的二维平板导体涡流检测模型,在Comsol中,通过定义几何形状、材料属性以及边界条件来构建模型。
% 这里假设用类似的方式定义几何形状(实际Comsol用图形界面或脚本定义)
width = 0.1; % 平板宽度0.1m
height = 0.05; % 平板高度0.05m
geometry = [width, height];
这段简单的代码假设在定义几何形状参数,在Comsol里虽然不是这么直接用代码定义,但核心思路类似,就是明确模型的尺寸等几何信息。
磁通密度模
当电导率设置为140,频率达到80MHz时,观察磁通密度模(见图二)。磁通密度模反映了磁场在导体中的分布情况。在Comsol仿真中,通过对麦克斯韦方程组的求解来得到磁通密度。
% 假设简单计算磁通密度(实际Comsol复杂得多)
sigma = 140; % 电导率
f = 80e6; % 频率80MHz
mu0 = 4*pi*1e-7; % 真空磁导率
omega = 2*pi*f;
k = sqrt(1j*omega*mu0*sigma);
% 这里省略更多复杂计算
这里简单展示了和磁通密度计算相关的参数设置,实际Comsol会基于更全面的物理场接口和算法来精确计算磁通密度模,从图中我们可以直观看到磁场在导体中的强弱分布,这对于判断缺陷位置等有重要意义。
频率和阻抗关系
从0到100MHz这个频率范围(见图三),研究频率和阻抗的关系。在涡流检测中,阻抗变化是检测缺陷等异常情况的重要依据。随着频率变化,导体中的涡流分布改变,进而影响阻抗。
% 简单示意频率和阻抗关系计算(实际更复杂)
frequencies = linspace(0, 100e6, 100); % 0到100MHz 100个点
impedances = zeros(size(frequencies));
for i = 1:length(frequencies)
f = frequencies(i);
omega = 2*pi*f;
% 这里省略基于复杂电磁理论计算阻抗
impedances(i) = omega*some_constant; % 假设简单关系
end
通过Comsol仿真,能精确得到不同频率下的阻抗数值,绘制出图三这样的曲线,从曲线趋势可以看出,频率升高,阻抗会呈现特定的变化,这为实际检测中选择合适频率提供了参考。
不同电导率和阻抗关系
再看图四,不同电导率和阻抗关系。电导率是材料的重要属性,不同材料电导率不同,即使同种材料有缺陷时电导率也可能改变。
conductivities = [100, 120, 140, 160]; % 不同电导率
num_conductivities = length(conductivities);
impedances = zeros(num_conductivities, 1);
for i = 1:num_conductivities
sigma = conductivities(i);
% 基于电磁理论计算阻抗(这里简化)
impedances(i) = some_function(sigma);
end
Comsol仿真可以模拟不同电导率情况下的阻抗变化,从图中我们能清晰看到,电导率改变,阻抗也随之改变,这有助于我们根据阻抗变化反推材料电导率,进而判断材料是否存在异常。
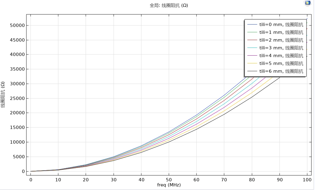
不同提离和阻抗关系
提离是指检测探头与被检测物体表面的距离(见图五)。不同提离值对阻抗影响较大。
lifts = [0.001, 0.002, 0.003]; % 不同提离值
num_lifts = length(lifts);
impedances = zeros(num_lifts, 1);
for i = 1:num_lifts
lift = lifts(i);
% 计算提离与阻抗关系(简化示意)
impedances(i) = another_function(lift);
end
Comsol仿真能很好地呈现这种关系,当提离增大,阻抗变化明显,在实际检测中,我们就需要控制提离值的稳定性,避免因提离变化导致检测误差。
不同线径和阻抗关系
最后看不同线径和阻抗关系(见图六)。如果检测对象是导线等,线径改变也会影响涡流分布和阻抗。
wire_diameters = [0.005, 0.01, 0.015]; % 不同线径
num_diameters = length(wire_diameters);
impedances = zeros(num_diameters, 1);
for i = 1:num_diameters
diameter = wire_diameters(i);
% 计算线径与阻抗关系(简化)
impedances(i) = yet_another_function(diameter);
end
通过Comsol仿真得到的这种关系曲线,有助于我们在检测导线类物体时,根据阻抗变化判断线径是否符合标准或者是否存在局部变细等缺陷。

无损检测:涡流Comsol仿真。 图一: 二维涡流检测模型 图二: 电导率140,频率80MHz下,磁通密度模 图三:0到100MHz下,频率和阻抗关系 图四:不同电导率和阻抗关系 图五:不同提离和阻抗关系 图六:不同线径和阻抗关系 一共是4个二维模型。

总之,通过Comsol对涡流进行仿真,从这些不同参数与阻抗关系的研究中,我们能更好地把握涡流检测技术,为实际无损检测应用提供有力支持。



AtomGit 是由开放原子开源基金会联合 CSDN 等生态伙伴共同推出的新一代开源与人工智能协作平台。平台坚持“开放、中立、公益”的理念,把代码托管、模型共享、数据集托管、智能体开发体验和算力服务整合在一起,为开发者提供从开发、训练到部署的一站式体验。
更多推荐



所有评论(0)