高频电磁场仿真-主题049-电磁兼容与干扰分析
主题049:电磁兼容与干扰分析
目录










一、电磁兼容基础理论
1.1 电磁兼容的基本概念
电磁兼容(Electromagnetic Compatibility, EMC)是指设备或系统在其电磁环境中能正常工作,且不对该环境中任何事物构成不能承受的电磁骚扰的能力。电磁兼容包含两个方面的要求:
- 电磁干扰(EMI):设备或系统在正常运行过程中产生的电磁能量,对其他设备或系统造成的不良影响
- 电磁敏感性(EMS):设备或系统抵抗外部电磁干扰的能力,也称为电磁抗扰度
电磁兼容的三要素模型:
干扰源 → 耦合路径 敏感设备 干扰源 \xrightarrow{耦合路径} 敏感设备 干扰源耦合路径敏感设备
要实现电磁兼容,必须对这三个要素进行控制:
- 抑制干扰源:降低干扰源的发射电平
- 切断耦合路径:采用屏蔽、滤波、接地等措施
- 提高敏感设备的抗扰度:增强设备的电磁抗干扰能力
1.2 电磁兼容的重要性
随着电子设备的广泛应用和集成度的提高,电磁兼容问题日益突出:
- 设备密集度增加:现代电子系统中设备数量大幅增加,相互干扰风险增大
- 工作频率提高:高速数字电路和射频电路产生更丰富的谐波分量
- 灵敏度提高:低电压、低功耗器件对电磁干扰更加敏感
- 法规要求:各国都制定了严格的EMC法规标准,产品必须通过认证
EMC问题的影响:
- 设备性能下降或功能失效
- 数据错误或丢失
- 系统崩溃或损坏
- 安全隐患(如医疗设备、航空电子)
1.3 频谱管理与EMC标准
电磁频谱是有限的资源,需要进行有效管理。国际电信联盟(ITU)负责全球频谱分配,各国设有相应的管理机构(如FCC在美国、CE在欧洲、SRRC在中国)。
主要EMC标准体系:
-
CISPR标准(国际无线电干扰特别委员会):
- CISPR 11:工业、科学和医疗(ISM)设备
- CISPR 22/32:信息技术设备
- CISPR 25:车辆、船舶和内燃机
-
IEC标准(国际电工委员会):
- IEC 61000系列:电磁兼容性基础标准
- IEC 61000-4-x:抗扰度测试方法
- IEC 61000-3-x:发射限值
-
军用标准:
- MIL-STD-461/462:美国军用EMC标准
- GJB 151/152:中国军用EMC标准
1.4 EMC设计流程
电磁兼容设计应贯穿产品开发的整个生命周期:
1. 需求分析阶段:
- 确定产品的EMC标准要求
- 识别潜在的干扰源和敏感电路
- 制定EMC设计目标和预算
2. 设计阶段:
- 电路设计:选择合适的器件、降低di/dt和dv/dt
- PCB设计:合理的层叠结构、布线策略、去耦设计
- 结构设计:屏蔽设计、接地设计、电缆布局
3. 仿真分析阶段:
- 信号完整性(SI)分析
- 电源完整性(PI)分析
- 电磁干扰(EMI)仿真
4. 测试验证阶段:
- 预兼容测试
- 正式EMC测试
- 问题诊断与整改
二、电磁干扰源与耦合机制
2.1 自然干扰源
1. 雷电:
- 电流幅值:数千至数十万安培
- 上升时间:微秒级
- 频谱范围:DC至数百MHz
- 影响:直接击中、感应耦合、地电位升高
2. 静电放电(ESD):
- 电压幅值:数千至数万伏
- 上升时间:亚纳秒级
- 频谱范围:DC至GHz
- 影响:设备损坏、数据错误、系统复位
3. 太阳活动和宇宙噪声:
- 太阳耀斑、射电爆发
- 银河背景噪声
- 主要影响卫星通信和射电天文
2.2 人为干扰源
1. 电力系统干扰:
- 开关操作:断路器、接触器、继电器
- 负载切换:电机启动、电容器投切
- 谐波:整流器、变频器、电弧炉
- 电压暂降/中断
2. 数字电路干扰:
- 时钟谐波:高速时钟的各次谐波
- 开关噪声:逻辑电平跳变产生的宽带噪声
- 同步开关噪声(SSN):多路信号同时切换
3. 射频设备:
- 广播发射机:AM/FM/TV
- 移动通信:手机基站、对讲机
- 雷达系统
- 工业、科学和医疗(ISM)设备
4. 汽车电子:
- 点火系统:火花塞放电
- 电机驱动:雨刮器、电动车窗
- 燃油喷射系统
2.3 耦合机制
电磁干扰从干扰源传输到敏感设备主要通过四种耦合方式:
1. 传导耦合(Conducted Coupling):
干扰通过导线、电缆、PCB走线等导体传输。
- 共模传导:干扰电流在相线和中线上同向流动
- 差模传导:干扰电流在相线和中线上反向流动
2. 电场耦合(Electric Field Coupling):
通过电容耦合,干扰源的电场在敏感电路上感应出电压。
耦合电压:
V c o u p l e d = j ω C m u t u a l Z v i c t i m V s o u r c e V_{coupled} = j\omega C_{mutual} Z_{victim} V_{source} Vcoupled=jωCmutualZvictimVsource
其中 C m u t u a l C_{mutual} Cmutual为互电容, Z v i c t i m Z_{victim} Zvictim为受害电路阻抗。
减小电场耦合的方法:
- 增加间距
- 使用屏蔽层
- 降低源电压或受害电路阻抗
3. 磁场耦合(Magnetic Field Coupling):
通过互感耦合,干扰源的磁场在敏感电路上感应出电压。
感应电压:
V i n d u c e d = j ω M I s o u r c e V_{induced} = j\omega M I_{source} Vinduced=jωMIsource
其中 M M M为互感, I s o u r c e I_{source} Isource为干扰源电流。
减小磁场耦合的方法:
- 增加间距
- 使用双绞线或同轴电缆
- 减小环路面积
- 使用高磁导率屏蔽材料
4. 辐射耦合(Radiated Coupling):
干扰源以电磁波形式辐射能量,被敏感设备接收。
近场/远场分界距离:
r = λ 2 π ≈ 47.7 f ( M H z ) (m) r = \frac{\lambda}{2\pi} \approx \frac{47.7}{f(MHz)} \text{ (m)} r=2πλ≈f(MHz)47.7 (m)
在近场区:
- 高阻抗源(如偶极子天线)主要产生电场
- 低阻抗源(如环形天线)主要产生磁场
在远场区:电场和磁场以固定比例(377Ω)存在。
三、传导干扰与辐射干扰
3.1 传导干扰分析
共模干扰与差模干扰:
共模干扰是指同时出现在相线和中线(或信号线和地线)上、相对于地的同相干扰电压。差模干扰是指出现在相线和中线之间、与工作信号串联的干扰电压。
传导干扰的频谱特性:
- 低频段(<1MHz):主要是差模干扰
- 高频段(>1MHz):共模干扰占主导
传导干扰的测量:
使用线路阻抗稳定网络(LISN)进行传导发射测量:
V m e a s u r e d = V C M + V D M V_{measured} = V_{CM} + V_{DM} Vmeasured=VCM+VDM
通过LISN可以将共模和差模干扰分离,分别进行测量和分析。
3.2 辐射干扰分析
辐射发射的来源:
-
差模辐射:由信号环路产生
辐射电场:
E = 1.316 × 10 − 14 f 2 A I r E = \frac{1.316 \times 10^{-14} f^2 A I}{r} E=r1.316×10−14f2AI
其中 A A A为环路面积, I I I为电流, f f f为频率, r r r为距离
-
共模辐射:由共模电流在电缆上产生
辐射电场:
E = 6.28 × 10 − 7 f L I C M r E = \frac{6.28 \times 10^{-7} f L I_{CM}}{r} E=r6.28×10−7fLICM
其中 L L L为电缆长度, I C M I_{CM} ICM为共模电流
减小辐射发射的方法:
- 减小信号环路面积
- 控制共模电流
- 使用屏蔽电缆
- 合理布局,避免天线效应
3.3 传输线理论在EMC中的应用
传输线模型:
对于高频信号,PCB走线和电缆需要用传输线理论分析:
特性阻抗:
Z 0 = L C Z_0 = \sqrt{\frac{L}{C}} Z0=CL
传播速度:
v = 1 L C = c ε r v = \frac{1}{\sqrt{LC}} = \frac{c}{\sqrt{\varepsilon_r}} v=LC1=εrc
反射与匹配:
当传输线终端阻抗不匹配时,会产生反射:
Γ = Z L − Z 0 Z L + Z 0 \Gamma = \frac{Z_L - Z_0}{Z_L + Z_0} Γ=ZL+Z0ZL−Z0
反射会导致信号完整性问题和额外的辐射发射。
串扰分析:
相邻传输线之间的串扰:
-
近端串扰(NEXT):
N E X T = V n e a r V s o u r c e = 1 4 ( C m C + L m L ) NEXT = \frac{V_{near}}{V_{source}} = \frac{1}{4}\left(\frac{C_m}{C} + \frac{L_m}{L}\right) NEXT=VsourceVnear=41(CCm+LLm)
-
远端串扰(FEXT):
F E X T = V f a r V s o u r c e = l 2 t r ( C m C − L m L ) FEXT = \frac{V_{far}}{V_{source}} = \frac{l}{2t_r}\left(\frac{C_m}{C} - \frac{L_m}{L}\right) FEXT=VsourceVfar=2trl(CCm−LLm)
其中 C m C_m Cm、 L m L_m Lm为互容和互感, l l l为耦合长度, t r t_r tr为上升时间。
四、屏蔽技术
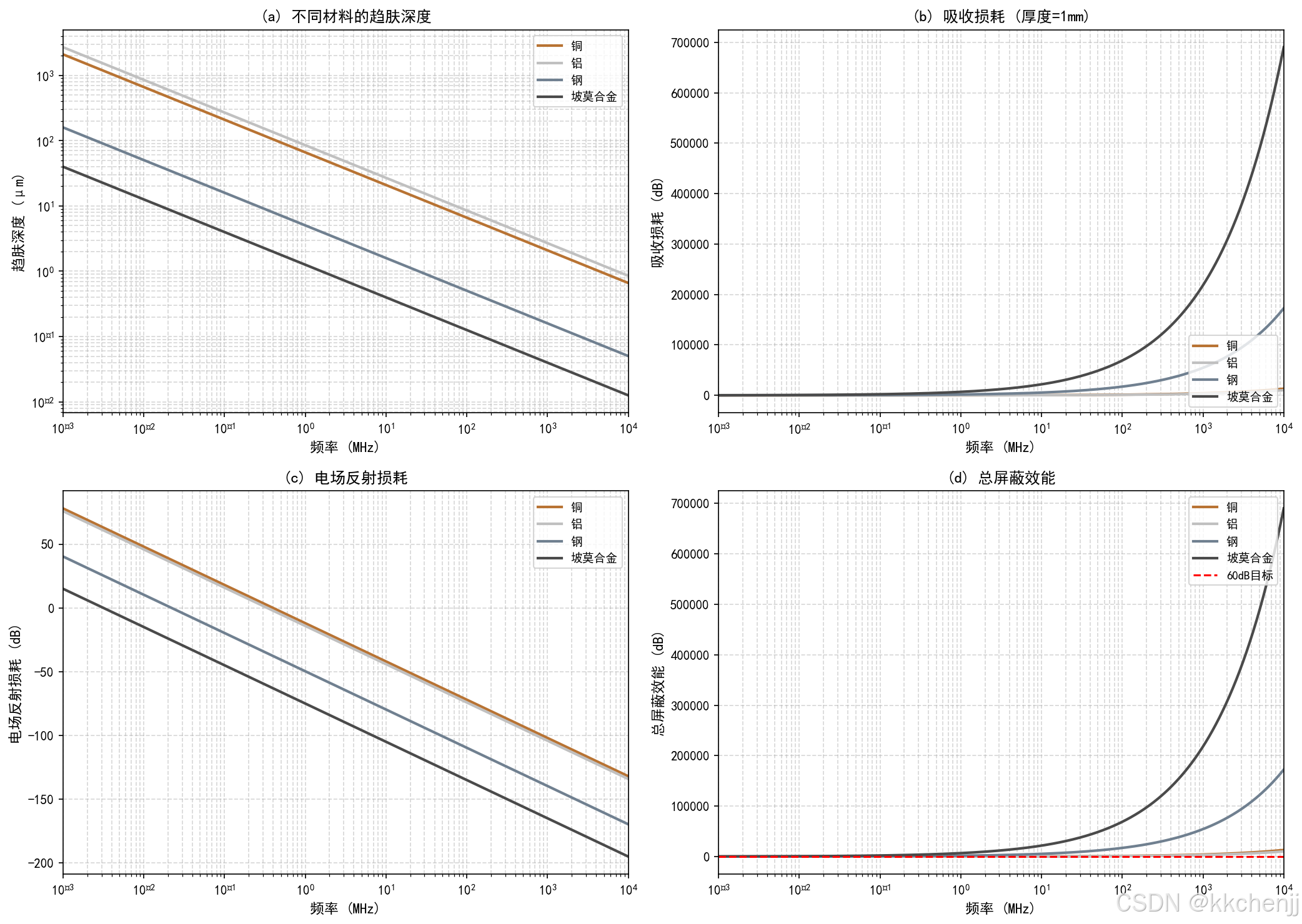
4.1 屏蔽原理
屏蔽是利用导电或导磁材料制成的屏蔽体,将电磁能量限制在特定空间内或阻止外部电磁能量进入。
屏蔽效能(Shielding Effectiveness, SE):
S E = 20 log 10 ( E w i t h o u t E w i t h ) (dB) SE = 20\log_{10}\left(\frac{E_{without}}{E_{with}}\right) \text{ (dB)} SE=20log10(EwithEwithout) (dB)
或
S E = 20 log 10 ( H w i t h o u t H w i t h ) (dB) SE = 20\log_{10}\left(\frac{H_{without}}{H_{with}}\right) \text{ (dB)} SE=20log10(HwithHwithout) (dB)
屏蔽效能通常由三部分组成:
S E = A + R + B SE = A + R + B SE=A+R+B
其中:
- A A A:吸收损耗
- R R R:反射损耗
- B B B:多次反射修正项(通常可忽略)
4.2 吸收损耗
电磁波在屏蔽材料中传播时的衰减:
A = 8.686 t δ = 8.686 t π f μ σ (dB) A = 8.686 \frac{t}{\delta} = 8.686 t \sqrt{\pi f \mu \sigma} \text{ (dB)} A=8.686δt=8.686tπfμσ (dB)
其中:
- t t t:屏蔽材料厚度
- δ \delta δ:趋肤深度
- f f f:频率
- μ \mu μ:磁导率
- σ \sigma σ:电导率
趋肤深度:
δ = 1 π f μ σ \delta = \frac{1}{\sqrt{\pi f \mu \sigma}} δ=πfμσ1
对于铜( σ = 5.8 × 10 7 \sigma = 5.8 \times 10^7 σ=5.8×107 S/m):
| 频率 | 趋肤深度 |
|---|---|
| 1 kHz | 2.1 mm |
| 1 MHz | 66 μm |
| 100 MHz | 6.6 μm |
| 1 GHz | 2.1 μm |
4.3 反射损耗
电磁波在屏蔽材料表面反射造成的损耗:
对于电场(平面波):
R E = 168 + 10 log 10 ( σ r μ r f 3 r 2 ) (dB) R_E = 168 + 10\log_{10}\left(\frac{\sigma_r}{\mu_r f^3 r^2}\right) \text{ (dB)} RE=168+10log10(μrf3r2σr) (dB)
对于磁场(平面波):
R H = 168 + 10 log 10 ( f r 2 σ r μ r ) (dB) R_H = 168 + 10\log_{10}\left(\frac{f r^2 \sigma_r}{\mu_r}\right) \text{ (dB)} RH=168+10log10(μrfr2σr) (dB)
其中:
- σ r \sigma_r σr:相对电导率
- μ r \mu_r μr:相对磁导率
- r r r:源到屏蔽体的距离
重要结论:
- 低频磁场最难屏蔽(反射损耗小、趋肤深度大)
- 高磁导率材料(如坡莫合金、铁氧体)对磁场屏蔽更有效
4.4 屏蔽材料选择
常用屏蔽材料:
| 材料 | 相对电导率 | 相对磁导率 | 特点 |
|---|---|---|---|
| 铜 | 1.0 | 1 | 电导率高,加工性好 |
| 铝 | 0.61 | 1 | 重量轻,成本低 |
| 钢 | 0.17 | 1000 | 磁屏蔽效果好 |
| 坡莫合金 | 0.04 | 80000 | 高磁导率,低频磁屏蔽 |
| 铁氧体 | 0.01 | 1500 | 高频磁屏蔽,成本低 |
屏蔽设计要点:
-
缝隙和孔洞:
- 缝隙长度应小于λ/20(最高工作频率)
- 使用导电衬垫、指形簧片、导电胶
- 螺钉间距应小于λ/20
-
通风孔:
- 使用波导通风板
- 截止波导长度: l > 3 d l > 3d l>3d
- 截止频率: f c = 17.5 d f_c = \frac{17.5}{d} fc=d17.5(GHz,d单位为cm)
-
电缆穿透:
- 使用屏蔽电缆
- 360°端接
- 使用馈通滤波器
五、滤波与接地技术
5.1 EMI滤波器设计
EMI滤波器用于抑制传导干扰,通常采用低通滤波器结构。
基本滤波电路:
- 电容滤波:并联在干扰源和地之间,提供高频旁路
- 电感滤波:串联在干扰路径中,提供高频阻抗
- LC滤波:组合使用电感和电容
- π型滤波:两个电容中间一个电感
- T型滤波:两个电感中间一个电容
滤波器设计要点:
- 截止频率: f c = 1 2 π L C f_c = \frac{1}{2\pi\sqrt{LC}} fc=2πLC1
- 阻抗匹配:源阻抗和负载阻抗决定滤波器拓扑
- 高频性能:注意元件的寄生参数
EMI滤波器与信号滤波器的区别:
| 特性 | EMI滤波器 | 信号滤波器 |
|---|---|---|
| 目的 | 抑制干扰 | 保留有用信号 |
| 频率范围 | 宽频带 | 特定频段 |
| 插入损耗 | 越大越好 | 根据需求设计 |
| 功率容量 | 大 | 小 |
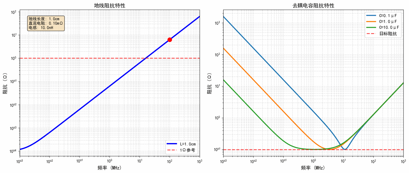
5.2 接地技术
接地是EMC设计中最重要但最容易被忽视的技术。
接地的目的:
- 安全接地:防止触电事故
- 信号参考:为电路提供零电位参考
- EMI控制:提供干扰电流的返回路径
- 屏蔽接地:保证屏蔽效能
接地方式:
-
单点接地:
- 适用于低频电路(<1MHz)
- 避免地环路
- 串联单点接地和并联单点接地
-
多点接地:
- 适用于高频电路(>10MHz)
- 减小接地阻抗
- 注意地环路问题
-
混合接地:
- 电容耦合单点接地
- 低频单点、高频多点
地阻抗:
Z g = R g + j ω L g Z_g = R_g + j\omega L_g Zg=Rg+jωLg
对于典型PCB地平面:
- 直流电阻:约0.1-1 mΩ/□
- 电感:约0.5-1 nH/mm
在100MHz时,1cm长的地线电感(约5nH)产生的阻抗:
X L = 2 π f L = 2 π × 10 8 × 5 × 10 − 9 = 3.14 Ω X_L = 2\pi f L = 2\pi \times 10^8 \times 5 \times 10^{-9} = 3.14 \text{ Ω} XL=2πfL=2π×108×5×10−9=3.14 Ω
5.3 去耦设计
去耦电容用于为集成电路提供本地电荷存储,抑制电源噪声。
去耦电容的选择:
-
大容量电容(10-100μF):
- 电解电容或钽电容
- 提供低频能量存储
- 每个电源输入端一个
-
中容量电容(0.1-1μF):
- 陶瓷电容
- 每个IC一个
- 尽可能靠近IC电源引脚
-
小容量电容(10-1000pF):
- 高频陶瓷电容
- 抑制高频噪声
- 用于高速IC
去耦电容的放置:
- 电容到IC的引线长度应最小化
- 使用多个不同容值的电容并联
- 注意电容的自谐振频率
去耦效果分析:
去耦电容与电源平面形成的LC谐振:
f r e s = 1 2 π L e s r C f_{res} = \frac{1}{2\pi\sqrt{L_{esr} C}} fres=2πLesrC1
其中 L e s r L_{esr} Lesr包括电容ESL和走线电感。
六、EMC测试与标准
6.1 EMC测试项目
发射测试(Emission Tests):
-
传导发射(CE):
- 频率范围:150kHz - 30MHz
- 使用LISN测量电源线上的干扰电压
- 分为共模和差模测量
-
辐射发射(RE):
- 频率范围:30MHz - 1GHz(或更高)
- 在电波暗室中使用天线测量
- 测量距离:3m、10m或30m
抗扰度测试(Immunity Tests):
-
静电放电(ESD):
- 接触放电:±4kV至±8kV
- 空气放电:±8kV至±15kV
-
射频电磁场辐射抗扰度(RS):
- 频率范围:80MHz - 6GHz
- 场强:3V/m至30V/m
-
电快速瞬变脉冲群(EFT):
- 脉冲幅度:±0.5kV至±4kV
- 重复频率:5kHz或100kHz
-
浪涌(Surge):
- 开路电压:±0.5kV至±4kV
- 短路电流:相应匹配
-
传导抗扰度(CS):
- 频率范围:150kHz - 80MHz
- 注入电流:1mA至100mA
-
电压暂降和短时中断(Dips):
- 暂降:0%至70%额定电压
- 中断:0%额定电压
6.2 测试设施
电波暗室(Anechoic Chamber):
- 屏蔽效能:>100dB
- 吸波材料:锥形或楔形吸波材料
- 归一化场地衰减(NSA):±4dB
开阔试验场(OATS):
- 无障碍的平坦场地
- 金属接地平面
- 环境电平低于限值6dB
TEM/GTEM小室:
- 用于小设备的辐射测试
- 频率范围:DC至数GHz
- 场均匀性好
6.3 预兼容测试
在产品开发阶段进行预兼容测试,可以及早发现和解决EMC问题。
预兼容测试设备:
- 频谱分析仪
- 近场探头(电场和磁场)
- LISN
- 天线(双锥、对数周期、喇叭)
近场探测技术:
使用近场探头定位干扰源:
- 电场探头:定位高电压点
- 磁场探头:定位高电流环路
- 扫描PCB找出热点区域
七、Python仿真实现
本节提供电磁兼容与干扰分析的Python仿真代码,包括屏蔽效能计算、滤波器设计、串扰分析和辐射发射估算。
仿真代码详见同目录下的 run_simulation.py 文件。
"""
主题049:电磁兼容与干扰分析 - Python仿真
============================================
本程序实现以下仿真内容:
1. 屏蔽效能分析
2. EMI滤波器设计
3. 传输线串扰分析
4. 辐射发射估算
5. 接地阻抗分析
作者:电磁兼容仿真专家
日期:2026-03-06
"""
import numpy as np
import matplotlib.pyplot as plt
from matplotlib.patches import Rectangle, FancyBboxPatch, Circle, FancyArrowPatch
from matplotlib.collections import LineCollection
import matplotlib.patches as mpatches
# 设置中文字体
plt.rcParams['font.sans-serif'] = ['SimHei', 'DejaVu Sans']
plt.rcParams['axes.unicode_minus'] = False
# 使用Agg后端,不弹出窗口
plt.switch_backend('Agg')
print("=" * 70)
print("主题049:电磁兼容与干扰分析 - Python仿真")
print("=" * 70)
# ==============================================================================
# 1. 屏蔽效能分析
# ==============================================================================
print("\n[1/5] 屏蔽效能分析...")
def skin_depth(f, sigma, mu_r=1):
"""
计算趋肤深度
参数:
f: 频率 (Hz)
sigma: 电导率 (S/m)
mu_r: 相对磁导率
返回:
趋肤深度 (m)
"""
mu_0 = 4 * np.pi * 1e-7 # 真空磁导率
mu = mu_r * mu_0
return 1 / np.sqrt(np.pi * f * mu * sigma)
def absorption_loss(f, t, sigma, mu_r=1):
"""
计算吸收损耗
参数:
f: 频率 (Hz)
t: 屏蔽材料厚度 (m)
sigma: 电导率 (S/m)
mu_r: 相对磁导率
返回:
吸收损耗 (dB)
"""
delta = skin_depth(f, sigma, mu_r)
return 8.686 * t / delta
def reflection_loss_electric(f, sigma_r, mu_r, r=1):
"""
计算电场反射损耗
参数:
f: 频率 (Hz)
sigma_r: 相对电导率
mu_r: 相对磁导率
r: 源到屏蔽体距离 (m)
返回:
反射损耗 (dB)
"""
return 168 + 10 * np.log10(sigma_r / (mu_r * f**3 * r**2))
def reflection_loss_magnetic(f, sigma_r, mu_r, r=1):
"""
计算磁场反射损耗
参数:
f: 频率 (Hz)
sigma_r: 相对电导率
mu_r: 相对磁导率
r: 源到屏蔽体距离 (m)
返回:
反射损耗 (dB)
"""
return 168 + 10 * np.log10(f * r**2 * sigma_r / mu_r)
# 材料参数
materials = {
'铜': {'sigma': 5.8e7, 'mu_r': 1, 'sigma_r': 1.0, 'color': '#B87333'},
'铝': {'sigma': 3.5e7, 'mu_r': 1, 'sigma_r': 0.61, 'color': '#C0C0C0'},
'钢': {'sigma': 1.0e7, 'mu_r': 1000, 'sigma_r': 0.17, 'color': '#708090'},
'坡莫合金': {'sigma': 2.0e6, 'mu_r': 80000, 'sigma_r': 0.04, 'color': '#4A4A4A'}
}
# 频率范围
f = np.logspace(3, 10, 500) # 1 kHz 到 10 GHz
t = 1e-3 # 1 mm 厚度
fig, axes = plt.subplots(2, 2, figsize=(14, 10))
# (a) 趋肤深度
ax1 = axes[0, 0]
for name, props in materials.items():
delta = skin_depth(f, props['sigma'], props['mu_r'])
ax1.loglog(f/1e6, delta*1e6, linewidth=2, label=name, color=props['color'])
ax1.set_xlabel('频率 (MHz)', fontsize=11)
ax1.set_ylabel('趋肤深度 (μm)', fontsize=11)
ax1.set_title('(a) 不同材料的趋肤深度', fontsize=12, fontweight='bold')
ax1.legend(loc='upper right', fontsize=9)
ax1.grid(True, which='both', linestyle='--', alpha=0.5)
ax1.set_xlim([1e-3, 1e4])
# (b) 吸收损耗
ax2 = axes[0, 1]
for name, props in materials.items():
A = absorption_loss(f, t, props['sigma'], props['mu_r'])
ax2.semilogx(f/1e6, A, linewidth=2, label=name, color=props['color'])
ax2.set_xlabel('频率 (MHz)', fontsize=11)
ax2.set_ylabel('吸收损耗 (dB)', fontsize=11)
ax2.set_title('(b) 吸收损耗 (厚度=1mm)', fontsize=12, fontweight='bold')
ax2.legend(loc='lower right', fontsize=9)
ax2.grid(True, which='both', linestyle='--', alpha=0.5)
ax2.set_xlim([1e-3, 1e4])
# (c) 电场反射损耗
ax3 = axes[1, 0]
r = 1 # 1m 距离
for name, props in materials.items():
R_E = reflection_loss_electric(f, props['sigma_r'], props['mu_r'], r)
ax3.semilogx(f/1e6, R_E, linewidth=2, label=name, color=props['color'])
ax3.set_xlabel('频率 (MHz)', fontsize=11)
ax3.set_ylabel('电场反射损耗 (dB)', fontsize=11)
ax3.set_title('(c) 电场反射损耗', fontsize=12, fontweight='bold')
ax3.legend(loc='upper right', fontsize=9)
ax3.grid(True, which='both', linestyle='--', alpha=0.5)
ax3.set_xlim([1e-3, 1e4])
# (d) 总屏蔽效能
ax4 = axes[1, 1]
for name, props in materials.items():
A = absorption_loss(f, t, props['sigma'], props['mu_r'])
R_E = reflection_loss_electric(f, props['sigma_r'], props['mu_r'], r)
SE = A + R_E
ax4.semilogx(f/1e6, SE, linewidth=2, label=name, color=props['color'])
ax4.axhline(y=60, color='red', linestyle='--', linewidth=1.5, label='60dB目标')
ax4.set_xlabel('频率 (MHz)', fontsize=11)
ax4.set_ylabel('总屏蔽效能 (dB)', fontsize=11)
ax4.set_title('(d) 总屏蔽效能', fontsize=12, fontweight='bold')
ax4.legend(loc='upper right', fontsize=9)
ax4.grid(True, which='both', linestyle='--', alpha=0.5)
ax4.set_xlim([1e-3, 1e4])
plt.tight_layout()
plt.savefig('shielding_effectiveness.png', dpi=150, bbox_inches='tight')
print(" ✓ shielding_effectiveness.png 已保存")
plt.close()
# ==============================================================================
# 2. EMI滤波器设计
# ==============================================================================
print("\n[2/5] EMI滤波器设计...")
def lc_filter_response(f, L, C, R_source=50, R_load=50):
"""
LC低通滤波器频率响应
参数:
f: 频率数组 (Hz)
L: 电感值 (H)
C: 电容值 (F)
R_source: 源阻抗 (Ω)
R_load: 负载阻抗 (Ω)
返回:
插入损耗 (dB)
"""
omega = 2 * np.pi * f
# LC滤波器传递函数
Z_L = 1j * omega * L
Z_C = 1 / (1j * omega * C)
# 分压计算
Z_parallel = (Z_C * R_load) / (Z_C + R_load)
H = Z_parallel / (R_source + Z_L + Z_parallel)
# 插入损耗
H_no_filter = R_load / (R_source + R_load)
IL = 20 * np.log10(np.abs(H_no_filter / H))
return IL
def pi_filter_response(f, L, C1, C2, R_source=50, R_load=50):
"""
π型滤波器频率响应
参数:
f: 频率数组 (Hz)
L: 电感值 (H)
C1, C2: 电容值 (F)
R_source: 源阻抗 (Ω)
R_load: 负载阻抗 (Ω)
返回:
插入损耗 (dB)
"""
omega = 2 * np.pi * f
Z_L = 1j * omega * L
Z_C1 = 1 / (1j * omega * C1)
Z_C2 = 1 / (1j * omega * C2)
# 等效阻抗
Z_in = 1 / (1/Z_C1 + 1/(Z_L + 1/(1/Z_C2 + 1/R_load)))
H = (1/(1/Z_C2 + 1/R_load)) / (Z_L + 1/(1/Z_C2 + 1/R_load))
H = H * Z_in / (R_source + Z_in)
H_no_filter = R_load / (R_source + R_load)
IL = 20 * np.log10(np.abs(H_no_filter / H))
return IL
# 频率范围
f_filter = np.logspace(3, 9, 500) # 1 kHz 到 1 GHz
# 滤波器参数
L = 100e-6 # 100 μH
C = 1e-6 # 1 μF
C1 = C2 = 0.47e-6 # 0.47 μF
fig, axes = plt.subplots(2, 2, figsize=(14, 10))
# (a) LC滤波器电路图
ax1 = axes[0, 0]
ax1.set_xlim(0, 10)
ax1.set_ylim(0, 10)
ax1.axis('off')
ax1.set_title('(a) LC低通滤波器电路', fontsize=12, fontweight='bold')
# 绘制电路
# 源
ax1.add_patch(FancyBboxPatch((0.5, 4), 1.5, 2, boxstyle="round,pad=0.1",
facecolor='#FFE4B5', edgecolor='black', linewidth=2))
ax1.text(1.25, 5, 'V_s', ha='center', va='center', fontsize=11, fontweight='bold')
# 电感
ax1.plot([2, 3], [5, 5], 'k-', linewidth=2)
for i in range(5):
x = 3 + i * 0.3
ax1.plot([x, x+0.15], [5, 5.3], 'k-', linewidth=2)
ax1.plot([x+0.15, x+0.3], [5.3, 5], 'k-', linewidth=2)
ax1.plot([4.5, 5], [5, 5], 'k-', linewidth=2)
ax1.text(3.75, 5.8, 'L', ha='center', fontsize=11, fontweight='bold')
# 电容
ax1.plot([5, 5], [5, 3.5], 'k-', linewidth=2)
ax1.plot([4.5, 5.5], [3.5, 3.5], 'k-', linewidth=2)
ax1.plot([4.5, 5.5], [3.2, 3.2], 'k-', linewidth=2)
ax1.plot([5, 5], [3.2, 2], 'k-', linewidth=2)
ax1.text(6, 3.35, 'C', ha='left', fontsize=11, fontweight='bold')
# 负载
ax1.plot([5, 7], [5, 5], 'k-', linewidth=2)
ax1.plot([7, 7], [5, 3.5], 'k-', linewidth=2)
ax1.add_patch(FancyBboxPatch((6.5, 2.5), 1, 1, boxstyle="round,pad=0.05",
facecolor='#E6E6FA', edgecolor='black', linewidth=2))
ax1.text(7, 3, 'R_L', ha='center', va='center', fontsize=10)
ax1.plot([7, 7], [2.5, 2], 'k-', linewidth=2)
# 地线
ax1.plot([2, 7], [2, 2], 'k-', linewidth=2)
ax1.plot([1.5, 7.5], [2, 2], 'k-', linewidth=1)
# (b) 不同电感值的LC滤波器
ax2 = axes[0, 1]
L_values = [10e-6, 47e-6, 100e-6, 220e-6] # 10, 47, 100, 220 μH
colors = ['#1f77b4', '#ff7f0e', '#2ca02c', '#d62728']
for L_val, color in zip(L_values, colors):
IL = lc_filter_response(f_filter, L_val, C)
ax2.semilogx(f_filter/1e6, IL, linewidth=2,
label=f'L={L_val*1e6:.0f}μH', color=color)
ax2.axhline(y=40, color='red', linestyle='--', linewidth=1.5, alpha=0.7)
ax2.set_xlabel('频率 (MHz)', fontsize=11)
ax2.set_ylabel('插入损耗 (dB)', fontsize=11)
ax2.set_title('(b) LC滤波器插入损耗 (C=1μF)', fontsize=12, fontweight='bold')
ax2.legend(loc='lower right', fontsize=9)
ax2.grid(True, which='both', linestyle='--', alpha=0.5)
ax2.set_xlim([0.001, 1000])
# (c) π型滤波器
ax3 = axes[1, 0]
ax3.set_xlim(0, 10)
ax3.set_ylim(0, 10)
ax3.axis('off')
ax3.set_title('(c) π型滤波器电路', fontsize=12, fontweight='bold')
# 绘制π型滤波器电路
# 源
ax3.add_patch(FancyBboxPatch((0.5, 4), 1.5, 2, boxstyle="round,pad=0.1",
facecolor='#FFE4B5', edgecolor='black', linewidth=2))
ax3.text(1.25, 5, 'V_s', ha='center', va='center', fontsize=11, fontweight='bold')
# C1
ax3.plot([2, 3], [5, 5], 'k-', linewidth=2)
ax3.plot([3, 3], [5, 3.5], 'k-', linewidth=2)
ax3.plot([2.5, 3.5], [3.5, 3.5], 'k-', linewidth=2)
ax3.plot([2.5, 3.5], [3.2, 3.2], 'k-', linewidth=2)
ax3.plot([3, 3], [3.2, 2], 'k-', linewidth=2)
ax3.text(4, 3.35, 'C1', ha='left', fontsize=10, fontweight='bold')
# L
ax3.plot([3, 4], [5, 5], 'k-', linewidth=2)
for i in range(5):
x = 4 + i * 0.3
ax3.plot([x, x+0.15], [5, 5.3], 'k-', linewidth=2)
ax3.plot([x+0.15, x+0.3], [5.3, 5], 'k-', linewidth=2)
ax3.plot([5.5, 6], [5, 5], 'k-', linewidth=2)
ax3.text(4.75, 5.8, 'L', ha='center', fontsize=11, fontweight='bold')
# C2
ax3.plot([6, 6], [5, 3.5], 'k-', linewidth=2)
ax3.plot([5.5, 6.5], [3.5, 3.5], 'k-', linewidth=2)
ax3.plot([5.5, 6.5], [3.2, 3.2], 'k-', linewidth=2)
ax3.plot([6, 6], [3.2, 2], 'k-', linewidth=2)
ax3.text(7, 3.35, 'C2', ha='left', fontsize=10, fontweight='bold')
# 负载
ax3.plot([6, 8], [5, 5], 'k-', linewidth=2)
ax3.plot([8, 8], [5, 3.5], 'k-', linewidth=2)
ax3.add_patch(FancyBboxPatch((7.5, 2.5), 1, 1, boxstyle="round,pad=0.05",
facecolor='#E6E6FA', edgecolor='black', linewidth=2))
ax3.text(8, 3, 'R_L', ha='center', va='center', fontsize=10)
ax3.plot([8, 8], [2.5, 2], 'k-', linewidth=2)
# 地线
ax3.plot([2, 8], [2, 2], 'k-', linewidth=2)
ax3.plot([1.5, 8.5], [2, 2], 'k-', linewidth=1)
# (d) π型滤波器性能对比
ax4 = axes[1, 1]
IL_lc = lc_filter_response(f_filter, L, C)
IL_pi = pi_filter_response(f_filter, L, C1, C2)
ax4.semilogx(f_filter/1e6, IL_lc, linewidth=2.5, label='LC滤波器', color='#1f77b4')
ax4.semilogx(f_filter/1e6, IL_pi, linewidth=2.5, label='π型滤波器', color='#ff7f0e')
ax4.axhline(y=60, color='red', linestyle='--', linewidth=1.5, alpha=0.7, label='60dB目标')
ax4.set_xlabel('频率 (MHz)', fontsize=11)
ax4.set_ylabel('插入损耗 (dB)', fontsize=11)
ax4.set_title('(d) LC与π型滤波器对比', fontsize=12, fontweight='bold')
ax4.legend(loc='lower right', fontsize=10)
ax4.grid(True, which='both', linestyle='--', alpha=0.5)
ax4.set_xlim([0.001, 1000])
plt.tight_layout()
plt.savefig('filter_design.png', dpi=150, bbox_inches='tight')
print(" ✓ filter_design.png 已保存")
plt.close()
# ==============================================================================
# 3. 传输线串扰分析
# ==============================================================================
print("\n[3/5] 传输线串扰分析...")
def crosstalk_near_end(Cm, C, Lm, L, l, tr):
"""
计算近端串扰
参数:
Cm: 互电容 (F/m)
C: 自电容 (F/m)
Lm: 互感 (H/m)
L: 自感 (H/m)
l: 耦合长度 (m)
tr: 上升时间 (s)
返回:
近端串扰系数
"""
return 0.25 * (Cm/C + Lm/L)
def crosstalk_far_end(Cm, C, Lm, L, l, tr, v):
"""
计算远端串扰
参数:
Cm: 互电容 (F/m)
C: 自电容 (F/m)
Lm: 互感 (H/m)
L: 自感 (H/m)
l: 耦合长度 (m)
tr: 上升时间 (s)
v: 传播速度 (m/s)
返回:
远端串扰系数
"""
td = l / v # 传输延迟
return (td / tr) * (Cm/C - Lm/L)
# 传输线参数
L = 400e-9 # 400 nH/m
C = 40e-12 # 40 pF/m
Lm_values = np.linspace(0, 200e-9, 100) # 0 到 200 nH/m
Cm_values = np.linspace(0, 20e-12, 100) # 0 到 20 pF/m
# 耦合长度和上升时间
l = 0.3 # 30 cm
tr = 1e-9 # 1 ns
v = 1.5e8 # 传播速度 (m/s), 约0.5c
fig, axes = plt.subplots(2, 2, figsize=(14, 10))
# (a) 串扰耦合模型
ax1 = axes[0, 0]
ax1.set_xlim(0, 10)
ax1.set_ylim(0, 10)
ax1.axis('off')
ax1.set_title('(a) 传输线串扰耦合模型', fontsize=12, fontweight='bold')
# 绘制两条传输线
# 攻击线
ax1.plot([1, 9], [6, 6], 'b-', linewidth=4, label='攻击线')
ax1.plot([1, 9], [5.5, 5.5], 'b-', linewidth=4)
ax1.fill_between([1, 9], [5.5, 5.5], [6, 6], alpha=0.3, color='blue')
# 受害线
ax1.plot([1, 9], [3.5, 3.5], 'r-', linewidth=4, label='受害线')
ax1.plot([1, 9], [3, 3], 'r-', linewidth=4)
ax1.fill_between([1, 9], [3, 3], [3.5, 3.5], alpha=0.3, color='red')
# 耦合标注
for i in range(5):
x = 2 + i * 1.5
# 电容耦合
ax1.annotate('', xy=(x, 5.5), xytext=(x, 3.5),
arrowprops=dict(arrowstyle='<->', color='green', lw=1.5))
# 电感耦合
circle1 = plt.Circle((x, 5.75), 0.15, fill=False, color='purple', linewidth=1.5)
circle2 = plt.Circle((x, 3.25), 0.15, fill=False, color='purple', linewidth=1.5)
ax1.add_patch(circle1)
ax1.add_patch(circle2)
ax1.text(5, 4.5, 'Cm (互容)', ha='center', fontsize=10, color='green', fontweight='bold')
ax1.text(5, 7, 'Lm (互感)', ha='center', fontsize=10, color='purple', fontweight='bold')
# 近端和远端标注
ax1.text(0.5, 5.75, '近端', ha='right', fontsize=10, fontweight='bold')
ax1.text(9.5, 5.75, '远端', ha='left', fontsize=10, fontweight='bold')
ax1.text(0.5, 3.25, '近端', ha='right', fontsize=10, fontweight='bold')
ax1.text(9.5, 3.25, '远端', ha='left', fontsize=10, fontweight='bold')
ax1.legend(loc='upper center', ncol=2, fontsize=10)
# (b) 近端串扰 vs 互感/互容
ax2 = axes[0, 1]
Cm_fixed = 10e-12 # 10 pF/m
NEXT_Lm = [crosstalk_near_end(Cm_fixed, C, Lm, L, l, tr) for Lm in Lm_values]
Lm_fixed = 100e-9 # 100 nH/m
NEXT_Cm = [crosstalk_near_end(Cm, C, Lm_fixed, L, l, tr) for Cm in Cm_values]
ax2.plot(Lm_values*1e9, NEXT_Lm, 'b-', linewidth=2.5, label=f'Cm={Cm_fixed*1e12:.0f}pF/m')
ax2_twin = ax2.twinx()
ax2_twin.plot(Cm_values*1e12, NEXT_Cm, 'r--', linewidth=2.5, label=f'Lm={Lm_fixed*1e9:.0f}nH/m')
ax2.set_xlabel('互感 Lm (nH/m)', fontsize=11, color='blue')
ax2.set_ylabel('近端串扰', fontsize=11, color='blue')
ax2_twin.set_xlabel('互容 Cm (pF/m)', fontsize=11, color='red')
ax2_twin.set_ylabel('近端串扰', fontsize=11, color='red')
ax2.set_title('(b) 近端串扰 vs 耦合参数', fontsize=12, fontweight='bold')
ax2.tick_params(axis='x', colors='blue')
ax2.tick_params(axis='y', colors='blue')
ax2_twin.tick_params(axis='x', colors='red')
ax2_twin.tick_params(axis='y', colors='red')
ax2.grid(True, linestyle='--', alpha=0.5)
# (c) 远端串扰 vs 耦合长度
ax3 = axes[1, 0]
lengths = np.linspace(0.01, 0.5, 100) # 1 cm 到 50 cm
Cm = 10e-12
Lm = 100e-9
FEXT = [crosstalk_far_end(Cm, C, Lm, L, l_val, tr, v) for l_val in lengths]
ax3.plot(lengths*100, FEXT, 'g-', linewidth=2.5)
ax3.axhline(y=0, color='black', linestyle='-', linewidth=1)
ax3.set_xlabel('耦合长度 (cm)', fontsize=11)
ax3.set_ylabel('远端串扰', fontsize=11)
ax3.set_title('(c) 远端串扰 vs 耦合长度', fontsize=12, fontweight='bold')
ax3.grid(True, linestyle='--', alpha=0.5)
# 添加注释
ax3.annotate('Cm/C > Lm/L\n正串扰', xy=(30, 0.02), fontsize=10,
bbox=dict(boxstyle='round', facecolor='wheat', alpha=0.5))
ax3.annotate('Cm/C < Lm/L\n负串扰', xy=(30, -0.02), fontsize=10,
bbox=dict(boxstyle='round', facecolor='lightblue', alpha=0.5))
# (d) 串扰随频率变化
ax4 = axes[1, 1]
f_crosstalk = np.logspace(6, 9, 200) # 1 MHz 到 1 GHz
tr_values = 1 / (3 * f_crosstalk) # 上升时间与频率相关
NEXT_freq = []
FEXT_freq = []
for tr_val in tr_values:
NEXT_freq.append(crosstalk_near_end(Cm, C, Lm, L, l, tr_val))
FEXT_freq.append(crosstalk_far_end(Cm, C, Lm, L, l, tr_val, v))
ax4.semilogx(f_crosstalk/1e6, NEXT_freq, 'b-', linewidth=2.5, label='近端串扰')
ax4.semilogx(f_crosstalk/1e6, FEXT_freq, 'r--', linewidth=2.5, label='远端串扰')
ax4.set_xlabel('频率 (MHz)', fontsize=11)
ax4.set_ylabel('串扰系数', fontsize=11)
ax4.set_title('(d) 串扰 vs 频率', fontsize=12, fontweight='bold')
ax4.legend(loc='upper right', fontsize=10)
ax4.grid(True, which='both', linestyle='--', alpha=0.5)
ax4.set_xlim([1, 1000])
plt.tight_layout()
plt.savefig('crosstalk_analysis.png', dpi=150, bbox_inches='tight')
print(" ✓ crosstalk_analysis.png 已保存")
plt.close()
# ==============================================================================
# 4. 辐射发射估算
# ==============================================================================
print("\n[4/5] 辐射发射估算...")
def differential_mode_radiation(f, A, I, r):
"""
差模辐射电场计算
参数:
f: 频率 (Hz)
A: 环路面积 (m²)
I: 电流 (A)
r: 距离 (m)
返回:
电场强度 (V/m)
"""
return 1.316e-14 * f**2 * A * I / r
def common_mode_radiation(f, L, I_cm, r):
"""
共模辐射电场计算
参数:
f: 频率 (Hz)
L: 电缆长度 (m)
I_cm: 共模电流 (A)
r: 距离 (m)
返回:
电场强度 (V/m)
"""
return 6.28e-7 * f * L * I_cm / r
# 频率范围
f_rad = np.logspace(6, 9, 500) # 1 MHz 到 1 GHz
# 参数
A = 10e-4 # 10 cm² 环路面积
I = 0.01 # 10 mA 电流
L_cable = 1.0 # 1 m 电缆长度
I_cm = 1e-6 # 1 μA 共模电流
r = 3 # 3 m 测量距离
# CISPR 22 Class B 限值 (3m距离)
f_limit = np.array([30, 88, 230, 1000]) * 1e6 # MHz to Hz
E_limit = np.array([30, 30, 37, 37]) # dBμV/m
fig, axes = plt.subplots(2, 2, figsize=(14, 10))
# (a) 差模辐射 vs 环路面积
ax1 = axes[0, 0]
A_values = [1e-4, 5e-4, 10e-4, 20e-4] # 1, 5, 10, 20 cm²
colors = ['#1f77b4', '#ff7f0e', '#2ca02c', '#d62728']
for A_val, color in zip(A_values, colors):
E_dm = differential_mode_radiation(f_rad, A_val, I, r)
E_dm_db = 20 * np.log10(E_dm * 1e6) # Convert to dBμV/m
ax1.semilogx(f_rad/1e6, E_dm_db, linewidth=2,
label=f'A={A_val*1e4:.0f}cm²', color=color)
# 绘制限值
ax1.semilogx(f_limit/1e6, E_limit, 'r--', linewidth=2.5, label='CISPR 22 Class B')
ax1.fill_between(f_limit/1e6, E_limit, 80, alpha=0.2, color='red')
ax1.set_xlabel('频率 (MHz)', fontsize=11)
ax1.set_ylabel('电场强度 (dBμV/m)', fontsize=11)
ax1.set_title('(a) 差模辐射 vs 环路面积', fontsize=12, fontweight='bold')
ax1.legend(loc='upper left', fontsize=9)
ax1.grid(True, which='both', linestyle='--', alpha=0.5)
ax1.set_xlim([1, 1000])
ax1.set_ylim([0, 80])
# (b) 共模辐射 vs 电缆长度
ax2 = axes[0, 1]
L_values = [0.3, 0.5, 1.0, 2.0] # 0.3, 0.5, 1, 2 m
for L_val, color in zip(L_values, colors):
E_cm = common_mode_radiation(f_rad, L_val, I_cm, r)
E_cm_db = 20 * np.log10(E_cm * 1e6)
ax2.semilogx(f_rad/1e6, E_cm_db, linewidth=2,
label=f'L={L_val:.1f}m', color=color)
ax2.semilogx(f_limit/1e6, E_limit, 'r--', linewidth=2.5, label='CISPR 22 Class B')
ax2.fill_between(f_limit/1e6, E_limit, 80, alpha=0.2, color='red')
ax2.set_xlabel('频率 (MHz)', fontsize=11)
ax2.set_ylabel('电场强度 (dBμV/m)', fontsize=11)
ax2.set_title('(b) 共模辐射 vs 电缆长度', fontsize=12, fontweight='bold')
ax2.legend(loc='upper left', fontsize=9)
ax2.grid(True, which='both', linestyle='--', alpha=0.5)
ax2.set_xlim([1, 1000])
ax2.set_ylim([0, 80])
# (c) 差模 vs 共模辐射对比
ax3 = axes[1, 0]
E_dm = differential_mode_radiation(f_rad, A, I, r)
E_cm = common_mode_radiation(f_rad, L_cable, I_cm, r)
E_dm_db = 20 * np.log10(E_dm * 1e6)
E_cm_db = 20 * np.log10(E_cm * 1e6)
ax3.semilogx(f_rad/1e6, E_dm_db, 'b-', linewidth=2.5, label=f'差模 (A={A*1e4:.0f}cm²)')
ax3.semilogx(f_rad/1e6, E_cm_db, 'r--', linewidth=2.5, label=f'共模 (L={L_cable}m)')
ax3.semilogx(f_limit/1e6, E_limit, 'g:', linewidth=2.5, label='CISPR 22 Class B')
ax3.set_xlabel('频率 (MHz)', fontsize=11)
ax3.set_ylabel('电场强度 (dBμV/m)', fontsize=11)
ax3.set_title('(c) 差模与共模辐射对比', fontsize=12, fontweight='bold')
ax3.legend(loc='upper left', fontsize=10)
ax3.grid(True, which='both', linestyle='--', alpha=0.5)
ax3.set_xlim([1, 1000])
ax3.set_ylim([0, 80])
# (d) 辐射源示意图
ax4 = axes[1, 1]
ax4.set_xlim(0, 10)
ax4.set_ylim(0, 10)
ax4.axis('off')
ax4.set_title('(d) 差模与共模辐射机理', fontsize=12, fontweight='bold')
# 差模辐射 - 信号环路
ax4.add_patch(Rectangle((1, 6), 2, 1.5, fill=True, facecolor='#FFE4B5',
edgecolor='black', linewidth=2))
ax4.plot([1, 3], [6.75, 6.75], 'b-', linewidth=3)
ax4.annotate('', xy=(3, 6.75), xytext=(1, 6.75),
arrowprops=dict(arrowstyle='->', color='blue', lw=2))
ax4.text(2, 7.5, '信号环路', ha='center', fontsize=11, fontweight='bold')
ax4.text(2, 5.5, '差模辐射', ha='center', fontsize=10, color='blue')
# 绘制辐射波
for angle in np.linspace(0, 2*np.pi, 8, endpoint=False):
x_start = 2 + 1.5 * np.cos(angle)
y_start = 6.75 + 1.5 * np.sin(angle)
x_end = 2 + 2.5 * np.cos(angle)
y_end = 6.75 + 2.5 * np.sin(angle)
ax4.annotate('', xy=(x_end, y_end), xytext=(x_start, y_start),
arrowprops=dict(arrowstyle='->', color='blue', lw=1.5,
connectionstyle='arc3,rad=0.1'))
# 共模辐射 - 电缆天线
ax4.plot([6, 8], [6.75, 6.75], 'r-', linewidth=4)
ax4.plot([6, 6], [6.75, 5.5], 'k-', linewidth=2)
ax4.plot([8, 8], [6.75, 5.5], 'k-', linewidth=2)
ax4.plot([6, 8], [5.5, 5.5], 'k-', linewidth=2)
ax4.text(7, 7.5, '电缆天线', ha='center', fontsize=11, fontweight='bold')
ax4.text(7, 5, '共模辐射', ha='center', fontsize=10, color='red')
# 绘制辐射波
for angle in np.linspace(0, 2*np.pi, 12, endpoint=False):
x_start = 7 + 1.5 * np.cos(angle)
y_start = 6.75 + 1.5 * np.sin(angle)
x_end = 7 + 2.5 * np.cos(angle)
y_end = 6.75 + 2.5 * np.sin(angle)
ax4.annotate('', xy=(x_end, y_end), xytext=(x_start, y_start),
arrowprops=dict(arrowstyle='->', color='red', lw=1.5,
connectionstyle='arc3,rad=0.1'))
# 添加说明
ax4.text(5, 2, '差模:电流在信号线中流动,形成小环路\n共模:电流在电缆和地之间流动,形成大天线',
ha='center', fontsize=10, bbox=dict(boxstyle='round', facecolor='wheat', alpha=0.5))
plt.tight_layout()
plt.savefig('radiated_emission.png', dpi=150, bbox_inches='tight')
print(" ✓ radiated_emission.png 已保存")
plt.close()
# ==============================================================================
# 5. 接地阻抗分析
# ==============================================================================
print("\n[5/5] 接地阻抗分析...")
def ground_impedance(f, R_dc, L, w=1e-3, sigma=5.8e7):
"""
计算地平面阻抗
参数:
f: 频率 (Hz)
R_dc: 直流电阻 (Ω)
L: 电感 (H)
w: 导体宽度 (m)
sigma: 电导率 (S/m)
返回:
阻抗 (Ω)
"""
mu_0 = 4 * np.pi * 1e-7
delta = skin_depth(f, sigma)
# 高频电阻(考虑趋肤效应)
if delta < w/2:
R_ac = R_dc * w / (2 * delta)
else:
R_ac = R_dc
Z = R_ac + 1j * 2 * np.pi * f * L
return np.abs(Z)
# 频率范围
f_gnd = np.logspace(3, 9, 500) # 1 kHz 到 1 GHz
# 地线参数
lengths_gnd = [0.01, 0.02, 0.05, 0.1] # 1, 2, 5, 10 cm
R_dc_per_m = 0.01 # 10 mΩ/m
L_per_m = 1e-6 # 1 μH/m
fig, axes = plt.subplots(2, 2, figsize=(14, 10))
# (a) 地线阻抗 vs 频率
ax1 = axes[0, 0]
colors = ['#1f77b4', '#ff7f0e', '#2ca02c', '#d62728']
for l_gnd, color in zip(lengths_gnd, colors):
R_dc = R_dc_per_m * l_gnd
L = L_per_m * l_gnd
Z_gnd = [ground_impedance(f, R_dc, L) for f in f_gnd]
ax1.loglog(f_gnd/1e6, Z_gnd, linewidth=2,
label=f'L={l_gnd*100:.0f}cm', color=color)
ax1.axhline(y=1, color='red', linestyle='--', linewidth=1.5, alpha=0.7, label='1Ω')
ax1.set_xlabel('频率 (MHz)', fontsize=11)
ax1.set_ylabel('阻抗 (Ω)', fontsize=11)
ax1.set_title('(a) 地线阻抗 vs 频率', fontsize=12, fontweight='bold')
ax1.legend(loc='lower right', fontsize=9)
ax1.grid(True, which='both', linestyle='--', alpha=0.5)
ax1.set_xlim([0.001, 1000])
# (b) 单点接地 vs 多点接地
ax2 = axes[0, 1]
ax2.set_xlim(0, 10)
ax2.set_ylim(0, 10)
ax2.axis('off')
ax2.set_title('(b) 接地方式对比', fontsize=12, fontweight='bold')
# 单点接地
ax2.text(2.5, 9, '单点接地', ha='center', fontsize=12, fontweight='bold')
# 电路1
ax2.add_patch(FancyBboxPatch((1, 7), 1.5, 1, boxstyle="round,pad=0.05",
facecolor='#FFE4B5', edgecolor='black', linewidth=1.5))
ax2.text(1.75, 7.5, '电路1', ha='center', va='center', fontsize=9)
ax2.plot([1.75, 1.75], [7, 5.5], 'k-', linewidth=2)
# 电路2
ax2.add_patch(FancyBboxPatch((2.5, 7), 1.5, 1, boxstyle="round,pad=0.05",
facecolor='#E6E6FA', edgecolor='black', linewidth=1.5))
ax2.text(3.25, 7.5, '电路2', ha='center', va='center', fontsize=9)
ax2.plot([3.25, 3.25], [7, 5.5], 'k-', linewidth=2)
# 电路3
ax2.add_patch(FancyBboxPatch((4, 7), 1.5, 1, boxstyle="round,pad=0.05",
facecolor='#98FB98', edgecolor='black', linewidth=1.5))
ax2.text(4.75, 7.5, '电路3', ha='center', va='center', fontsize=9)
ax2.plot([4.75, 4.75], [7, 5.5], 'k-', linewidth=2)
# 公共接地点
ax2.plot([1.75, 4.75], [5.5, 5.5], 'k-', linewidth=2)
ax2.plot([3.25, 3.25], [5.5, 5], 'k-', linewidth=2)
ax2.plot([3, 3.5], [5, 5], 'k-', linewidth=3)
ax2.plot([3.1, 3.4], [4.8, 4.8], 'k-', linewidth=2)
ax2.plot([3.2, 3.3], [4.6, 4.6], 'k-', linewidth=1.5)
ax2.text(3.25, 4.3, '地', ha='center', fontsize=9)
# 多点接地
ax2.text(7.5, 9, '多点接地', ha='center', fontsize=12, fontweight='bold')
# 电路1
ax2.add_patch(FancyBboxPatch((6.5, 7), 1, 0.8, boxstyle="round,pad=0.05",
facecolor='#FFE4B5', edgecolor='black', linewidth=1.5))
ax2.text(7, 7.4, '电路1', ha='center', va='center', fontsize=8)
ax2.plot([7, 7], [7, 5.5], 'k-', linewidth=2)
ax2.plot([6.8, 7.2], [5.5, 5.5], 'k-', linewidth=3)
ax2.plot([6.9, 7.1], [5.3, 5.3], 'k-', linewidth=2)
# 电路2
ax2.add_patch(FancyBboxPatch((7.5, 7), 1, 0.8, boxstyle="round,pad=0.05",
facecolor='#E6E6FA', edgecolor='black', linewidth=1.5))
ax2.text(8, 7.4, '电路2', ha='center', va='center', fontsize=8)
ax2.plot([8, 8], [7, 5.5], 'k-', linewidth=2)
ax2.plot([7.8, 8.2], [5.5, 5.5], 'k-', linewidth=3)
ax2.plot([7.9, 8.1], [5.3, 5.3], 'k-', linewidth=2)
# 电路3
ax2.add_patch(FancyBboxPatch((8.5, 7), 1, 0.8, boxstyle="round,pad=0.05",
facecolor='#98FB98', edgecolor='black', linewidth=1.5))
ax2.text(9, 7.4, '电路3', ha='center', va='center', fontsize=8)
ax2.plot([9, 9], [7, 5.5], 'k-', linewidth=2)
ax2.plot([8.8, 9.2], [5.5, 5.5], 'k-', linewidth=3)
ax2.plot([8.9, 9.1], [5.3, 5.3], 'k-', linewidth=2)
# 地平面对象
ax2.add_patch(Rectangle((6.5, 4.8), 3, 0.3, facecolor='gray', alpha=0.5))
ax2.text(8, 4.5, '地平面', ha='center', fontsize=9)
# 说明
ax2.text(2.5, 3, '优点:无地环路\n缺点:高频阻抗大', ha='center', fontsize=9,
bbox=dict(boxstyle='round', facecolor='lightblue', alpha=0.5))
ax2.text(7.5, 3, '优点:高频阻抗小\n缺点:可能形成地环路', ha='center', fontsize=9,
bbox=dict(boxstyle='round', facecolor='lightyellow', alpha=0.5))
# (c) 地平面阻抗分布
ax3 = axes[1, 0]
# 模拟地平面上的阻抗分布
x_gnd = np.linspace(0, 0.1, 100) # 10 cm 地平面
y_gnd = np.linspace(0, 0.1, 100)
X_gnd, Y_gnd = np.meshgrid(x_gnd, y_gnd)
# 电流注入点在中心
I_inject_x, I_inject_y = 0.05, 0.05
# 计算阻抗分布(简化模型)
R_sheet = 0.001 # 1 mΩ/□
Z_distribution = R_sheet * np.sqrt((X_gnd - I_inject_x)**2 + (Y_gnd - I_inject_y)**2) / 0.01
im = ax3.contourf(X_gnd*100, Y_gnd*100, Z_distribution*1000, levels=20, cmap='hot')
ax3.plot(I_inject_x*100, I_inject_y*100, 'b+', markersize=15, mew=2, label='电流注入点')
ax3.set_xlabel('x (cm)', fontsize=11)
ax3.set_ylabel('y (cm)', fontsize=11)
ax3.set_title('(c) 地平面阻抗分布', fontsize=12, fontweight='bold')
ax3.legend(loc='upper right', fontsize=9)
plt.colorbar(im, ax=ax3, label='阻抗 (mΩ)')
# (d) 去耦电容效果
ax4 = axes[1, 1]
# 去耦电容的阻抗特性
C_decap = [0.1e-6, 1e-6, 10e-6] # 0.1, 1, 10 μF
ESL = 2e-9 # 2 nH 等效串联电感
ESR = 0.1 # 0.1 Ω 等效串联电阻
for C_val, color in zip(C_decap, colors[:3]):
Z_cap = np.abs(ESR + 1j*2*np.pi*f_gnd*ESL + 1/(1j*2*np.pi*f_gnd*C_val))
ax4.loglog(f_gnd/1e6, Z_cap, linewidth=2,
label=f'C={C_val*1e6:.1f}μF', color=color)
# 目标阻抗
ax4.axhline(y=0.1, color='red', linestyle='--', linewidth=1.5, alpha=0.7, label='目标阻抗')
ax4.set_xlabel('频率 (MHz)', fontsize=11)
ax4.set_ylabel('阻抗 (Ω)', fontsize=11)
ax4.set_title('(d) 去耦电容阻抗特性', fontsize=12, fontweight='bold')
ax4.legend(loc='upper right', fontsize=9)
ax4.grid(True, which='both', linestyle='--', alpha=0.5)
ax4.set_xlim([0.001, 1000])
plt.tight_layout()
plt.savefig('grounding_analysis.png', dpi=150, bbox_inches='tight')
print(" ✓ grounding_analysis.png 已保存")
plt.close()
# ==============================================================================
# 完成
# ==============================================================================
print("\n" + "=" * 70)
print("所有仿真完成!")
print("=" * 70)
print("\n生成的仿真图:")
print(" 1. shielding_effectiveness.png - 屏蔽效能分析")
print(" 2. filter_design.png - EMI滤波器设计")
print(" 3. crosstalk_analysis.png - 传输线串扰分析")
print(" 4. radiated_emission.png - 辐射发射估算")
print(" 5. grounding_analysis.png - 接地阻抗分析")
print("\n所有文件保存在: D:\\文档\\500仿真领域\\工程仿真\\高频电磁场仿真\\主题049")
7.1 仿真内容概述
- 屏蔽效能分析:计算不同材料的屏蔽效能随频率的变化
- 滤波器设计:EMI滤波器的插入损耗分析
- 串扰仿真:传输线之间的近端和远端串扰
- 辐射发射估算:差模和共模辐射发射计算
- 接地阻抗分析:地平面阻抗随频率的变化
7.2 运行仿真
python run_simulation.py
仿真将生成以下图片:
shielding_effectiveness.png- 屏蔽效能分析filter_design.png- 滤波器设计crosstalk_analysis.png- 串扰分析radiated_emission.png- 辐射发射估算grounding_analysis.png- 接地分析
7.3 生成GIF动图
python create_gif.py
将生成以下GIF动图:
shielding_materials.gif- 屏蔽材料对比filter_response.gif- 滤波器频率响应crosstalk_variation.gif- 串扰变化radiation_pattern.gif- 辐射方向图impedance_frequency.gif- 阻抗频率特性
AtomGit 是由开放原子开源基金会联合 CSDN 等生态伙伴共同推出的新一代开源与人工智能协作平台。平台坚持“开放、中立、公益”的理念,把代码托管、模型共享、数据集托管、智能体开发体验和算力服务整合在一起,为开发者提供从开发、训练到部署的一站式体验。
更多推荐


所有评论(0)