考虑频率耦合的跟网型(GFL)VSC变流器(电流环锁相环矢量控制结构)的二维序阻抗建模详细推导及扫频对比验证
目录
1、课程及模型介绍
本人为985院校电气强校博士,主要研究方向:新型电力系统宽频振荡分析与控制等。本文为小干扰稳定性系列中的第十四篇,是第一篇文章(关于跟网型GFL变流器正负序阻抗建模)的延伸与拓展,建立了考虑频率耦合效应的跟网型VSC变流器二维耦合阻抗序阻抗模型并通过扫频验证。 本文所复现/参照的文献包含但不限于[1-7]。
当前,应用于新能源发电场景的并网逆变器以跟网型(Grid-Following, GFL)为主。该类型逆变器依赖锁相环(Phase-Locked Loop, PLL)实时采集并网点(Point of Common Coupling, PCC)的相位信息,GFL变流器以其简单控制结构、成熟PLL技术及其在最大功率点工作的特性被广泛应用于风电、光伏并网控制。GFL型VSC变流器需通过PLL实现对电网电压的跟踪,因此必须依赖交流系统提供同步电压。然而,随着GFL型VSC变流器的大规模并网,局部地区电网强度逐渐弱化,这种弱电网环境与GFL之间的交互作用加剧,导致宽频振荡事故频发[1]。近年来,阻抗分析法已日益发展为分析与抑制新能源并网宽频振荡的核心技术方法。针对GFL型VSC变流器并网引发的宽频振荡问题,国内外学者基于阻抗分析法开展了系统性研究。文献[5-9]指出由于dq轴控制不对称导致GFL型VSC变流器的输出阻抗特性存在耦合效应,阻抗表现为单输入双输出特性,即在PCC点注入某一频率的电压扰动激励,除了产生想通频率的电流响应外,还会产生二倍频耦合频率的电流响应分量,采用谐波线性化方法建立的输出阻抗模型表现为2×2的矩阵形式。
小干扰稳定性分析的基础是小干扰稳定性理论解析模型,小干扰稳定性理论解析模型的精确度决定了小干扰稳定性判定结果的准确性。小干扰稳定性分析系列中的第一篇、第二篇、第三篇详细讲解了跟网型VSC变流器序阻抗建模原理、谐波线性化理论推导以及新能源发电并网系统小干扰稳定性分析、控制交互作用分析、主导参数/变流器分析、宽频振荡复现等内容;小干扰稳定性分析系列文章中的第八篇、第九篇、第十篇详细讲解了构网型VSG变流器序阻抗建模原理、谐波线性化理论推导以及新能源发电并网系统小干扰稳定性分析、控制交互作用分析、主导参数/变流器分析、宽频振荡复现等内容;小干扰稳定性分析系列文章中的第十一篇对比分析了构网型VSG变流器及跟网型VSC变流器并网系统强弱电网工况下小干扰/动态/振荡稳定性。以上文章建议在学习本文章后一并学习,夯实基础,更加系统、深入掌握多元化新能源并网系统小干扰稳定性学术理论体系。
系列第三篇(全文链接:
基于阻抗灵敏度/参数灵敏度的新能源发电并网系统/新型电力系统小干扰稳定性分析、稳定性主导因素分析、控制交互作用特性及机理分析_新型电力系统阻尼特性分析-CSDN博客文章浏览阅读2.8k次,点赞34次,收藏31次。本人为985院校电气工程博士在读,研究方向为新型电力系统小干扰稳定性分析。本文为小干扰稳定性分析系列文章中的第三篇,重点讲解基于阻抗灵敏度/参数灵敏度的新能源发电并网系统/新型电力系统小干扰稳定性分析、稳定性主导因素分析、控制交互作用特性及机理分析,作为小干扰稳定性分析的拓展延伸和应用开发,可用于主导参数提取、主导变流器筛选、振荡溯源等方面研究。qq联系:2293540475_新型电力系统阻尼特性分析https://blog.csdn.net/2401_82983656/article/details/139389768https://blog.csdn.net/2401_82983656/article/details/139389768系列第八篇(全文链接:考虑频率耦合的构网型VSG变流器(电压电流双闭环控制结构)序阻抗建模扫频及中英文顶刊文献复现(Matlab&Simulink等)适用于弱网稳定性分析、跟网构网混合并网等场景-CSDN博客文章浏览阅读1.2w次,点赞59次,收藏123次。本人为985院校电气工程博士在读,研究方向为新型电力系统小干扰稳定性分析,全部文章、模型代码均为本人原创。该文章讲解基于谐波线性化方法的构网型VSG型变流器宽频序阻抗建模及扫频(Matlab/Simulink平台)原理及实现。目的在于,尽我所学,将晦涩繁琐的理论公式通过通俗易懂的方式讲解清楚原理本质,让看似“高门槛”的阻抗建模理论知识更加容易理解学习,与各位初学者同行进行学术分享,希望对大家有所帮助,不足之处也欢迎大家多多批评指正。欢迎留言交流探讨。_构网型vsghttps://blog.csdn.net/2401_82983656/article/details/140173772https://blog.csdn.net/2401_82983656/article/details/140173772
本文利用谐波线性化方法精确解析具有谐波耦合特性的跟网型VSC变流器系统动态特性,建立高精度的二维耦合序阻抗模型,将建模过程逐步推导、将建模步骤详尽细化、将建模原理挖深吃透,使得当前新型电力系统场景下部署最多的跟网型VSC变流器的二维耦合序阻抗建模更加容易学习、理解与掌握,希望对大家有所帮助,不足之处也欢迎大家多多批评指正。
欢迎留言交流探讨。各位如果有需要获取本文章中涉及的代码和模型,可联系QQ:2293540475。
2、跟网型VSC变流器拓扑结构及控制策略
图1为LCL滤波结构下的跟网型变流器/VSC的三相电路及控制结构图、SRF-PLL电路图。图中,Vdc为直流侧电压,直流侧电容Cv较大直流电压维持稳定,此时Vdc可视为常数;e为跟网型GFL变流器输出内电势;iv是变流器输出电流;ig为并网电流;vg为变流器输出端电压;Lf1、Cf、Rf、Lf2分别为逆变器侧滤波电感、滤波电容、阻尼电阻和网侧滤波电感;Lg为电网电抗;vg为电网电压;Δvp为微扰电压激励源,Zvsc为GFL端口阻抗。根据图2可知,控制策略基于dq同步旋转坐标系实现。逆变器通过PLL获取电网电压相位角,为同步旋转坐标变换提供基准,因此具备跟网特性,无法自组网;在此基础上,对采集的并网电流信号进行坐标变换,得到dq轴电流反馈分量。电流控制器以该反馈值跟踪有功、无功电流给定指令,其输出信号经PWM调制后,驱动逆变器桥臂功率器件的通断,最终实现预期控制目标。
(a)主要拓扑结构和控制电路
(b)SRF-PLL电路
图1 跟网型VSC变流器拓扑结构及控制电路
3、跟网型VSC变流器二维耦合序阻抗建模思路及详细推导
3.1 谐波线性化建模原理及二维耦合阻抗定义
3.1.1 谐波线性化建模及主电路方程
研究前提为三相对称工况,根据阻抗定义式可知A、B、C三相阻抗相等(B、C相阻抗是在A相电压、电流同时平移后求解得到的),后文分析默认仅计算A相阻抗。在考虑频率耦合效应条件下,GFL输出电压和电流将同时叠加扰动频率分量和耦合频率分量,主电路等效小信号电路可分解为扰动频率等效电路和二倍频耦合频率等效电路。扰动频率及耦合频率下的GFL主电路等效小信号电路分别如图2、图3所示:
图2 GFL变流器扰动频率主电路等效小信号电路
图3 GFL变流器耦合频率主电路等效小信号电路
给出PCC并网点电压、电流的时域表达式如下:
(1)
基于主电路拓扑,根据KVL、KCL定律可计算得到变流器内电势与并网点电压、电流的时域关系,即主电路时域方程如下:
(2)
上式中:三相VSC系统采用PWM调制算法,不考虑调制过程以及开关过程,则可将VSC三相调制波视为桥臂电势[1-6],认为理想调制,即调制比等效为1, 因此
。
通过欧拉公式,获得主电路频域方程如下:
(3)
3.1.2 频率耦合原理及二维耦合阻抗定义
大量文献表明[2,6],当在PCC点注入频率为fp/fn的正序/负序扰动激励电压源,会产生扰动频率fp处的正序/负序扰动电流响应以及关于镜像二倍频(fp-2f1或fn+2f1)处的耦合电流响应,该效应被称为频率耦合效应。图4展示了以dq轴为坐标系的控制系统产生频率耦合的机理示意图(sp=j2πfp、s1=j2πf1)。park正反变换为引入频率耦合的直接原因,根本原因为控制不对称,控制不对称程度越高则频率耦合程度越高,机理的相关阐述详见本人小干扰稳定性系列文章中的第一篇。对于跟网型变流器,dq轴不对称的锁相环、直流电压外环、额外引入dq轴不对称的附加阻尼控制环节均为引起频率耦合的因素。
图4 dq轴控制系统频率耦合关系示意图
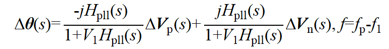
以正序扰动注入为例,给出图5所示的新能源变流器的频率耦合特性关系图(sp=j2πfp、s1=j2πf1),其中∆Vp(s)为电压扰动,∆Ip(s)为电流响应,Zvsc_pp(sp)、Zvsc_pn(sp)、Zvsc_np(sp)和Zvsc_nn(sp)为跟网型VSC变流器二维耦合阻抗矩阵的各元素,Zgsp)为电网阻抗。从图4中可以看出,当在PCC点注入频率为fp的正序扰动电压激励,由于控制不对称作用下的频率耦合效应,系统同时产生扰动频率fp的正序响应电流∆Ip(sp)和频率为fp-2f1的负序耦合电流∆In(sp-2f1),值得注意的是,此时的耦合电流相位呈现负序特性,并不是指正负序耦合而仍指的是频率耦合,正负序耦合的实际含义见文献[6]。导致系统存在二倍频频率耦合效应的主导因素为:1) PLL;2) d、q轴不对称结构/参数值的电流控制器;3) 直流母线电压控制器;4) 有功和无功控制器;5) 凸极同步电机。由于电网阻抗Zg(s)的存在,并且电网是频率解耦系统,扰动频次和耦合频次的输出电流响应在Zg(s)上分别产生相对应频率的电压扰动分量∆Vg(sp)和∆Vg(sp-2f1),其中∆Vg(sp)=∆Vp(sp)+Zg(sp)∆Ip(sp),并通过控制环路及主电路的电压电流关系(阻抗特性)产生扰动频次和耦合频次的电流,闭环系统始终存在扰动频率和耦合频率的谐波量。
图5 VSC变流器频率耦合特性关系图
综上可知,考虑二倍频镜像频率耦合效应,根据欧拉公式,计算得到并网点电压、电流的频域表达式如下:
(4)
(5)
式中:大写表示复向量;Δ表示微扰(小扰动)分量;下标p、n分别代表扰动频率、耦合频率。各次频率成分所对应的复傅里叶系数为:
。一个正弦信号可以分解为两个互为共轭、旋转方向相反的正负序空间向量之和,其中单一序向量可完整描述信号且实际中无负频率信号,因此后文仅采用正序向量进行描述。特别说明的是,由于频率耦合效应的存在,使得电力电子变流器扰动方程中的扰动频次和耦合频次始终线性并存,为了节约篇幅,后文将扰动频次和耦合频次描述在同一方程中。
考虑频率耦合的GFL变流器二维耦合阻抗定义式如下:
(6)
式中,主对角线元素反映的是某一频率扰动电压对相同频率电流响应的影响程度,非对角线元素反映的是某一频率的扰动电压对耦合频率电流响应的影响程度。
值得注意:
(1)本文以正序扰动注入下的扰动响应分量(下标p)和频率耦合响应分量(下标n,此时的n并非代表注入负序扰动,仅为序分量意义)进行计算求解阻抗的过程为例进行讲解,注入负序阻抗下的阻抗模型求解过程同理。正负频率变量中均包含了一个频率成分的所有信息,因此下文仅给出正频率分量。上标^和∆均表示小信号量,两者没差别。
(2)计算端口正序、负序阻抗时,正序、负序谐波扰动是单独注入的,正序、负序阻抗是单独求解的,推导过程中注意不要把正序、负序扰动信号与频率耦合特性混淆。举个例子,计算正序阻抗时,频率耦合效应会产生基频偏移信号(dq坐标系)、二倍频耦合信号(abc坐标系),即使频率耦合量是负序的,也是频率耦合量,而非正负序耦合量。正负序耦合特性是由三相主电路不对称产生的,频率耦合特性是由于控制不对称引起的,正负序耦合特性与频率耦合特性有本质上的区别。
关于频率偏移效应、二倍频频率耦合效应、Park变换/反变换小信号线性化等的具体推导证明过程可参考本系列第一篇文章。
3.2 跟网型VSC变流器二维耦合序阻抗建模详细推导
对跟网型VSC变流器二维耦合序阻抗的计算,需要综合考虑主电路系统与控制系统的约束方程,下面将通过对各个控制环节进行建模,最终推导出VSC的二维耦合序阻抗解析模型。
3.2.1 PLL输出相角频域表达式推导
GFL变流器主要通过控制变流器开关的通断,实现对输出电压的控制,而开关的控制信号不仅会受到电流内环控制的影响,还会受到锁相环PLL的影响。而由于锁相环的跟踪相角贯穿整个控制环节,因此应当优先考虑锁相环的模型建立,再根据控制信号的流向依次建立相应环节的模型。
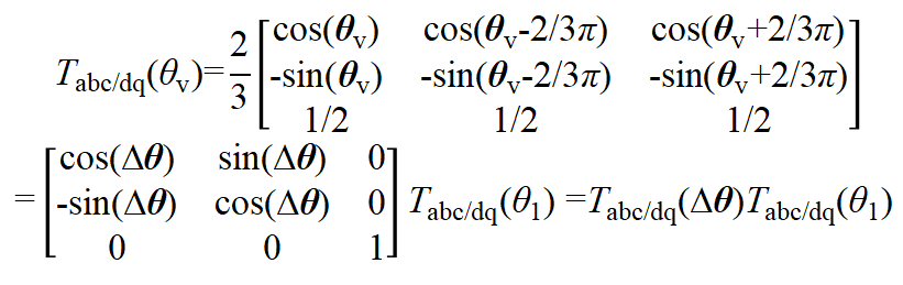
考虑相角小信号扰动后θv=θ1+∆θ,其中θ1为基频相角,∆θ为相角扰动分量,对Park正变换矩阵进行线性化处理可得:
(7)
式(7)中,Tabc/dq(θ1)为基频相角变换模块,Tabc/dq(∆θ)为扰动相角变换模块。求解∆θ是关键。经过基频相角变换模块的dq轴并网电压、并网电流分别如下(此时未考虑基准相角小信号扰动):
(8)
(9)
值得说明的是,由于Park变换会引入基频频率偏移,使得abc坐标系下频次为fp的信号变换至dq坐标系后频次为fp-f1。
假设锁相环输出∆θ与并网点电压扰动之间的关系表达式为Gpll(s):
(10)
考虑Tabc/dq(∆θ)后,并网点电压、电流dq轴分量为:
(11)
将公式(8)、(10)代入可得:
(12)
根据PLL控制框图,可得:
(13)
式中:Hpll(s)为锁相环传递函数,Hpll(s)=(1/s)*(kppll+kipll/s),kppll、kipll分别为PLL的比例增益、积分增益。
将式(12)代入式(13),结合式(10),可得∆θ的频域表达式:
(14)
令:
(15)
式(15)代入(14)中后,∆θ的频域表达式可表示为:
(16)
内电势完整相角θv的三角函数微扰表达式展开如下:
(17)
将式(16)代入式(17),结合频域卷积定理,并忽略高频非线性耦合(无穷小之积为零),则cosθv、sinθv的频域表达式为:
(18)
(19)
3.2.2 电流环及调制函数频域表达式推导
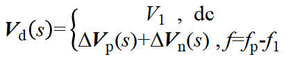
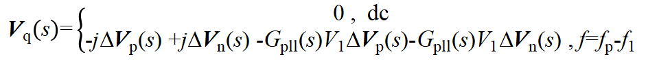
考虑相角小信号扰动,经过Park变换矩阵后,并网点电压、电流dq轴Vd、Vq、Id、Iq分量为:
(20)
(21)
代入上式展开后,Vd、Vq、Id、Iq的完整频域表达式如下(标红部分为∆θ引入的扰动项):
(22)
(23)
(24)
(25)
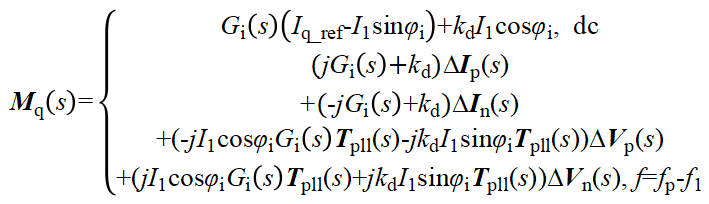
根据控制框图,可得到电流内环的d、q轴输出调制波Md、Mq为:
(26)
其中,kd为交叉解耦系数,kd=ω1Lf;Gi为电流环控制PI环节的传递函数,即
(27)
式中,kpi、kii分别为电流环的比例、积分增益。
进一步基于谐波线性化展开得:
(28)
(29)
考虑完整相角的Park反变换公式如下:
(30)
通过Park反变换后的三相输出调制波Mabc为:
(31)
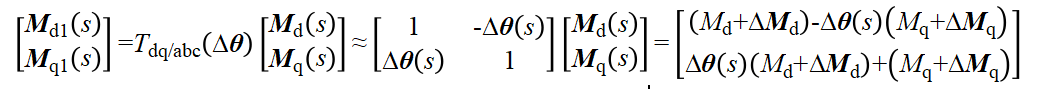
其中,经过扰动相角变化矩阵后的Md1、Mq1为:
(32)
进一步基于谐波线性化展开得Md1、Mq1的完整表达式为:
(33)
(34)
接下来,根据基频相角变换矩阵,可得A相调制函数(等于内电势)的频域表达式为:
(35)
根据上式可知:使得dq坐标轴下fp-f1的分量变换至abc坐标系后产生了fp和fp-2f1的一对耦合分量,从频域的数学推导上验证了频率耦合效应的产生机理。与小干扰稳定性分析系列第一篇文章中从时域的数学推导验证结果一致。
∆Ma(fp)的推导过程如下:
(36)
式中的系数矩阵为:
(37)
∆Ma(fp-2f1)的推导过程如下:
(38)
式中的系数矩阵为:
(39)
3.2.3 跟网型VSC变流器端口二维阻抗矩阵求解
根据GFL变流器二维耦合阻抗定义式,将∆Ma(fp)代入扰动频次主电路频域方程,将∆Ma(fp-2f1)代入耦合频次主电路频域方程可得二维矩阵各阻抗元素为:
(40)
(41)
(42)
(43)
4、跟网型VSC变流器二维耦合序阻抗验证及对比
本文理论层面的推导到此结束。为了验证所建立跟网型VSC变流器二维耦合序阻抗模型在宽频段内的正确性,提供一组系统参数及跟网型VSC变流器序阻抗扫频实现案例。跟网型VSC变流器的主要电气参数如表1所示。基于Matlab/Simulink平台搭建跟网型VSC变流器时域仿真模型,将跟网型VSC变流器二维耦合序阻抗理论计算结果与时域阻抗扫频仿真结果进行对比。扫频原理图如图9所示,扫频对比结果如图10所示。
跟网型VSC变流器二维耦合序阻抗建模及扫频的更多实现细节不便于全部展开,欢迎留言讨论,各位如果有需要获取本文章中涉及的代码和模型,可联系QQ:2293540475。希望对大家有所帮助。
4.1 阻抗扫频测量思路和流程
扫频思路:推导建立跟网型变流器的序阻抗模型后,利用Matlab代码实现理论阻抗建模,基于Matlab/Simulink平台或搭建仿真模型并利用谐波线性化原理进行扫频,将理论阻抗Bode图与扫频阻抗特性进行对比,验证宽频范围内阻抗模型的正确性。阻抗扫频原理示意图如图6所示。
图6 阻抗扫频原理示意图
阻抗建模及扫频对比详细流程如下:
① 根据第3章推导的跟网型VSC变流器序阻抗解析表达式,利用Matlab代码建立s变量下序阻抗模型,并基于程序扫频代入具体频率序列求解对应的序阻抗值,分解为幅值和相位,绘制bode图描述阻抗特性。
② 基于Matlab/Simulink平台搭建跟网型VSC交流并网仿真模型,并调整运行正确。
③ 设置扫频用的扰动频率序列,仿真模型运行至稳态后,采用串联电压源的方式向VSC侧分别逐一注入扰动频率处的正序、负序电压小扰动。
④ 待注入扰动达到新稳态后,获取并网PCC点处的三相电压、电流信号进行FFT分析,得到扰动频率下三相电压、电流信号的幅值和相位。
⑤ 重复③ ④步骤,将电压扰动和扰动频率处电流响应相除求解得扫频阻抗特性。
⑥ 将理论阻抗Bode图与扫频阻抗特性进行对比,验证宽频范围内阻抗模型的正确性。
4.2 算例模型及扫频对比
图7为考虑频率耦合的跟网型VSC变流器二维耦合序阻抗扫频对比图。从图8的跟网型VSC变流器二维耦合序阻抗扫频对比图中可以看出,本文所建立的考虑频率耦合效应的跟网型VSC变流器二维耦合序阻抗模型在全频段内与扫频测量结果高度吻合,说明了本文所建立的跟网型VSC变流器二维耦合序阻抗模型的精确性,考虑频率耦合效应的二维耦合序阻抗模型具备以下优势:1、可验证三相变流器系统由于锁相环、功率控制器或dq轴控制器不对称(参数不相等或者结构不对称)而导致的频率耦合现象,可实现对频率耦合效应的深入研究;2、考虑电网阻抗、控制耦合的完整动态,而非仅考虑主导动态,模型精度更高。
| 参数 | 数值 |
| 额定有功功率Pref/kW | 10 |
| 直流电压Vdc/V | 700 |
| 电网线电压V1/V | 380 |
| 额定频率f1/Hz | 50 |
| 逆变器侧滤波电感Lf1/mH |
3 |
| 滤波电容Cf/μF |
12 |
| 滤波电容寄生电阻Rf/mΩ | 1 |
| 电网侧滤波电感Lf2/mH | 0.5 |
| 电网电感Lg/mH | 12 |
| 电流内环比例系数kpi | 4 |
| 电流内环积分系数kii | 100 |
| 锁相环比例系数kppll | 1.5 |
| 锁相环积分系数kipll | 400 |
图7 考虑频率耦合的跟网型VSC变流器二维耦合序阻抗扫频结果
除了仿真扫频的方法外,可基于控制硬件在环实时仿真实现阻抗扫频测量,也是一种分析阻抗特性的有效研究与实验手段,其阻抗测量结果受仿真平台性能参数的影响。这部分内容本文不再展开。
5、小干扰稳定性专栏出版声明
出版声明:小干扰稳定性专栏已发布十余篇文章,后续将继续给大家呈现一系列小干扰稳定性相关的文章,包含但不限于计及直流侧动态的储能变流器阻抗建模、考虑附加阻尼虚拟阻抗的构网型新能源并网系统等效阻抗建模及振荡抑制分析、跟网型并网系统等效阻抗建模及振荡抑制分析、新能源/多机/多变流器型并网系统控制交互作用特性及机理分析、大规模新能源并网系统等值阻抗建模及动态特性分析、基于谐波状态空间/多谐波线性化的MMC交直流侧序阻抗建模及稳定性分析、MMC高频简化等效阻抗建模及稳定性分析等,有助于帮助初学者入门、入门者创新、研究人员解决问题、突破瓶颈。期间有任何疑问或需要的可随时联系。
共同进步!感谢支持!敬请期待!
6、文章版权声明
版权声明:本文为博主原创文章,遵循 CC 4.0 BY-SA 版权协议,转载请附上原文出处链接和本声明。
参考文献
[1] 伍文华.新能源发电接入弱电网的宽频带振荡机理及抑制方法研究[D].湖南大学,2019.
[2] 谢志为.直驱风电场频率耦合导纳建模与宽频带振荡抑制方法研究[D].湖南大学,2021.
[3] 莫必祥.含储能的直驱风电并网系统次/超同步振荡抑制方法研究[D].湖南大学,2023.
[4] 郭志博.基于虚拟同步发电机的逆变器序阻抗建模与并网稳定性研究[D].华北电力大学,2024.
[5] 李彪.基于谐波线性化的三相并网逆变器系统建模和稳定性分析[D].重庆大学,2019.
[6] 年珩,徐韵扬,陈亮,等.并网逆变器频率耦合特性建模及系统稳定性分析[J].中国电机工程学报, 2019(5):12.
[7] Cespedes M , Sun J .Impedance Modeling and Analysis of Grid-Connected Voltage-Source Converters[J].IEEE Transactions on Power Electronics, 2013, 29(3):1254-1261.
AtomGit 是由开放原子开源基金会联合 CSDN 等生态伙伴共同推出的新一代开源与人工智能协作平台。平台坚持“开放、中立、公益”的理念,把代码托管、模型共享、数据集托管、智能体开发体验和算力服务整合在一起,为开发者提供从开发、训练到部署的一站式体验。
更多推荐


所有评论(0)