【Copula光伏功率预测】基于单调广义学习系统(MBLS)和Copula理论的时空概率预测模型附Matlab代码
✅作者简介:热爱科研的Matlab仿真开发者,擅长数据处理、建模仿真、程序设计、完整代码获取、论文复现及科研仿真。
🍎 往期回顾关注个人主页:Matlab科研工作室
🍊个人信条:格物致知,完整Matlab代码及仿真咨询内容私信。
🔥 内容介绍
一、光伏功率预测的重要性与挑战
随着光伏发电在全球能源结构中占比的不断增加,准确的光伏功率预测对于电力系统的稳定运行、电力市场的交易决策以及光伏电站的优化调度至关重要。然而,光伏功率输出具有高度的不确定性,受多种复杂因素影响,给预测带来了巨大挑战:
- 气象因素的复杂性
:太阳辐射、温度、湿度、云层等气象条件显著影响光伏功率。例如,云层的快速变化会导致太阳辐射强度瞬间改变,进而使光伏功率大幅波动。而且,不同地区的气象条件差异大,同一地区的气象也随季节、昼夜等因素动态变化,难以精确建模。
- 光伏系统的非线性
:光伏电池的物理特性决定了其输出功率与光照强度、温度等因素之间呈现非线性关系。此外,光伏电站内部组件之间的相互影响、逆变器的转换效率变化等,进一步增加了光伏系统的非线性程度,传统线性模型难以准确描述。
- 时空相关性
:不同地理位置的光伏电站,其功率输出既受当地气象条件影响,又存在一定的空间相关性,比如临近区域可能受相同天气系统影响。同时,在时间维度上,光伏功率具有日内、日间的变化规律以及长期的趋势变化,这些时空相关性增加了预测的复杂性。
二、单调广义学习系统(MBLS)原理
- 广义学习系统基础
:广义学习系统(GLS)是一种快速有效的机器学习方法,旨在解决复杂的非线性问题。它通过随机映射将原始输入数据投影到一个高维特征空间,然后利用线性回归学习特征与输出之间的关系。这种方法避免了传统深度学习复杂的网络结构设计和长时间的训练过程,具有较高的计算效率。
- 单调性约束的引入
:在光伏功率预测中,一些物理规律决定了变量之间存在单调关系。例如,在一定条件下,太阳辐射强度增加,光伏功率通常也随之增加;温度在特定范围内变化时,光伏功率会呈现单调变化趋势。单调广义学习系统(MBLS)在 GLS 的基础上引入单调性约束,通过对特征映射和回归过程施加限制,使模型学习到的关系符合这些物理上的单调特性。具体实现方式可能是在损失函数中添加与单调性相关的惩罚项,或者对模型参数进行约束,确保模型在训练过程中遵循单调关系。这样一来,MBLS 能够更好地捕捉变量之间的内在规律,提高预测模型的物理合理性和预测精度。
三、Copula 理论原理
- Copula 函数定义与特性
:Copula 函数是一种将多个随机变量的联合分布与它们各自的边缘分布联系起来的函数。它能够刻画随机变量之间的相依结构,且不依赖于变量的具体分布形式。对于n个随机变量X1,X2,⋯,Xn,其联合分布函数F(x1,x2,⋯,xn)可以表示为F(x1,x2,⋯,xn)=C(F1(x1),F2(x2),⋯,Fn(xn)),其中C是 Copula 函数,Fi(xi)是随机变量Xi的边缘分布函数。Copula 函数的优势在于它可以灵活地描述各种复杂的相依关系,无论是线性还是非线性、对称还是非对称的相依结构都能有效刻画。
- 在光伏功率预测中的应用
:在光伏功率时空概率预测中,不同地理位置的光伏电站功率输出之间以及同一电站不同时刻的功率输出之间存在一定的相依关系。Copula 理论可以用来描述这些复杂的相依结构。通过估计不同光伏功率序列的边缘分布,并选择合适的 Copula 函数来刻画它们之间的相依性,能够构建出更准确的联合分布模型。例如,在多个分布式光伏电站组成的区域中,利用 Copula 函数可以捕捉各电站之间由于气象条件的空间相关性导致的功率输出相关性;在时间维度上,Copula 函数可以描述同一电站不同时刻功率输出之间的时间相依性。这有助于全面考虑光伏功率在时间和空间上的不确定性传播,从而得到更合理的概率预测结果,为电力系统的调度和规划提供更全面的信息。
四、基于 MBLS 和 Copula 理论的时空概率预测模型构建
- 数据收集与预处理
:收集光伏电站的历史功率数据,以及对应的气象数据(如太阳辐射、温度、湿度等)、地理位置信息和时间信息等。对数据进行清洗、归一化等预处理操作,消除数据中的噪声和异常值,并使不同变量的数据在同一尺度上,便于后续模型处理。
- 基于 MBLS 的光伏功率预测
:将预处理后的数据作为 MBLS 的输入,利用 MBLS 学习光伏功率与各影响因素之间的单调关系,得到光伏功率的预测值。在这个过程中,通过调整 MBLS 的参数(如随机映射的参数、线性回归的系数等),使模型能够准确捕捉光伏功率的变化规律。
- 边缘分布估计
:对 MBLS 的预测误差进行分析,采用参数估计方法(如最大似然估计)或非参数估计方法(如核密度估计)来估计其边缘分布。准确的边缘分布估计对于构建 Copula 模型至关重要,因为 Copula 函数是基于边缘分布来描述变量之间的相依结构。
- Copula 模型构建与参数估计
:根据不同地理位置或不同时刻光伏功率之间的相依结构特点,选择合适的 Copula 函数(如高斯 Copula、阿基米德 Copula 等)。通过拟合历史数据,利用极大似然估计等方法估计 Copula 函数的参数,从而构建出能够准确描述光伏功率时空相依性的 Copula 模型。
- 概率预测生成
:结合 MBLS 的预测值、边缘分布以及 Copula 模型,通过蒙特卡罗模拟等方法生成光伏功率的时空概率预测。具体来说,根据 Copula 模型生成大量满足相依结构的随机样本,再结合边缘分布和 MBLS 的预测值,得到光伏功率在不同时间和空间上的概率分布。例如,可以得到不同时刻、不同地理位置的光伏功率超过某一阈值的概率,或者光伏功率在特定区间内的概率,为电力系统的运行和管理提供全面的不确定性信息,帮助决策者制定更合理的调度计划和风险管理策略。
综上所述,基于 MBLS 和 Copula 理论的时空概率预测模型结合了两者的优势,既利用 MBLS 捕捉光伏功率与影响因素之间的单调关系,提高预测精度,又通过 Copula 理论刻画光伏功率的时空相依结构,量化不确定性,为光伏功率预测提供了一种更全面、准确的方法。
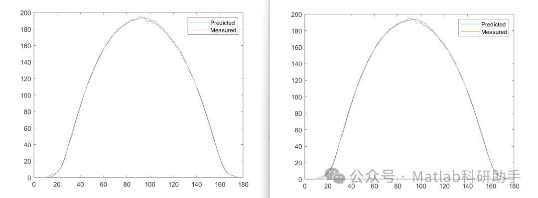
⛳️ 运行结果


🔗 参考文献
📣 部分代码
🎈 部分理论引用网络文献,若有侵权联系博主删除
👇 关注我领取海量matlab电子书和数学建模资料
🏆团队擅长辅导定制多种科研领域MATLAB仿真,助力科研梦:
🌈 各类智能优化算法改进及应用
生产调度、经济调度、装配线调度、充电优化、车间调度、发车优化、水库调度、三维装箱、物流选址、货位优化、公交排班优化、充电桩布局优化、车间布局优化、集装箱船配载优化、水泵组合优化、解医疗资源分配优化、设施布局优化、可视域基站和无人机选址优化、背包问题、 风电场布局、时隙分配优化、 最佳分布式发电单元分配、多阶段管道维修、 工厂-中心-需求点三级选址问题、 应急生活物质配送中心选址、 基站选址、 道路灯柱布置、 枢纽节点部署、 输电线路台风监测装置、 集装箱调度、 机组优化、 投资优化组合、云服务器组合优化、 天线线性阵列分布优化、CVRP问题、VRPPD问题、多中心VRP问题、多层网络的VRP问题、多中心多车型的VRP问题、 动态VRP问题、双层车辆路径规划(2E-VRP)、充电车辆路径规划(EVRP)、油电混合车辆路径规划、混合流水车间问题、 订单拆分调度问题、 公交车的调度排班优化问题、航班摆渡车辆调度问题、选址路径规划问题、港口调度、港口岸桥调度、停机位分配、机场航班调度、泄漏源定位
🌈 机器学习和深度学习时序、回归、分类、聚类和降维
2.1 bp时序、回归预测和分类
2.2 ENS声神经网络时序、回归预测和分类
2.3 SVM/CNN-SVM/LSSVM/RVM支持向量机系列时序、回归预测和分类
2.4 CNN|TCN|GCN卷积神经网络系列时序、回归预测和分类
2.5 ELM/KELM/RELM/DELM极限学习机系列时序、回归预测和分类
2.6 GRU/Bi-GRU/CNN-GRU/CNN-BiGRU门控神经网络时序、回归预测和分类
2.7 ELMAN递归神经网络时序、回归\预测和分类
2.8 LSTM/BiLSTM/CNN-LSTM/CNN-BiLSTM/长短记忆神经网络系列时序、回归预测和分类
2.9 RBF径向基神经网络时序、回归预测和分类
2.10 DBN深度置信网络时序、回归预测和分类
2.11 FNN模糊神经网络时序、回归预测
2.12 RF随机森林时序、回归预测和分类
2.13 BLS宽度学习时序、回归预测和分类
2.14 PNN脉冲神经网络分类
2.15 模糊小波神经网络预测和分类
2.16 时序、回归预测和分类
2.17 时序、回归预测预测和分类
2.18 XGBOOST集成学习时序、回归预测预测和分类
2.19 Transform各类组合时序、回归预测预测和分类
方向涵盖风电预测、光伏预测、电池寿命预测、辐射源识别、交通流预测、负荷预测、股价预测、PM2.5浓度预测、电池健康状态预测、用电量预测、水体光学参数反演、NLOS信号识别、地铁停车精准预测、变压器故障诊断
🌈图像处理方面
图像识别、图像分割、图像检测、图像隐藏、图像配准、图像拼接、图像融合、图像增强、图像压缩感知
🌈 路径规划方面
旅行商问题(TSP)、车辆路径问题(VRP、MVRP、CVRP、VRPTW等)、无人机三维路径规划、无人机协同、无人机编队、机器人路径规划、栅格地图路径规划、多式联运运输问题、 充电车辆路径规划(EVRP)、 双层车辆路径规划(2E-VRP)、 油电混合车辆路径规划、 船舶航迹规划、 全路径规划规划、 仓储巡逻
🌈 无人机应用方面
无人机路径规划、无人机控制、无人机编队、无人机协同、无人机任务分配、无人机安全通信轨迹在线优化、车辆协同无人机路径规划
🌈 通信方面
传感器部署优化、通信协议优化、路由优化、目标定位优化、Dv-Hop定位优化、Leach协议优化、WSN覆盖优化、组播优化、RSSI定位优化、水声通信、通信上传下载分配
🌈 信号处理方面
信号识别、信号加密、信号去噪、信号增强、雷达信号处理、信号水印嵌入提取、肌电信号、脑电信号、信号配时优化、心电信号、DOA估计、编码译码、变分模态分解、管道泄漏、滤波器、数字信号处理+传输+分析+去噪、数字信号调制、误码率、信号估计、DTMF、信号检测
🌈电力系统方面
微电网优化、无功优化、配电网重构、储能配置、有序充电、MPPT优化、家庭用电
🌈 元胞自动机方面
交通流 人群疏散 病毒扩散 晶体生长 金属腐蚀
🌈 雷达方面
卡尔曼滤波跟踪、航迹关联、航迹融合、SOC估计、阵列优化、NLOS识别
🌈 车间调度
零等待流水车间调度问题NWFSP 、 置换流水车间调度问题PFSP、 混合流水车间调度问题HFSP 、零空闲流水车间调度问题NIFSP、分布式置换流水车间调度问题 DPFSP、阻塞流水车间调度问题BFSP
👇
AtomGit 是由开放原子开源基金会联合 CSDN 等生态伙伴共同推出的新一代开源与人工智能协作平台。平台坚持“开放、中立、公益”的理念,把代码托管、模型共享、数据集托管、智能体开发体验和算力服务整合在一起,为开发者提供从开发、训练到部署的一站式体验。
更多推荐



所有评论(0)