土—岩界面优势流潜蚀数值模拟:用COMSOL 6.2复现精彩研究
土—岩界面优势流潜蚀数值模拟 [1]模型简介:使用数值模拟软件COMSOL,复现EI论文(豆红强,谢森华,简文彬,等.球状风化花岗岩类土质边坡土-岩界面优势流潜蚀特性研究[J].岩土力学,2024,45(04):950-960.) [2]案例内容:完整数值模型一个(包括模型边界条件设置、云图结果、后处理数据等),理论方法及具体操作讲解全过程 [3]模型特色:(1)基于连续介质力学,推导出因渗流侵蚀导致的孔隙率演变方程、可侵蚀细颗粒含量方程、液化细颗粒浓度方程;(2)采用VG模型描述土体非饱和特性,采用BC模型描述裂隙优先流特征,并采用双重介质降雨边界/空气单元边界;(3)使用动态渗透系数方程描述侵蚀后的渗透系数因孔隙率的变化;(4)采用Cividini and Gioda(2004)土壤细颗粒侵蚀方程描述细颗粒的侵蚀作用 COMSOL为6.2版本

在岩土工程领域,土—岩界面优势流潜蚀现象的研究对于理解边坡稳定性等问题至关重要。今天咱们就借助COMSOL 6.2软件,来复现一篇EI论文中关于球状风化花岗岩类土质边坡土 - 岩界面优势流潜蚀特性的研究。
模型简介
本次模拟依据豆红强、谢森华等学者发表在《岩土力学》2024年第45卷第04期的论文 “球状风化花岗岩类土质边坡土 - 岩界面优势流潜蚀特性研究”。COMSOL作为强大的多物理场仿真软件,能很好地助力我们实现模型的复现。
模型特色
- 关键方程推导:基于连续介质力学,这模型推导出了几个关键方程。
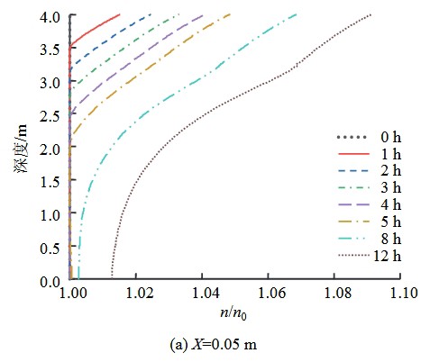
- 孔隙率演变方程:它描述了因渗流侵蚀,土体孔隙率是如何变化的。假设我们用 $\phi$ 表示孔隙率,随着渗流侵蚀的进行,孔隙率的变化可能涉及到流速、颗粒冲刷等因素。例如简化的形式可能是 $\frac{d\phi}{dt} = f(v, C)$,其中 $v$ 是渗流速度,$C$ 是与颗粒冲刷相关的参数,$t$ 为时间。这个方程反映了孔隙率随时间的动态演变,而在COMSOL中,我们可以通过偏微分方程模块来定义类似这样的方程。
- 可侵蚀细颗粒含量方程:用来追踪土体中可被侵蚀的细颗粒数量变化。设可侵蚀细颗粒含量为 $m$,方程可能像 $ \frac{dm}{dt} = -k \cdot v \cdot m$,$k$ 是一个与侵蚀能力相关的系数,负号表示随着渗流,细颗粒含量在减少。在COMSOL里,通过定义源项或通量来体现这个方程对模型的影响。
- 液化细颗粒浓度方程:关乎液化后细颗粒在土体中的浓度分布。用 $C{l}$ 表示液化细颗粒浓度,方程形式或许是 $\nabla \cdot (D \nabla C{l}) - v \cdot \nabla C_{l} = S$,$D$ 是扩散系数,$S$ 是源项,在COMSOL中,类似这种扩散 - 对流方程可以在相关的物理场接口中设置。 - 特性描述模型:
- VG模型:用来描述土体非饱和特性。在COMSOL中,通过在多孔介质流物理场接口中,选择合适的参数化方式来体现VG模型。例如,对于土 - 水特征曲线,我们可以根据VG模型的参数来设置相对渗透率和饱和度之间的关系。
- BC模型:用于刻画裂隙优先流特征。在模型构建时,对于代表裂隙的区域,通过设置特殊的渗透率张量等参数来模拟BC模型所描述的优先流现象。同时采用双重介质降雨边界/空气单元边界,在COMSOL里,我们可以通过多物理场耦合,分别定义降雨边界条件和空气单元边界条件来实现。比如在降雨边界,设置降雨强度随时间的变化,在空气单元边界设置气压等相关条件。 - 动态渗透系数方程:为了描述侵蚀后渗透系数因孔隙率的变化,使用动态渗透系数方程。假设渗透系数 $k$ 与孔隙率 $\phi$ 的关系为 $k = k0 \cdot \phi^n$,$k0$ 是初始渗透系数,$n$ 是一个经验指数。在COMSOL中,我们可以在材料属性设置中,将渗透系数定义为孔隙率的函数,随着孔隙率在模拟过程中的变化,渗透系数也相应改变。
- 细颗粒侵蚀方程:采用Cividini and Gioda(2004)土壤细颗粒侵蚀方程描述细颗粒的侵蚀作用。在COMSOL里,将这个方程以源项或通量的形式添加到相关的物理场方程中,以准确模拟细颗粒在渗流作用下的侵蚀过程。
案例内容 - 完整数值模型搭建
- 模型边界条件设置:在COMSOL中创建几何模型后,就需要设置边界条件。比如在边坡的底部,设置为固定边界条件,防止模型在重力方向上的移动。代码实现可能类似这样:
model.geom(1).feature('bnd1').set('name', 'Bottom Fixed', 'geom_id', [1 2 3]); % 假设底部边界几何ID为1、2、3
model.physics('solid').bnd(1).set('ux', 0, 'uy', 0, 'uz', 0); % 在结构力学物理场中设置位移为0
这段代码首先给底部边界命名为 “Bottom Fixed”,然后在结构力学物理场中,将该边界在x、y、z方向的位移都设为0,实现固定边界条件。

土—岩界面优势流潜蚀数值模拟 [1]模型简介:使用数值模拟软件COMSOL,复现EI论文(豆红强,谢森华,简文彬,等.球状风化花岗岩类土质边坡土-岩界面优势流潜蚀特性研究[J].岩土力学,2024,45(04):950-960.) [2]案例内容:完整数值模型一个(包括模型边界条件设置、云图结果、后处理数据等),理论方法及具体操作讲解全过程 [3]模型特色:(1)基于连续介质力学,推导出因渗流侵蚀导致的孔隙率演变方程、可侵蚀细颗粒含量方程、液化细颗粒浓度方程;(2)采用VG模型描述土体非饱和特性,采用BC模型描述裂隙优先流特征,并采用双重介质降雨边界/空气单元边界;(3)使用动态渗透系数方程描述侵蚀后的渗透系数因孔隙率的变化;(4)采用Cividini and Gioda(2004)土壤细颗粒侵蚀方程描述细颗粒的侵蚀作用 COMSOL为6.2版本

对于降雨边界,在多孔介质流物理场中设置:
model.physics('pfd').bnd(4).set('type', 'rainfall', 'rainfall', 0.001); % 假设降雨边界ID为4,降雨强度设为0.001 m/s
这里将边界类型设为 “rainfall”,并设置降雨强度为0.001 m/s 。
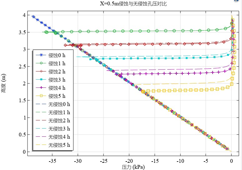
- 云图结果:模拟完成后,我们可以生成各种云图来直观展示结果。例如,孔隙率云图可以帮助我们看到整个模型中孔隙率的分布情况。在COMSOL的后处理模块中,选择 “派生值” - “表面绘图组”,然后选择要绘制云图的变量为 “孔隙率 $\phi$”。通过调整颜色映射和等高线设置,得到清晰的孔隙率云图,如下代码可实现部分后处理操作:
model.result.create('surf1', 'Surface');
model.result('surf1').feature('pg1').set('expr', 'phi'); % 假设孔隙率变量名为phi
model.result('surf1').run;
上述代码创建了一个表面绘图组 “surf1”,并将其表达式设为孔隙率变量 “phi”,最后运行该绘图组得到孔隙率云图。
- 后处理数据:除了云图,还可以提取具体的数据进行分析。比如提取某一点的孔隙水压力随时间的变化。在COMSOL中,通过 “派生值” - “点求值”,选择要分析的点以及物理场变量 “孔隙水压力 $p_w$”,就可以得到该点孔隙水压力随时间的变化数据。同样可以用代码实现自动化提取:
model.result.create('point1', 'Point');
model.result('point1').feature('ev1').set('expr', 'p_w', 'pos', [0.5 0.5 0.5]); % 假设在坐标[0.5, 0.5, 0.5]处提取孔隙水压力
data = model.result('point1').evaluate;
这段代码创建了一个点求值对象 “point1”,在坐标 [0.5, 0.5, 0.5] 处提取孔隙水压力变量 “p_w” 的值,并将结果存储在 “data” 中以便后续分析。

通过以上在COMSOL 6.2中的操作,我们就能完整复现土 - 岩界面优势流潜蚀数值模型,从理论方法到具体操作,深入探究这一复杂的岩土工程现象。




AtomGit 是由开放原子开源基金会联合 CSDN 等生态伙伴共同推出的新一代开源与人工智能协作平台。平台坚持“开放、中立、公益”的理念,把代码托管、模型共享、数据集托管、智能体开发体验和算力服务整合在一起,为开发者提供从开发、训练到部署的一站式体验。
更多推荐



所有评论(0)