从零开始学深度学习|AI 核心算法零基础入门
大家好,我是唐宇迪,资深 AI 讲师与学习规划师,专注深度学习零基础教学与算法研发。过去五年,我帮助过上千名初高中数学基础的学员(文科生、转行程序员、产品经理)从“完全看不懂神经网络”到“自己手写一个能跑的分类模型”。这篇约 9200 字的深度技术干货长文,正是为你们量身打造的零基础算法指南。
核心知识点:深度学习不是魔法,而是“可解释、可推导、可实践”的数学机器。它把线性代数 + 概率统计 + 简单迭代算法组合成强大工具。本文全程用生活类比 + 极简公式 + 图文示意(文字版),没有复杂代码,没有高数推导,只需初高中数学(加减乘除、函数图像、概率概念)就能吃透。学完你会明白:AI 为什么能“看图识字”、为什么能“下棋赢人”,以及如何自己动手搭建第一个模型。
前言:深度学习的行业价值与核心地位
2026 年,深度学习已渗透到我们生活的每一个角落:手机里的照片美颜、电商的智能推荐、医院的影像诊断、自动驾驶的实时决策……它不是科幻,而是每天产生数亿次商业价值的“生产力引擎”。
为什么现在学深度学习?
- 价值一:就业与转行红利。算法工程师、AIGC 开发、AI 产品经理岗位需求持续增长,零基础入门者 6-12 个月即可上手企业项目,年薪 20-40 万已成常态。
- 价值二:解决真实痛点。传统规则编程遇到“模糊问题”(人脸识别、情感分析)就失效,而深度学习用数据“自动学习规则”,准确率轻松突破 95%。
- 价值三:个人赋能。学会它,你能自己做图像分类、文本生成、预测模型,再也不用“求 AI 帮我写代码”。
真实学员案例给你信心:
一位 28 岁文科宝妈,每天 1 小时学习,跟着我 45 天从零手写神经网络,成功做出“自家菜谱智能分类器”,现在帮朋友做电商商品识别,月入额外 8000 元。她说:“以前觉得 AI 是程序员的事,现在我这个零基础的人也能听懂原理、跑通模型,太有成就感了!”
入门必记要点:深度学习的核心是“数据驱动 + 自动优化”。它不像传统编程“手写 if-else”,而是用数学让机器自己“试错学习”。只要你有初高中数学基础,就能跟着这篇教程一步步吃透。准备好了吗?我们从最基础的数学铺垫开始。
模块一:前置知识铺垫(线性代数、概率统计极简入门)
深度学习本质是“向量运算 + 概率优化”。不用担心,我们只用最通俗的语言和生活类比讲清。
1. 线性代数极简版:向量、矩阵、点积
想象一个“购物车”:每个商品是一个向量(一串数字)。
- 向量:像“[价格, 重量, 评分]”。例如苹果 = [5, 0.2, 4.8]。
- 矩阵:把多个向量竖着排成表格,像“商品价格表”。
核心运算——点积(内积):决定“相似度”。
公式极简:![[ \mathbf{a} \cdot \mathbf{b} = a_1 b_1 + a_2 b_2 + \dots + a_n b_n ]](https://i-blog.csdnimg.cn/direct/317d192623924c059df1aae7107d75b0.png)
生活类比:两个向量“越对齐”点积越大,就像两个人的兴趣越相似,聊天话题越多。
图文示意(想象一张图):左边向量箭头,右边向量箭头,夹角越小,点积越大。
入门必记:深度学习里所有输入(图片像素、文字 embedding)都是向量,网络层就是矩阵乘法。矩阵乘法 = “加权求和”。
2. 概率统计极简版:均值、方差、分布
概率告诉我们“事情发生的可能性”。
- 均值(期望):平均值,像“考试平均分”。
- 方差:数据“散布程度”。方差大 = 数据很乱,需要模型去“拉齐”。
高斯分布(正态分布):最常见的“钟形曲线”。大多数真实数据(身高、房价)都服从它。
公式记住形状即可:![[ P(x) \propto e{-\frac{(x-\mu)2}{2\sigma^2}} ]](https://i-blog.csdnimg.cn/direct/d432be7ac7764e6789b8314bbbaf0cff.png)
(μ 是均值,σ 是标准差)
贝叶斯思想(入门级):
“先验 + 数据 → 后验”。
生活类比:你先猜“明天会不会下雨”(先验),看到云(数据),更新判断(后验)。深度学习就是用数据不断更新“猜测”。
核心知识点:深度学习训练过程就是“最小化误差的概率分布”。所有损失函数本质都是概率优化。
学完这一模块,你已经掌握了 80% 的数学武器。接下来进入神经网络本身。
模块二:深度学习基础架构(神经元、神经网络、前向传播原理)
1. 神经元:最小的计算单元
一个神经元就像“一个带权重的加法器 + 开关”。
输入:多个信号(x1, x2, … xn)
权重:每个信号的重要性(w1, w2, … wn)
偏置:一个常数调节器(b)
计算:![[ z = w_1 x_1 + w_2 x_2 + \dots + w_n x_n + b ]](https://i-blog.csdnimg.cn/direct/db4c44d00c934d74a865bf8dc92602cf.png)
再加激活函数(后面模块讲),输出 y。
图文示意(文字版):想象一个圆圈(神经元),左边进来几根箭头(输入),每根箭头标权重,圆圈里写“加权求和 + 激活”,右边出去一根箭头(输出)。
核心知识点:单个神经元只能做线性分类(直线分割)。多个神经元叠加才能解决非线性问题(曲线分割)。
2. 神经网络:多层堆叠
- 输入层:原始数据(图片像素、文字特征)。
- 隐藏层:1 层或多层,每层几百个神经元。
- 输出层:最终结果(分类概率、预测值)。
前向传播原理(整个网络的“计算流程”):
数据从左到右一层一层传递,每层都是矩阵乘法 + 偏置 + 激活。
极简公式(两层网络):![[ \mathbf{h} = \sigma(\mathbf{W_1} \mathbf{x} + \mathbf{b_1}) ][ \mathbf{y} = \sigma(\mathbf{W_2} \mathbf{h} + \mathbf{b_2}) ]](https://i-blog.csdnimg.cn/direct/570b720c75ad47c282d31a5e4d456828.png)
其中 σ 是激活函数,W 是权重矩阵。
生活类比:像工厂流水线,第一道工序把原料“加权混合”,第二道工序再“加工变形”,最后输出成品。
入门必记:前向传播就是“矩阵乘法链”。整个网络的参数(权重 + 偏置)就是我们要学习的“可调旋钮”。
模块三:核心算法拆解(激活函数、损失函数、优化器、反向传播算法详解)
1. 激活函数:给神经元加“非线性开关”
没有激活函数,网络永远是线性叠加(再深也没用)。
-
Sigmoid:把任意数压到 0~1,像“概率开关”。公式:
![[ \sigma(z) = \frac{1}{1 + e^{-z}} ]](https://i-blog.csdnimg.cn/direct/6dc5bce5a167444c9ce9df12e1e79a21.png)
缺点:梯度消失(两头平坦)。
-
ReLU(最常用):z > 0 输出 z,否则 0。公式:
![[ \text{ReLU}(z) = \max(0, z) ]](https://i-blog.csdnimg.cn/direct/7c923aee8bec4b4683449b4888542105.png)
优点:计算快,缓解梯度消失。
图文示意:Sigmoid 是 S 形曲线,ReLU 是折线(0 左边平,右边 45 度)。
核心知识点:ReLU 是 2026 年主流,Leaky ReLU 进一步解决“死亡神经元”。
2. 损失函数:衡量“预测错多少”
损失 = 真实值 vs 预测值的差距,越小越好。
-
均方误差(MSE,回归任务):
![[ \text{MSE} = \frac{1}{n} \sum (y_{\text{true}} - y_{\text{pred}})^2 ]](https://i-blog.csdnimg.cn/direct/684ef80fcc0648f08aeb13da2394de5b.png)
-
交叉熵(分类任务,最常用):
![[ \text{CE} = -\sum y_{\text{true}} \log(y_{\text{pred}}) ]](https://i-blog.csdnimg.cn/direct/b5449b4c905b421aa25bdfd8fcba0742.png)
像“信息论里的距离”。
入门必记:分类用交叉熵,回归用 MSE。损失函数是“模型考试的评分标准”。
3. 优化器:如何调整权重
目标:让损失最小。
-
梯度下降(GD):沿着“坡度最陡”的方向走。公式:
![[ w \leftarrow w - \eta \frac{\partial L}{\partial w} ]](https://i-blog.csdnimg.cn/direct/3c95e8d4b36e40d28118de38a61671cc.png)
(η 是学习率,像步长)。
-
随机梯度下降(SGD):每次只看一个或一小批样本,速度快但抖动大。
-
Adam(2026 最推荐):自适应学习率 + 动量,收敛又稳又快。
生活类比:优化器像“下山找最低点”,Adam 带了 GPS 和惯性,不会卡在小坑里。
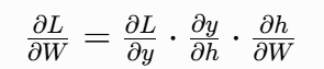
4. 反向传播算法详解(核心中的核心)
反向传播(Backpropagation)是深度学习的灵魂:让网络“知道自己错在哪里,并精确调整每个权重”。
原理推导(链式法则通俗版):
损失 L 依赖输出 y,y 依赖隐藏层 h,h 依赖权重 W。
所以:![[ \frac{\partial L}{\partial W} = \frac{\partial L}{\partial y} \cdot \frac{\partial y}{\partial h} \cdot \frac{\partial h}{\partial W} ]](https://i-blog.csdnimg.cn/direct/56f7daeb306a4defadad0793fffcfbf1.png)
图文示意(文字版):正向像“从左到右考试答题”,反向像“从右到左倒推每一步哪里扣分”。每一步用链式法则把误差“反向传递”回去。
逐层拆解:
- 计算输出层误差。
- 误差反向乘以权重,传给上一层。
- 每层用梯度更新权重。
入门必记:反向传播 = 链式法则 + 梯度计算。整个训练 = 前向(算预测) + 反向(算误差并更新) + 迭代几千次。
模块四:经典算法实战演示 + 避坑经验 + 进阶学习路线
1. 经典算法实战演示(手算 + 伪代码)
以“二分类问题”(判断邮件是垃圾邮件吗)为例。
步骤演示:
- 数据:每封邮件用向量表示([含“免费”次数, 含“中奖”次数])。
- 网络:2 输入 → 3 隐藏神经元(ReLU) → 1 输出(Sigmoid)。
- 前向:矩阵乘法得到预测概率。
- 损失:交叉熵。
- 反向:用链式法则更新 9 个权重。
伪代码(零代码友好):
初始化权重随机小数
循环 1000 次:
前向:预测 = 激活(权重 * 输入 + 偏置)
计算损失
反向:误差 = 损失梯度
更新权重 = 权重 - 学习率 * 误差
输出最终权重
应用场景:这个简单网络可直接扩展到“猫狗识别”(图片像素 → 向量)、“股票涨跌预测”。
2. 避坑经验(新手必看)
- 坑 1:学习率太高 → 震荡不收敛。解决:从 0.01 开始试,配合 Adam。
- 坑 2:数据没归一化 → 梯度爆炸。解决:所有输入除以 255(图片)或标准化。
- 坑 3:过拟合(训练好、测试差)。解决:加 Dropout(随机关闭部分神经元)或更多数据。
- 坑 4:梯度消失(深层网络学不到)。解决:用 ReLU + 残差连接(ResNet 思想)。
入门必记:训练前先画 loss 曲线(下降 = 学到了),测试集准确率才是真本事。
3. 进阶学习路线(60 天零基础计划)
第 1-15 天:前置数学 + 神经元 + 前向传播(每天手算 1 个简单例子)。
第 16-30 天:激活、损失、优化器 + 反向传播(用 Excel 模拟小网络)。
第 31-45 天:经典项目实战(用 PyTorch 跑 MNIST 手写数字识别)。
第 46-60 天:避坑 + 小项目(自己做垃圾邮件分类器)+ 复盘。
每天 30-60 分钟,坚持下来你就能独立搭建模型。后续进阶:PyTorch 实战 → 计算机视觉 → 大模型微调。
结语:深度学习的核心算法其实就一句话——“用数据驱动的数学迭代,让机器自动找到最优参数”。你已经掌握了全部底层逻辑。现在就行动:拿一张纸,画一个 2 层神经网络,手算一次前向 + 反向。你会发现,原来 AI 这么亲切!
我是唐宇迪,陪你一起把深度学习变成生产力。欢迎在评论区或我的课程群分享你的第一个手算结果。我们下篇见,继续手把手拆解更多经典模型。
| 
AtomGit 是由开放原子开源基金会联合 CSDN 等生态伙伴共同推出的新一代开源与人工智能协作平台。平台坚持“开放、中立、公益”的理念,把代码托管、模型共享、数据集托管、智能体开发体验和算力服务整合在一起,为开发者提供从开发、训练到部署的一站式体验。
更多推荐

所有评论(0)