收藏必备:Agent时代,检索模型还重要吗?3种嵌入学习方法详解
Agent 系统发展得这么快那么检索模型还重要吗?RAG 本身都已经衍生出 Agentic RAG和 Self-RAG(这些更复杂的变体了。
答案是肯定的,无论 Agent 方法在效率和推理上做了多少改进,底层还是离不开检索。检索模型越准,需要的迭代调用就越少,时间和成本都能省下来,所以训练好的检索模型依然关键。讨论 RAG 怎么用的文章铺天盖地,但真正比较检索模型学习方式的内容却不多见。
检索系统包含多个组件:检索嵌入模型、索引算法(HNSW 之类)、向量搜索机制(余弦相似度等)以及重排序模型。这篇文章只聚焦检索嵌入模型的学习方式。
本文将介绍我实验过的三种方法:Pairwise cosine embedding loss(成对余弦嵌入损失)、Triplet margin loss(三元组边距损失)、InfoNCE loss。
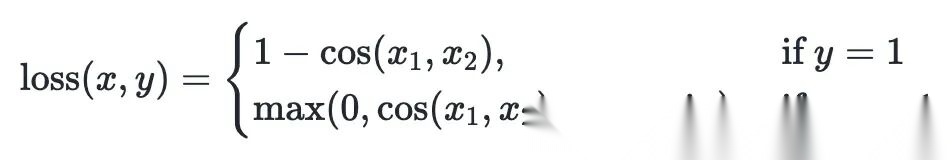
成对余弦嵌入损失

正样本对示例

负样本对示例
输入是一对文本加一个标签,标签标明这对文本是正匹配还是负匹配。和 MNLI 数据集里的蕴含、矛盾关系类似。

损失函数用的是余弦嵌入损失,x 和 y 分别是文本对的嵌入向量。
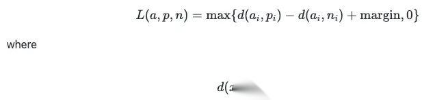
三元组边距损失

输入变成三个文本:一个锚文本、一个正匹配、一个负匹配。

损失函数是 Triplet Margin Loss。公式里 a 代表锚文本嵌入,p 代表正样本嵌入,n 代表负样本嵌入。
InfoNCE 损失

输入包括一个查询、一个正匹配、一组负样本列表。

损失函数采用 InfoNCE,灵感来自 M3-Embedding 论文(arxiv:2402.03216)。公式中 p* 是正样本嵌入,P’ 是负样本嵌入列表,q 是查询嵌入,s(.) 表示相似度函数,比如余弦相似度。
比较

哪种方法最好?要看具体场景、数据量和算力。从我的实验来看,InfoNCE 覆盖面最广。但只要实验做得够充分、训练数据比例调得够细,余弦嵌入损失也能达到差不多的效果。三元组边距损失我没有深入探索,不过它可能是介于另外两者之间的一个折中选项。
最后唠两句
为什么AI大模型成为越来越多程序员转行就业、升职加薪的首选
很简单,这些岗位缺人且高薪
智联招聘的最新数据给出了最直观的印证:2025年2月,AI领域求职人数同比增幅突破200% ,远超其他行业平均水平;整个人工智能行业的求职增速达到33.4%,位居各行业榜首,其中人工智能工程师岗位的求职热度更是飙升69.6%。

AI产业的快速扩张,也让人才供需矛盾愈发突出。麦肯锡报告明确预测,到2030年中国AI专业人才需求将达600万人,人才缺口可能高达400万人,这一缺口不仅存在于核心技术领域,更蔓延至产业应用的各个环节。
那0基础普通人如何学习大模型 ?
深耕科技一线十二载,亲历技术浪潮变迁。我见证那些率先拥抱AI的同行,如何建立起效率与薪资的代际优势。如今,我将积累的大模型面试真题、独家资料、技术报告与实战路线系统整理,分享于此,为你扫清学习困惑,共赴AI时代新程。
我整理出这套 AI 大模型突围资料包【允许白嫖】:
-
✅从入门到精通的全套视频教程
-
✅AI大模型学习路线图(0基础到项目实战仅需90天)
-
✅大模型书籍与技术文档PDF
-
✅各大厂大模型面试题目详解
-
✅640套AI大模型报告合集
-
✅大模型入门实战训练
这份完整版的大模型 AI 学习和面试资料已经上传CSDN,朋友们如果需要可以微信扫描下方CSDN官方认证二维码免费领取【保证100%免费】

①从入门到精通的全套视频教程
包含提示词工程、RAG、Agent等技术点

② AI大模型学习路线图(0基础到项目实战仅需90天)
全过程AI大模型学习路线

③学习电子书籍和技术文档
市面上的大模型书籍确实太多了,这些是我精选出来的

④各大厂大模型面试题目详解

⑤640套AI大模型报告合集

⑥大模型入门实战训练

如果说你是以下人群中的其中一类,都可以来智泊AI学习人工智能,找到高薪工作,一次小小的“投资”换来的是终身受益!
应届毕业生:无工作经验但想要系统学习AI大模型技术,期待通过实战项目掌握核心技术。
零基础转型:非技术背景但关注AI应用场景,计划通过低代码工具实现“AI+行业”跨界。
业务赋能 突破瓶颈:传统开发者(Java/前端等)学习Transformer架构与LangChain框架,向AI全栈工程师转型。
👉获取方式:
有需要的小伙伴,可以保存图片到wx扫描二v码免费领取【保证100%免费】🆓

AtomGit 是由开放原子开源基金会联合 CSDN 等生态伙伴共同推出的新一代开源与人工智能协作平台。平台坚持“开放、中立、公益”的理念,把代码托管、模型共享、数据集托管、智能体开发体验和算力服务整合在一起,为开发者提供从开发、训练到部署的一站式体验。
更多推荐
所有评论(0)