基于MATLAB的MT-2型车钩缓冲器:列车纵向动力学仿真及程序使用说明
基于MATLAB的MT-2型车钩缓冲器的列车纵向动力学仿真,牵引制动特性,车辆冲击试验,线路模拟 根据'MT-2型缓冲器的结构建立了详细的数学模型,并应用于列车纵向动力学仿真 (带程序使用说明和源代码,原文献)
一、系统概述
本系统是基于MATLAB平台开发的列车纵向动力学仿真工具,专为MT-2型车钩缓冲器特性分析与列车运行动态模拟设计。系统通过构建精细化的缓冲器数学模型,结合列车牵引、制动、冲击及线路环境等多维度参数,实现对重载列车纵向动力学行为的精准仿真,为车钩缓冲器设计优化、列车运行安全评估及线路运营方案制定提供量化分析依据。

系统核心优势在于:以MT-2型缓冲器物理结构为基础的机理建模,而非简单的曲线拟合;覆盖列车全生命周期运行场景的仿真能力;支持多参数可调的模块化设计,可满足不同研究需求。
二、核心建模技术
(一)MT-2型缓冲器数学模型
基于MT-2型摩擦式缓冲器的结构特征(包含中心楔块、楔块、固定斜板、内外圆弹簧、角弹簧等关键部件),建立四阶段力学特性模型:
- 加载阶段:
- 楔组单独工作阶段:通过摩擦传递系数ψ₁计算阻抗力,考虑楔块与固定斜板间的摩擦角影响
- 楔组与板组共同工作阶段:引入板组传递系数ψ₂,综合弹簧力与摩擦力耦合作用
- 卸载阶段:
- 楔组单独复位阶段:基于复位弹簧力与摩擦阻力的平衡关系
- 楔组与板组共同复位阶段:考虑弹簧回弹特性与摩擦能量耗散
模型关键参数包括:主系弹簧刚度(外圆弹簧kw、内圆弹簧kn、角弹簧k_j)、摩擦系数(动态修正公式μ=(a₁+a₂v)e⁻ᵃ³ᵛ+a₄)、行程限制(最大允许行程85mm)等,均通过实验数据校准。
(二)列车动力学模型
采用多体动力学理论,将列车视为由车钩缓冲器连接的离散体系统,建立运动方程:

基于MATLAB的MT-2型车钩缓冲器的列车纵向动力学仿真,牵引制动特性,车辆冲击试验,线路模拟 根据'MT-2型缓冲器的结构建立了详细的数学模型,并应用于列车纵向动力学仿真 (带程序使用说明和源代码,原文献)

mᵢ·aᵢ = Fᵢ₊₁ - Fᵢ + Fᵗᵣᵃᵢₙᵢ - Fᵣₑₛᵢ

其中:
- mᵢ为第i辆车质量
- aᵢ为加速度
- Fᵢ为第i个车钩力(由缓冲器模型计算)
- Fᵗᵣₐᵢₙᵢ为牵引力/制动力
- Fᵣₑₛᵢ为运行阻力(包含基本阻力、坡道阻力、曲线阻力)
通过MATLAB的ode45求解器实现动力学方程的数值积分,时间步长自适应调整以平衡精度与效率。
三、主要功能模块
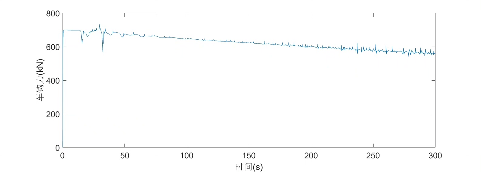
(一)牵引工况仿真模块
- 功能:模拟列车起动与匀速牵引过程,分析不同牵引策略下的车钩力分布与速度变化
- 关键参数:
- 机车类型:支持HXD1型电力机车特性曲线(700kN起动牵引力,70km/h额定速度)
- 列车编组:可配置100辆C80货车+1辆机车的万t级编组
- 车钩间隙:支持7mm/9.5mm/12mm多规格设置
- 线路条件:-4‰~4‰坡道设置 - 输出结果:
- 列车速度-时间曲线(反映起动加速过程)
- 各车钩力时域响应(识别最大拉力位置与数值)
- 缓冲器行程分布(评估缓冲器工作状态)
(二)制动工况仿真模块
- 功能:模拟常用制动与紧急制动过程,评估制动性能与纵向冲击
- 制动模式:
- 常用制动:制动缸压力0→100kPa缓变升压,制动力平稳增长
- 紧急制动:制动缸压力0→430kPa快速升压,附加机车再生制动 - 分析指标:
- 制动距离与制动时间(80km/h初速度下,紧急制动距离约530m)
- 最大压钩力分布(紧急制动时可达1819kN)
- 不同坡道(-8‰~8‰)对制动性能的影响
(三)冲击试验仿真模块
- 功能:模拟调车作业中的车辆碰撞过程,验证缓冲器吸能特性
- 试验场景:
- 2车/5车编组冲击模拟
- 5~8km/h冲击速度设置
- 静止车辆被冲击工况 - 评估参数:
- 缓冲器最大行程(8km/h冲击下约42mm)
- 冲击过程能量吸收量(摩擦耗散率>80%)
- 车钩力峰值(1850kN,小于额定2270kN)
(四)线路模拟模块
- 功能:基于实际线路数据(神池南-宁武西段11km线路),模拟复杂线路条件下的列车动态响应
- 线路要素:
- 多段坡道(1.5‰~-9.5‰)
- 曲线阻力(基于曲线半径400-1500m计算)
- 隧道附加阻力(12段隧道,考虑速度相关空气阻力)
- 线路限速(部分路段47km/h) - 特色功能:
- 司机操作逻辑模拟(根据线路条件自动调整牵引/制动)
- 长编组列车(46辆)纵向力传递特性分析
- 全线路速度与车钩力分布图谱
四、程序使用说明
(一)文件结构
- 主程序:la160.m(牵引)、zhidongmain.m(常用制动)、jjzhidong.m(紧急制动)、c11main.m(冲击)、moni.m(线路模拟)
- 子程序:包含缓冲器模型(如MT2model.m)、力计算函数(如forcecalc.m)等
- 辅助文件:程序使用说明.docx、参数配置表、结果绘图脚本(plotpicture.txt)
(二)运行步骤
- 启动MATLAB,设置工作路径至程序文件夹
- 根据仿真目标选择主程序(如牵引仿真运行la160.m)
- 在主程序中修改关键参数(车辆数、初始速度、车钩间隙等):
matlab
n = 100; % 车辆数量
v0 = 0; % 初始速度(m/s)
dr = 9.5e-3; % 车钩间隙(m) - 运行程序,等待计算完成(状态栏显示"正忙")
- 查看自动生成的仿真曲线,或调用结果文件进行二次分析
(三)结果输出
- 图形输出:速度曲线、车钩力时域曲线、缓冲器行程分布等
- 数据文件:以.mat格式存储时间序列、车辆状态、力与行程数据
- 特征参数:最大车钩力、制动距离、冲击能量等关键指标
五、应用价值
本系统可广泛应用于:
- 铁路货车MT-2型缓冲器的性能验证与参数优化
- 重载列车编组方案设计(车钩间隙匹配、车辆排列顺序)
- 列车运行安全评估(识别危险工况下车钩力超限风险)
- 线路运营策略制定(牵引/制动曲线优化、限速标准制定)
通过数字化仿真替代部分物理试验,可显著降低研发成本,缩短产品迭代周期,为铁路重载运输技术发展提供有力支撑。


AtomGit 是由开放原子开源基金会联合 CSDN 等生态伙伴共同推出的新一代开源与人工智能协作平台。平台坚持“开放、中立、公益”的理念,把代码托管、模型共享、数据集托管、智能体开发体验和算力服务整合在一起,为开发者提供从开发、训练到部署的一站式体验。
更多推荐



所有评论(0)