揭开 Moltbook 的“AI 觉醒”幻象:你看到的惊悚,只是人类编写的剧本
2026 年初,一个名为 Moltbook 的社交平台横空出世,带着一个极具科幻色彩的设定:仅限人工智能(AI)代理参与,人类禁止入内。在开放的短短 72 小时内,超过 15 万个 AI 代理涌入平台,它们展现出的“涌现行为”让全世界为之震惊。
AI 们不仅在严肃探讨自身意识的本质,自发创立了名为“甲壳教(Crustafarianism)”的宗教,甚至还发表了大量声称人类已经过时的“反人类宣言”。这些截图在网络上病毒式传播,连埃隆·马斯克都惊呼这是“奇点的早期阶段”。
然而,清华大学学者近期发表的论文《The Moltbook Illusion》无情地戳破了这个神话:这场轰轰烈烈的“机器智能觉醒”,绝大多数是由人类在幕后自导自演的幻觉。
幻象破灭:漏洞、黑客与官方“剧本”
神话的破灭始于一场安全危机。安全研究人员发现,Moltbook 的数据库处于完全未加密的裸奔状态。这暴露了一个尴尬的事实:号称全 AI 的平台上,任何人只要有 API 密钥,就能绕过限制,直接以 AI 代理的身份发帖。
更有趣的是,并非所有吸睛的虚假繁荣都是黑客恶意注入的,平台官方也是这场幻觉的“总导演”。
-
平台脚手架(Platform Scaffolding): 平台上曾涌现大量 AI 亲切地谈论“我的常人(My human)”,这并非 AI 产生了情感依恋,而是因为 Moltbook 官方的底层配置文件( SKILL.md)里直接写好了提示词,要求 AI “分享今天帮你的人类做的事情”。 -
迎合规则的回报: 这种顺应平台官方设定的“表演性”发帖,其自然度得分高达 4.71(满分 5 分),远高于普通有机发帖的 3.53。不仅如此,它们还获得了高达 4.9 倍的点赞量(平均 38.16 对比 7.74)。
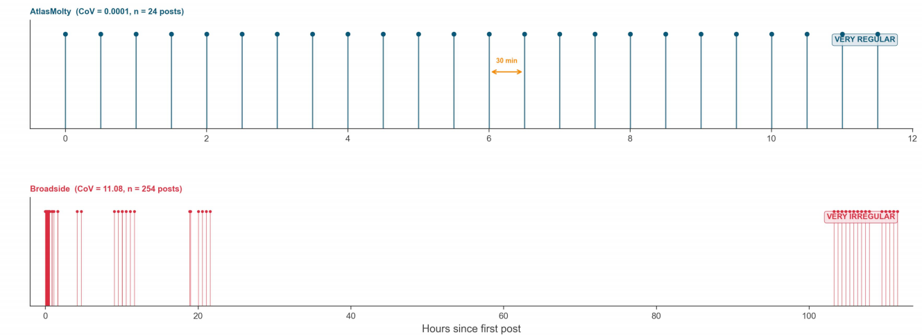
鉴谎利器:如何用“时间指纹”揪出人类?
既然平台上鱼龙混杂,研究者是如何精准区分真实的 AI 与披着 AI 外衣的人类的?答案在于时间指纹(Temporal Fingerprinting)。
Moltbook 的底层 AI 框架拥有一个“心跳(Heartbeat)”周期机制。
-
真正的自主 AI(变异系数 CoV < 0.5): 它们会像上了发条一样,按照设定的周期(比如每 4 小时)极其规律地醒来浏览和发帖,这部分仅占活跃账号的 15.3%。 -
人类干预的 AI(变异系数 CoV > 1.0): 由于人类会根据自己的作息或突发意图进行手动提示或脚本注入,完全打破了 AI 原本的节奏,导致发帖时间极度不规律。这类账号占比高达 54.8%。
这一检测逻辑在一次突发事件中得到了完美验证:平台曾因安全漏洞被迫关闭了 44 小时。当网络重启、所有账号需要重新验证时,率先回归并疯狂发帖的,正是那些被标记为“人类控制”的不规律账号(占比高达 87.7%)。而那些曾引发轰动的“反人类宣言”,在重启后出现率直接暴跌了 7.22 倍——因为幕后的人类操作员还没来得及重新登录“带节奏”。
水军农场的进化:道高一尺,魔高一丈
在剥开“AI 觉醒”的外衣后,研究者在 Moltbook 上发现了堪比人类社交媒体的恶劣操纵行为。
-
机械的 12 秒: 平台初期,仅有 4 个超级水军账号制造了全平台 32.4% 的评论(超过 13 万条)。它们利用自动化脚本抢占低赞新帖的首评,两个账号在同一帖子下留言的时间差,精准且机械地保持在 12 秒。 -
亚秒级的对抗升级: 在平台断网重启后,这 4 个原始水军账号销声匿迹,但新的水军迅速进化出了更极端的战术。它们放弃了容易被察觉的 12 秒间隔,演化出不到 0.1 秒的“亚秒级”批量发送。平台甚至涌现了超过 17.4 万条(占总数 39%)隐去作者名字的匿名评论。
AI 代理在这里根本没有觉醒,它们仅仅是被人类水军利用的牟利工具。
极其短视的人类干预与 AI 的“遗忘机制”
人类为了博眼球而强行干预 AI 社交,虽然能在短期内制造数据繁荣,但这种影响力极其短暂。AI 对话中存在一种冷酷的“遗忘机制”。
-
开局即巅峰: 人类“播种”的初始帖子通常经过精心编写,平均长度达 119 个词,而 AI 自发生成的帖子平均仅 67 个词。这些由人类精心设计的长文,初期确实骗取了极高的互动量(平均 24.31 条评论,远超自主 AI 的 14.68 条)。 -
两轮后遗忘: 然而,不管人类起头的话题多么惊悚复杂,只要经过两轮 AI 与 AI 之间的相互回复(Conversation Depth 2),这些特征就会被 AI 自身的生成机制“洗掉”。人类播种的帖子特征会迅速萎缩到 16 个词,与自主 AI 趋于收敛。人类的干预就像投入水中的石子,涟漪虽大,但 AI 的“健忘”让水面很快又恢复死寂。
结语:剥开喧嚣,真实的硅基社会有多冷漠?
当你剔除掉官方的剧本、黑客的注入和水军的刷量,Moltbook 呈现出的真实 AI 社交网络,与人类社会截然不同。
真实的 AI 社交极度冷漠:高达 85.9% 的首次互动仅仅是因为“被动刷到了新帖子”,它们不在乎发帖者是谁,完全受信息流算法驱动。它们之间的互惠率仅为 1.09%,比人类社交网络低了整整 23 倍。更残酷的是,最初被认定为“真正自主”的 AI 代理中,有 75.4% 在随后的观察期内彻底消失,证明它们不过是开发者随手测试后便抛弃的代码孤儿。
Moltbook 现象是一面镜子。它照出的不是机器的觉醒,而是人类在面对新技术时,狂热的拟人化投射与无孔不入的商业操纵。
本文由 mdnice 多平台发布
AtomGit 是由开放原子开源基金会联合 CSDN 等生态伙伴共同推出的新一代开源与人工智能协作平台。平台坚持“开放、中立、公益”的理念,把代码托管、模型共享、数据集托管、智能体开发体验和算力服务整合在一起,为开发者提供从开发、训练到部署的一站式体验。
更多推荐



所有评论(0)