AIA | 西工大马启悦,高传强等:物理指导的激波抖振抑制翼型优化设计研究
物理指导的激波抖振抑制翼型优化设计研究
Physics-guided airfoil optimization design for shock buffet suppression
马启悦,高传强*,邬晓敬,张伟伟

引用格式: Ma Q, Gao C, Wu X, et al. Physics-guided airfoil optimization design for shock buffet suppression[J]. Advances in Aerodynamics, 2026, 8(1): 7.
导读:
激波抖振是航空工程中常见的流动不稳定性问题之一,显著影响飞行品质并限制飞行包线。本文提出了一种物理指导的气动优化设计框架,用于提升跨声速区域的抖振起始边界。抖振不稳定性机制与定常流场中流动分离的程度以及激波的空间演化密切相关。因此,该优化框架基于深度确定性策略梯度(DDPG)算法,在综合考虑翼型优化的各类气动约束的同时,重点优化稳定流场中的激波位置与分离区范围。对于 RAE2822 翼型,在15%的参数形变范围内,优化方案使该翼型的激波抖振起始迎角提升了 0.7°,且其综合气动性能同步得到了显著改善。
一、研究背景及现状
一旦飞机进入抖振状态,抖振所导致的飞行不稳定性将引发持续的脉动载荷,严重影响飞行品质,甚至造成结构损伤。因此,在翼型气动外形优化(ASO)设计阶段,抑制激波抖振至关重要,这与飞机的运输能力、作战性能及气动特性密切相关。非定常气动外形优化常以减小脉动载荷幅值、提升抖振起始边界为目标。但受限于跨声速非定常数值模拟的高昂计算开销,该方法难以高效应用。因此,亟需选取与抖振直接相关的定常流场特征作为优化目标,实现高效且物理可解释的气动优化,进而实现抖振抑制。
本文结合抖振边界预测工作的核心结论,提出一种物理指导的强化学习气动外形优化框架,如图1所示。通过利用激波与分离区这两种定常流场特征指导翼型参数优化,有效提高了抖振起始边界。
二、定常流场特征分析
基于数值仿真数据,首先对抖振定常流场的激波和分离区这两种特征进行分析。其中激波位置(SW)表示为在翼型上表面x轴方向速度达到声速时,弦线方向上的最远点。分离特征通过分离比(Ssep)进行量化,定义为翼型周围边界层的分离长度与总长度之比,用以测量分离区域的大小。其中Lsep和Lref分别表示翼型表面的分离长度和参考长度。V为局部实际流速,V∞为自由来流速度。
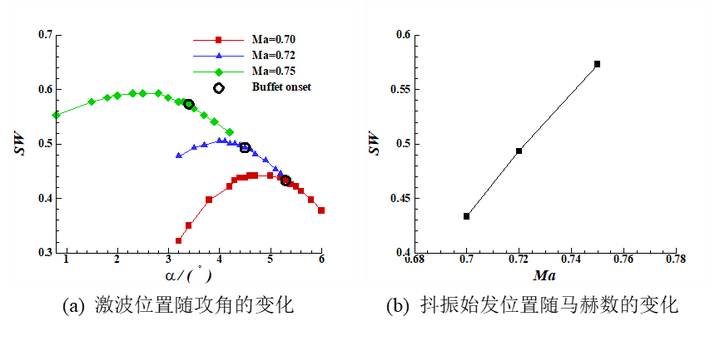
以上的RAE2822翼型为例,随着攻角在某一马赫数下的增加,激波首先向翼型后缘移动。在激波到达最大位置后,又转向前缘移动,随之发生抖振,如图2所示。结果表明,抖振始发与激波的最大位置有一定的相关性。特别是,对于小扰动翼型参数的优化,可以认为激波位置的变化规律基本保持不变。因此,在抖振始发状态附近,激波位于整体变化的下降部分。将激波向后缘移动,有助于远离抖振的始发。
分离比随着攻角增加而逐渐增大,并且在发生较大分离时抖振发生,如图3所示。通过优化设计实现降低分离比,可以有效地减小分离区的尺寸,从而减少流动的不稳定性。因此,利用这两个特性开展抖振抑制的优化设计。
在优化设计过程中,根据激波位置和分离比的变化趋势来制定目标。激波所对应的最大位置和抖振始发位置随马赫数和翼型的改变而变化明显。因此,当使用激波位置作为优化目标时,选择5%的CST翼型扰动作为参数优化空间,以满足小扰动下修正机翼剖面的气动性能和抖振边界的设计要求。在不同的马赫数和翼型条件下,分离比通常从零开始。尽管抖振始发时的分离比各不相同,但随着攻角的增大,分离比逐渐增大,直至抖振发生。因此,选取15%的CST翼型扰动作为分离区特征指导设计的参数优化空间。
三、翼型优化设计算例
Case1:激波位置特征指导的RAE2822翼型优化设计
选择激波位置作为优化目标时,以5%的CST参数扰动作为参数优化空间。强化学习奖励根据以下等式进行设置。
基于不稳定定常流场,优化前后对应的气动性能见表1。在此状态下,激波向后缘移动,其位置增加了3.6%,同时升阻比提高了15%。
图4为Ma= 0.75时翼型优化前后的时间平均力系数的比较,气动性能较优化前略有改善。在Ma= 0.75的设计状态,抖振始发攻角从3.4˚提高到3.7˚,升力系数的脉动幅值如图5 (a)所示。图5 (b)为非设计状态下抖振始发边界的比较,在Ma= 0.70和Ma= 0.72处的抖振边界改善了0.3˚。
Case2:分离比特征指导的RAE2822翼型优化设计
选择分离比作为优化目标时,强化学习奖励的设计旨在减少分离区大小以抑制抖振,调整权重因子如下所示。
基于稳态仿真的优化前后气动性能如表2所示。在此状态下,分离率显著降低了69%,激波与分离之间的相互作用被中断,实现了抖振抑制。
图6显示了在Ma= 0.75条件下,基于URANS模拟对应的优化前后时间平均力系数的比较。可以看出,在较大攻角下升阻比有显著改善。在设计状态Ma = 0.75时,抖振始发攻角从3.4˚提高到4.1˚,如图7(a)所示。而在非设计状态Ma = 0.70和Ma = 0.72时,始发攻角分别提高了0.5˚和0.6˚,如图7(b)所示。优化结果显示,随着参数扰动范围的扩大,分离比出现显著降低,抖振始发边界的提升效果更加明显。
四、结论
本文利用定常流场的激波与分离特征指导开展了翼型气动优化设计,从而有效抑制激波抖振现象。通过基于DDPG算法构建一个智能体与定常流场环境的交互框架,单次设计点的流场求解时间从非定常数值仿真的小时级缩减至定常仿真的分钟级。在优化过程中,重点选取定常基流中的激波位置与分离区作为典型流场特征,并将其作为优化目标,有效推迟了激波抖振始发边界,同时提升了气动性能。
公众号原文链接(文末附论文资源):
https://mp.weixin.qq.com/s/9K01KYWRiK823nehow_-rw
相关论文推荐:
AST | 西工大马启悦、高传强等:基于流场特征信息神经网络的激波抖振始发预测
MSSP | 西北工业大学马启悦,高传强等:融合激波位置的跨声速抖振气动载荷辨识
注:文章由原作者投稿分享,向本公众号授权发布。
AtomGit 是由开放原子开源基金会联合 CSDN 等生态伙伴共同推出的新一代开源与人工智能协作平台。平台坚持“开放、中立、公益”的理念,把代码托管、模型共享、数据集托管、智能体开发体验和算力服务整合在一起,为开发者提供从开发、训练到部署的一站式体验。
更多推荐


所有评论(0)