基于CASA模型的1982-2025年中国逐月1000米分辨率NPP数据集
获取数据搜索地球资源数据云或关注公众号
摘要
本数据集基于CASA模型构建,提供了1982年至2025年中国区域逐月净初级生产力(NPP)数据,空间分辨率为1000米。数据生产主要利用多源遥感数据(如AVHRR、MODIS)与气象再分析数据驱动过程模型,通过光合有效辐射吸收比例与光能利用率原理估算植被年固碳量。数据集采用统一的算法框架与参数体系,确保了长时间序列的一致性。数据格式为GeoTIFF,采用Albers等面积圆锥投影,覆盖全国陆地范围。质量控制通过异常值剔除、与站点观测及已有产品交叉验证实现。该数据集为评估生态系统碳收支、研究植被对气候变化的响应及生态工程效益提供了长时间、高空间分辨率的基准数据,对陆地碳循环研究、环境政策制定具有重要支撑价值。
关键词:净初级生产力;NPP;CASA模型;1000米分辨率
本数据集基于CASA模型构建,提供了1982年至2025年中国区域逐月净初级生产力(NPP)数据,空间分辨率为1000米。数据生产主要利用多源遥感数据(如AVHRR、MODIS)与气象再分析数据驱动过程模型,通过光合有效辐射吸收比例与光能利用率原理估算植被年固碳量。数据集采用统一的算法框架与参数体系,确保了长时间序列的一致性。数据格式为GeoTIFF,采用Albers等面积圆锥投影,覆盖全国陆地范围。质量控制通过异常值剔除、与站点观测及已有产品交叉验证实现。该数据集为评估生态系统碳收支、研究植被对气候变化的响应及生态工程效益提供了长时间、高空间分辨率的基准数据,对陆地碳循环研究、环境政策制定具有重要支撑价值。
关键词:净初级生产力;NPP;CASA模型;1000米分辨率
引 言
植被净初级生产力(Net Primary Productivity, NPP)是衡量生态系统碳汇能力与可持续性的关键指标,其精确估算对理解全球碳循环、评估气候变化影响及制定生态管理政策具有核心数据科学价值。传统的站点观测难以满足大尺度、连续监测的需求,而遥感与过程模型的融合为NPP的时空动态模拟提供了有效途径。先前研究已发展了诸如CASA、GLOPEM等经典模型,为本工作的开展奠定了方法论基础。本数据集基于CASA模型,整合了长时间序列的遥感与气象再分析数据,生成了1982–2025年中国区域1000米分辨率的逐月NPP数据。该数据集有效弥补了现有产品在时空连续性或分辨率上的不足,其显著特点是覆盖时段长、空间分辨率高且算法一致性好。数据集经过严格的质量控制,包括与地面测量数据及已有权威产品的交叉验证,确保了可靠性。该数据可为评估中国陆地生态系统固碳现状、分析植被活动对气候波动的响应、以及量化重大生态工程的效益提供关键数据支撑,在气候变化研究、生态学和资源管理等领域具有广阔的重用潜力。
1 数据采集和处理方法
1.1 数据采集方法
本数据集计算使用了归一化植被指数(NDVI),土地利用,太阳辐射,降水,温度。分为预处理和计算两个部分,预处理部分主要通过裁剪,投影的方式统一数据的范围,行列数,投影,分辨率。计算部分通过公式分步计算。本数据集1000米分辨率的中国范围的净初级生产力(NPP)数据,及下方列举的生产所需的数据统一采用了墨卡托(UTM_Zone_46N)投影。
1.1.1 归一化植被指数数据(NDVI)数据
1982-1999年数据来源于NOAA CDR AVHRR NDVI 数据,分辨率为5KM。2000-2025年数据来源于MOD13A2 V6.1版本,此产品的算法会从 16 天内的所有采集中选择最佳可用像素值。所用标准为低云、低视角和最高NDVI值。通过编写代码筛选时间范围进行最大值合成,并根据上传的中国区域范围进行裁剪,对裁剪好的影像进行导出下载。得到一年内逐月的最大值的NDVI的TIFF影像。
1.1.2 土地利用数据
本数据是基于美国陆地卫星Landsat 系列(MSS、TM、7、8、9)影像数据,通过人机交互解译生成的全国30米分辨率土地利用遥感监测空间分布数据(www.gis5g.com/#/dataResourceDetail?resourcesId=148)。根据LUCC分类体系将土地利用类型分为6个一级类,25个二级类。时间为1982-2024年。
1.1.3 太阳辐射数据
太阳辐射数据是基于国家气象科学数据中心的中国国家级地面气象站基本气象要素日值数据集(V3.0),时间为1982年1月至2025年12月,使用逐日太阳辐射的模拟计算方法后利用Anusplin方法对其进行插值得到30 m空间分辨率的月总太阳辐射数据。
1.1.4 降水数据
降水数据是基于国家气象科学数据中心中国国家级地面气象站基本气象要素日值数据集(V3.0),时间为1982年1月至2025年12月,利用Anusplin方法对其进行插值得到30 m空间分辨率的月均降水数据。
1.1.5 温度数据
温度数据是基于国家气象科学数据中心中国国家级地面气象站基本气象要素日值数据集(V3.0),时间为1982年1月至2025年12月,利用Anusplin方法对其进行插值得到30 m空间分辨率的月均温度数据。
1.1.6 DEM数据
DEM数据是来自美国国家航空航天局(NASA)与日本经济产业省(METI)联合发布的STER GDEM V3,该数据以 WGS84/EGM96 大地水准面为参考。空间分辨率为0.00027777778°(约30米),垂直精度为20米,水平精度为30米(精度信息来源于USGS网站)。
1.2 数据处理
1.2.1 土地利用数据处理
土地利用数据为每五年一幅的TIFF影像,分辨率为30米,首先使用ARCGIS 10.6软件将其投影,分辨率1000米,处理1985-2020年间共8幅影像。由于不同土地利用类型的最大光能利用效率(εmax)不同,目前的利用类型不能与其完全呼应,所以需要将1000米分辨率的土地利用影像进行重分类。
1.2.2 归一化植被指(NDVI)数据处理
对下载好2000-2024年的逐月NDVI最大值合成数据使用ARCGIS 10.6软件进行投影,设置分辨率1000米,并使用裁剪工具,以土地利用数据为基础进行行列数匹配,或者行列数、投影、分辨率均相同的影像。对于1982-1999年的5KM分辨率的NDVI影像,使用机器学习的方法优化分辨率至1000米,再使用ARCGIS 10.6软件进行同样的裁剪操作,得到与土地利用数据相同行列数、投影、分辨率的数据。
1.2.3 太阳辐射数据处理
进行计算大气上空太阳辐射H0(MJ m-2 d-1)计算公式:
![]()
式中:GSC为太阳常数,其值一般为1367Wm-2(相当于118.108MJ m-2 d-1);E0为地球轨道偏心率校正因子;Φ为纬度;δ为太阳赤纬;WS为时角(角度)。
![]()

式中:年角Γ=2π(n−1)/365,单位为弧度,n为一年中的日序数。
![]()
日出和日落间的时间间隔为日长(SL),假设在日出和日落时间太阳高速角为0,有:
![]()
地面晴空状态下的太阳辐射:总辐射在大气中的透明度系数本文为0.8。则:
![]()
式中:HL为晴天状态下的地面总辐射。
逐日太阳辐射利用Angtrom-Prescott方程计算:
![]()
式中:H为日实测总辐射,HL为晴天状态下的日总辐射,S和SL分辨为日照时数和日长,a和b为经验参数,本数据集中a取0.248,b取0.752。
计算后通过 ArcGis软件插值生成的 1982 年以来各月度 1000 米分辨率地表太阳辐射栅格数据,单位为MJ。再进行与NDVI同样的投影裁剪操作,获得与土地利用行列数,投影,分辨率相同的影像。
1.2.4 降水数据处理
基于 Anusplin 软件插值生成的 1982 年以来各月度 1000 米分辨率降水栅格数据,插值过程中引入高程作为协变量,单位为mm。使用ARCGIS 10.6软件进行与NDVI同样的投影裁剪操作,获得与土地利用行列数,投影,分辨率相同的影像。
1.2.5 温度数据处理
基于 Anusplin 软件插值生成的 1982 年以来各月度 1000 米分辨率气温栅格数据,插值过程中引入高程作为协变量,单位为℃。使用ARCGIS 10.6软件进行与NDVI同样的投影裁剪操作,获得与土地利用行列数,投影,分辨率相同的影像。
1.2.6 NPP计算
CASA(Cainegie-Ames-Stanford Approach)模型计算公式如下:
NPP(x,t)=APAR(x,t)×ε(x,t)
其中,NPP(x,t)表示像元x在t月的净初级生产力(gC/m²);APAR(x,t)表示像元x在t月吸收的光合有效辐射(单位:gC·m-2·month -1);ε(x,t)表示单个像元x在t月的实际光能利用率(单位:gC·MJ -1 )。
APAR(x,t)= SOL(x,t) ×0.5 ×FPAR(x,t)
式中:SOL(x,t)是时间为t月象元x处的太阳总辐射量(单位:MJ۰m-2۰month -1 ), SOL(x,t)应用经验公式进行计算。0.5指的是植被所能利用的太阳有效辐射(波长是0.4~0.7μm)占太阳总辐射的比例;FPAR(x, t)为植被吸收光合有效辐射的吸收比例;FPAR与归一化植被指数(NDVI)、比值植被指数(SR)皆存在一定的线性关系。
植被吸收的光和有效辐射取决于太阳总辐射和植被本身特性,太阳总辐射可由大气上界太阳辐射量和日照百分率计算。
![]()
式中:SOL为陆表短波辐射,常被称为陆表太阳辐射(MJ·m-2·d-1);n为实际日照时数(单位:h),由气象资料提供;N为最大日照时数(单位:h);n/N为日照百分率,S0为大气外界辐射量(单位:MJ·m-2·d-1);an,bn表示晴天最大日照时数时到达地面的大气外界辐射分量,参考已有研究选取an=0.207;bn=0.725。

式中:dr为大气外界相对日地距离;Q0为太阳常数(取0.0820MJ·m-2·min-1);d为赤纬(单位:rad),Ws为太阳时角(单位:rad);j为纬度(单位:rad)。d,dr,Ws由下式计算:

式中:J为该年中所处的天数。
植被层对光合有效辐射的吸收比例(FPAR)主要受到地表植被覆盖类型和覆盖程度影响。其计算公式如下:
FPAR(x,t)=αFPARNDVI+(1-α)FPARSR
其中α = 0.5,

式中,FPARmin和FPARmax的取值与植被类型无关,分别为0.001和0.95;SR(i,max)和SR(i,min)分别对应第i种植被类型的NDVI值进行计算。
光能利用率主要受气温、水分状况的影响。计算公式如下:
ε(x,t)= T1(x,t)×T2(x,t)×Wε(x,t)×εmax
式中εmax表示最大光能利用率(gC·MJ-1);T1(x,t)和T2(x,t)表示低温和高温对光能利用率的胁迫作用;Wε(x,t)为水分胁迫影响系数。
T1(x,t) 反应在低温和高温时植物内在得生化作用对光合得限制而降低植被净初级生产力。
T1(x,t) = 0.8+0.002×Topt(x)-0.0005×[Topt(x)]2
式中,Topt(x)为植物生长的最适温度,定义为某一区域一年内NDVI达到最高时的当月平均气温(℃);当某一月平均温度小于或等于-10℃时,其值取0。
T2(x,t)表示环境温度从最适温度Topt(x)向高温或低温变化时植物光能利用率逐渐变小的趋势。
T2(x,t) = 1.184/{1+exp[0.2×(Topt(x)-10-T(x,t))]}
×1/{1+exp[0.3×(-Topt(x)-10+T(x,t))]
当某一月平均气温T(x,t)比最适温度Topt(x)高10℃或低13℃时,该月的T2(x,t)值等于月平均温度T(x,t)为最适温度Topt(x)时T2(x,t)值得一半。
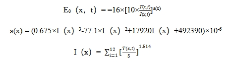
水分胁迫影响系数Wε(x,t)反映了植物所能利用得有效水分条件对光能利用率得影响,其值在极端干旱条件下为0.5,非常湿润条件下为1。计算公式如下:

其中,E0的计算公式如下:

式中,T(x,t)是月平均气温。
植被在没有任何限制性的理想条件下对光合有效辐射的利用率, 它是植被本身的一种生理属性, 其取值因不同的植被类型而有所不同。植被类型不同εmax值不同,参考朱文泉等的研究,对不同的土地利用类型的εmax进行赋值。见表1.
表1 不同土地利用类型最大光能利用率(εmax)
|
Vege_code |
土地利用类型 |
εmax |
|
1 |
常绿针叶林 |
0.389 |
|
2 |
常绿阔叶林 |
0.985 |
|
3 |
落叶针叶林 |
0.485 |
|
4 |
落叶阔叶林 |
0.692 |
|
5 |
混交林 |
0.475 |
|
6 |
郁闭灌丛 |
0.429 |
|
7 |
稀疏灌丛 |
0.429 |
|
8 |
木本热带稀树草原 |
0.542 |
|
9 |
热带稀树草原 |
0.542 |
|
10 |
草原 |
0.542 |
|
11 |
永久湿地 |
0.542 |
|
12 |
农用地 |
0.542 |
|
13 |
城市和建成区 |
0.542 |
|
14 |
农用地/自然植被 |
0.542 |
|
15 |
雪和冰 |
0.542 |
|
16 |
稀疏植被 |
0.542 |
|
17 |
水体 |
0.542 |
2 数据样本描述
本数据集包含了1982年至2024年共43年的1000米分辨率净初级生产力(NPP)数据,并按省份裁剪,分为34个省份,共1462个TIFF影像的压缩包,分别存放各省各年份的NPP数据。

图1 2024年7月1000米分辨率NPP

图2 2024年7月1000米分辨率NPP部分细节
3 数据质量控制和评估
本数据集(基于CASA模型模拟)的输入数据均经过严格的质量控制。所使用的NDVI遥感数据已完成了辐射定标、大气校正,并应用了去云和最大值合成处理,以消除噪声并确保植被信号的年度代表性。气象数据(温度、降水和太阳辐射)在空间插值前后均经过了异常值剔除和站点观测数据的一致性检查,以保证其空间格局和数值的物理合理性。所有输入数据在进入模型前,均进行了格式、时空分辨率和范围的统一与匹配检查,确保数据协调一致,为模型模拟提供了可靠的基础。
4 数据价值
本数据集基于CASA模型生产,提供了1982-2025年中国1000米分辨率的逐月净初级生产力(NPP)数据。其核心价值与创新性在于融合了多源遥感与气象数据,并采用先进的一致性校正算法,成功构建了长达43年、高时空一致性的超长时序产品,有效解决了不同卫星传感器接替导致的数据断点难题。相较于同类产品,本数据集兼具长时间跨度与高空间分辨率的独特优势,为精准评估全球变化背景下植被生产力的长期动态趋势、揭示碳循环对气候变化的响应机制提供了前所未有的数据基础。
参考文献
[1] 朱文泉, 潘耀忠, 张锦水. 中国陆地植被净初级生产力遥感估算. 植物生态学报, 2007, 31(3): 413-424. DOI: 10.17521/cjpe.2007.0050
[2] 朱文泉,潘耀忠,何浩,等。中国典型植被最大光利用率模拟 (J/OL). 科学通报, 2006, 51 (6):700-706.2006-03-30.2025-09-17. https://www.sciengine.com/doi/10.1360/972005-555.
[3] 朱文泉, 陈云浩, 徐丹, 李京. 陆地植被净初级生产力计算模型研究进展[J]. 生态学杂志, 2005, (3): 296-300.
[4] 李传华,曹红娟,范也平,韩海燕,孙皓,王玉涛.基于校正的CASA模型NPP遥感估算及分析——以河西走廊为例.生态学报,2019,39(5):1616~1626
[5] 朱文泉,潘耀忠,龙中华,陈云浩,李京,扈海波.基于GIS和RS的区域陆地植被NPP估算——以中国内蒙古为例[J].遥感学报,2005(03):300-307. DOI: 10.11834/jrs.20050344.
获取数据搜索地球资源数据云或关注公众号。
AtomGit 是由开放原子开源基金会联合 CSDN 等生态伙伴共同推出的新一代开源与人工智能协作平台。平台坚持“开放、中立、公益”的理念,把代码托管、模型共享、数据集托管、智能体开发体验和算力服务整合在一起,为开发者提供从开发、训练到部署的一站式体验。
更多推荐



所有评论(0)