强度仿真-主题090-高温结构强度与蠕变
主题090:高温结构强度与蠕变
摘要
高温结构在航空航天、能源动力、化工等领域具有广泛应用,其强度设计和寿命评估面临蠕变、松弛、蠕变-疲劳交互等复杂问题。本主题系统阐述高温材料力学行为的基本理论和工程分析方法,重点介绍蠕变本构模型、蠕变损伤演化、应力松弛机理以及高温结构的寿命预测方法。详细讲解稳态蠕变、瞬态蠕变和加速蠕变三个阶段的特征与建模,分析温度、应力、材料微观结构对蠕变行为的影响规律。基于Python实现多种蠕变本构模型(Norton律、Garofalo律、Kachanov损伤模型等)的数值仿真,通过5个典型案例展示高温部件的蠕变分析、蠕变-疲劳寿命预测、应力松弛计算以及高温结构的完整性评估。本主题对于燃气轮机、核电设备、化工装置等高温装备的设计和安全评估具有重要的工程指导意义。
关键词
高温强度, 蠕变, 应力松弛, 蠕变损伤, 寿命预测, 本构模型, 高温合金, 持久强度
1. 引言
1.1 高温结构工程背景
现代工业技术的发展对材料在高温环境下的力学性能提出了越来越高的要求。从航空发动机涡轮叶片到核电站蒸汽管道,从化工反应器到火力发电锅炉,这些关键装备的核心部件都在高温条件下长期服役。
典型高温应用场景:
- 航空发动机:涡轮进口温度已达1700°C以上,涡轮叶片承受高温燃气冲刷和离心载荷的复合作用
- 燃气轮机:燃烧室温度超过1400°C,热端部件需要承受热应力和机械应力的耦合
- 核电站:蒸汽发生器传热管和反应堆压力容器在300-350°C高温高压水环境中工作
- 石化装置:加氢反应器、裂解炉管等设备在400-600°C高温和腐蚀环境中服役
- 火力发电:超超临界机组蒸汽温度达600-620°C,对材料的高温强度提出极高要求
这些高温结构的共同特点是:在持续载荷和高温的联合作用下,材料会发生蠕变变形,导致构件尺寸变化、应力重新分布,最终可能因蠕变断裂或蠕变-疲劳交互作用而失效。
1.2 蠕变现象及其工程意义
蠕变的定义:蠕变是指材料在恒定应力和恒定温度(通常高于材料熔点的0.3-0.5倍)作用下,随时间延续而发生的缓慢塑性变形现象。
蠕变现象最早在19世纪末被工程技术人员发现。当时蒸汽机车的锅炉管道在高温蒸汽压力下发生逐渐伸长,导致连接处泄漏。系统的蠕变研究始于20世纪初,随着高温工业装备的发展,蠕变已成为材料力学和工程设计中的重要研究领域。
蠕变对工程结构的影响:
-
尺寸稳定性问题:蠕变变形导致构件尺寸超差,影响设备正常运行
- 汽轮机叶片伸长可能碰磨机匣
- 高温管道蠕变下垂影响支吊架安全
- 螺栓蠕变伸长导致预紧力下降
-
应力松弛问题:高温紧固件因蠕变而发生应力松弛,导致密封失效
- 法兰螺栓预紧力下降导致泄漏
- 汽缸结合面螺栓松弛影响密封性
- 高温弹簧松弛失去弹性功能
-
蠕变断裂问题:长期蠕变导致材料内部损伤累积,最终发生断裂
- 高温管道焊缝蠕变开裂
- 涡轮叶片蠕变断裂
- 加热炉管蠕变爆破
-
蠕变-疲劳交互问题:循环载荷与蠕变的联合作用加速损伤
- 燃气轮机叶片热机械疲劳
- 核电站管道热疲劳-蠕变交互
- 化工设备开停车过程损伤
1.3 高温材料的发展
为满足日益苛刻的高温服役条件,材料科学家开发了多种高温合金:
铁基高温合金:
- 奥氏体耐热钢(如TP304H、TP347H):使用温度可达650°C
- 马氏体耐热钢(如T91、T92):用于蒸汽管道和锅炉管
- 沉淀硬化不锈钢:通过析出强化提高高温强度
镍基高温合金:
- 变形高温合金(如Inconel 718、Waspaloy):用于航空发动机盘件和紧固件
- 铸造高温合金(如Mar-M247、CMSX-4):用于航空发动机涡轮叶片
- 定向凝固和单晶高温合金:消除晶界,提高蠕变抗力
钴基高温合金:
- 优异的抗热腐蚀性能
- 用于燃气轮机燃烧室和导向叶片
难熔金属:
- 钼、钨、铌及其合金:用于超高温部件
- 使用温度可达1500°C以上
陶瓷基复合材料:
- 碳化硅纤维增强碳化硅基体(SiC/SiC):用于先进航空发动机热端部件
- 使用温度可达1200°C以上,密度仅为镍基合金的1/3
1.4 本主题内容安排
本主题将系统讲解高温结构强度与蠕变的理论和应用,主要内容包括:
第2节介绍蠕变的基本现象和物理机理,分析蠕变曲线的三个阶段特征
第3节详细阐述蠕变本构模型,包括经验模型、物理模型和损伤力学模型
第4节讨论应力松弛理论及其在紧固件设计中的应用
第5节介绍蠕变-疲劳交互作用机理和寿命预测方法
第6节讲解高温结构的完整性评估方法和寿命管理策略
第7节通过Python实现蠕变仿真分析,包括5个典型案例
第8节总结高温结构强度设计的关键要点和发展趋势
2. 蠕变基本理论与物理机理
2.1 蠕变曲线特征
典型的蠕变曲线描述了在恒定应力和恒定温度下,材料应变随时间的变化规律。根据应变速率的变化,蠕变曲线可分为三个阶段:
2.1.1 第一阶段:瞬态蠕变(减速蠕变)
特征:应变速率随时间逐渐减小,曲线呈下凹形状
持续时间:通常占总寿命的10-30%
微观机理:
- 位错密度快速增加,形成位错缠结和胞状结构
- 加工硬化效应占主导地位
- 位错运动受阻,需要更大的应力才能继续滑移
数学描述:
蠕变应变与时间的关系可用对数律或指数律描述:
εc=ε0+βt1/3(对数律) \varepsilon_c = \varepsilon_0 + \beta t^{1/3} \quad \text{(对数律)} εc=ε0+βt1/3(对数律)
或
εc=ε0+A[1−exp(−Bt)](指数律) \varepsilon_c = \varepsilon_0 + A[1 - \exp(-Bt)] \quad \text{(指数律)} εc=ε0+A[1−exp(−Bt)](指数律)
其中,ε0\varepsilon_0ε0是初始弹性应变,β\betaβ、AAA、BBB是材料常数。
2.1.2 第二阶段:稳态蠕变(恒速蠕变)
特征:应变速率基本保持恒定,曲线近似为直线
持续时间:占总寿命的主要部分(40-60%)
微观机理:
- 加工硬化与回复软化达到动态平衡
- 位错密度趋于稳定
- 位错通过攀移克服障碍,实现持续滑移
工程意义:
稳态蠕变速率是工程设计中最关键的参数,它决定了构件的长期变形量和剩余寿命。
数学描述:
ε˙ss=常数 \dot{\varepsilon}_{ss} = \text{常数} ε˙ss=常数
稳态蠕变速率与应力、温度之间满足特定的本构关系(见第3节)。
2.1.3 第三阶段:加速蠕变(失稳蠕变)
特征:应变速率随时间急剧增大,曲线呈上凸形状,直至断裂
持续时间:通常占总寿命的10-30%
微观机理:
- 内部损伤累积:微孔洞形核、长大和聚合
- 有效承载面积减小,真实应力增大
- 颈缩形成,局部变形集中
损伤类型:
- 晶界孔洞:沿晶界形成的楔形或圆形孔洞
- 微裂纹:孔洞聚合形成宏观裂纹
- 颈缩:局部塑性变形导致截面收缩
数学描述:
可用损伤力学模型描述(见第3.4节):
ε˙=ε˙ss⋅1(1−D)n \dot{\varepsilon} = \dot{\varepsilon}_{ss} \cdot \frac{1}{(1-D)^n} ε˙=ε˙ss⋅(1−D)n1
其中,DDD是损伤变量,nnn是材料常数。
2.2 蠕变变形机理
2.2.1 位错蠕变(Dislocation Creep)
位错蠕变是金属材料在高温下的主要变形机理,包括位错滑移和位错攀移两种机制。
位错滑移:
- 位错在滑移面上运动,产生剪切变形
- 需要克服障碍(晶界、析出相、其他位错)
- 低温下占主导,高温下仍发挥作用
位错攀移:
- 刃型位错垂直于滑移面运动
- 通过吸收或发射空位实现
- 是高温蠕变的关键机制,使位错能够绕过障碍
本构关系:
位错蠕变速率与应力的关系通常用幂律描述:
ε˙d=Adσnexp(−QdRT) \dot{\varepsilon}_d = A_d \sigma^n \exp\left(-\frac{Q_d}{RT}\right) ε˙d=Adσnexp(−RTQd)
其中:
- AdA_dAd:材料常数
- nnn:应力指数(通常为3-8)
- QdQ_dQd:位错蠕变激活能(接近自扩散激活能)
- RRR:气体常数
- TTT:绝对温度
2.2.2 扩散蠕变(Diffusion Creep)
在低应力、高温度条件下,扩散蠕变成为主要变形机制。根据扩散路径的不同,分为Nabarro-Herring蠕变和Coble蠕变。
Nabarro-Herring蠕变(晶格扩散蠕变):
- 空位通过晶格扩散
- 应变速率与晶粒尺寸的平方成反比
- 激活能等于晶格自扩散激活能
ε˙NH=ANHσd2exp(−QNHRT) \dot{\varepsilon}_{NH} = A_{NH} \frac{\sigma}{d^2} \exp\left(-\frac{Q_{NH}}{RT}\right) ε˙NH=ANHd2σexp(−RTQNH)
其中,ddd是晶粒尺寸。
Coble蠕变(晶界扩散蠕变):
- 空位沿晶界扩散
- 应变速率与晶粒尺寸的三次方成反比
- 激活能等于晶界扩散激活能(低于晶格扩散)
ε˙C=ACσd3exp(−QCRT) \dot{\varepsilon}_{C} = A_{C} \frac{\sigma}{d^3} \exp\left(-\frac{Q_{C}}{RT}\right) ε˙C=ACd3σexp(−RTQC)
扩散蠕变图:
在应力-温度坐标系中,可以绘制不同蠕变机制的主导区域图,指导材料设计和工艺优化。
2.2.3 晶界滑动(Grain Boundary Sliding)
晶界滑动是多晶体材料在高温下的重要变形机制,特别是在细晶材料中。
机理:
- 相邻晶粒沿晶界相对滑动
- 需要位错运动或扩散来协调
- 在晶界处产生应力集中,促进孔洞形核
影响因素:
- 晶粒尺寸:细晶材料晶界滑动更明显
- 温度:高温促进晶界扩散和滑动
- 应变速率:低应变速率有利于晶界滑动
与蠕变断裂的关系:
晶界滑动是沿晶蠕变断裂的主要驱动力,在晶界三角交界处产生应力集中,导致孔洞形核。
2.3 影响蠕变行为的因素
2.3.1 温度的影响
温度是影响蠕变速率的最重要因素之一。根据Arrhenius关系,蠕变速率随温度呈指数增长:
ε˙∝exp(−QRT) \dot{\varepsilon} \propto \exp\left(-\frac{Q}{RT}\right) ε˙∝exp(−RTQ)
温度对蠕变各阶段的影响:
- 第一阶段:温度升高,加工硬化速率降低,第一阶段缩短
- 第二阶段:稳态蠕变速率随温度指数增加
- 第三阶段:温度升高,损伤累积加速,断裂寿命缩短
** Larson-Miller参数**:
用于外推不同温度下的蠕变寿命数据:
P=T(logtr+C) P = T(\log t_r + C) P=T(logtr+C)
其中,trt_rtr是断裂时间,CCC是材料常数(通常为20左右)。
2.3.2 应力的影响
应力对蠕变速率的影响通常用幂律或双曲正弦函数描述。
低应力区(扩散蠕变主导):
应变速率与应力呈线性关系:
ε˙∝σ \dot{\varepsilon} \propto \sigma ε˙∝σ
中等应力区(位错蠕变主导):
应变速率与应力的幂次成正比:
ε˙∝σn \dot{\varepsilon} \propto \sigma^n ε˙∝σn
应力指数nnn通常为3-8,反映位错克服障碍的能力。
高应力区(幂律失效):
应变速率增长更快,可用指数函数或双曲正弦函数描述:
ε˙∝sinh(ασ)n \dot{\varepsilon} \propto \sinh(\alpha\sigma)^n ε˙∝sinh(ασ)n
2.3.3 微观结构的影响
晶粒尺寸:
- 细晶材料:晶界面积多,扩散蠕变和晶界滑动显著,但蠕变断裂抗力较低
- 粗晶材料:位错蠕变主导,蠕变抗力较高
- 存在一个最优晶粒尺寸,使蠕变抗力最大
析出相:
- 弥散分布的细小析出相(如γ′\gamma'γ′相)能有效阻碍位错运动
- 析出相的稳定性至关重要,粗化或溶解会降低强化效果
- 镍基高温合金中的γ/γ′\gamma/\gamma'γ/γ′共格组织提供优异的蠕变抗力
固溶强化:
- 溶质原子与位错相互作用,阻碍位错运动
- 钼、钨等高熔点元素是有效的固溶强化元素
晶界强化:
- 晶界碳化物(如M23C6M_{23}C_6M23C6、M6CM_6CM6C)钉扎晶界,抑制晶界滑动
- 硼元素偏聚于晶界,提高晶界结合强度
- 定向凝固和单晶技术消除横向晶界,显著提高蠕变寿命
3. 蠕变本构模型
3.1 经验本构模型
3.1.1 Norton律(幂律蠕变)
Norton律是最经典、应用最广泛的稳态蠕变本构模型,描述了稳态蠕变速率与应力的幂律关系:
ε˙ss=Aσnexp(−QRT) \dot{\varepsilon}_{ss} = A \sigma^n \exp\left(-\frac{Q}{RT}\right) ε˙ss=Aσnexp(−RTQ)
或简化为:
ε˙ss=Bσn \dot{\varepsilon}_{ss} = B \sigma^n ε˙ss=Bσn
其中,B=Aexp(−Q/RT)B = A \exp(-Q/RT)B=Aexp(−Q/RT)在给定温度下为常数。
参数确定:
通过不同应力水平下的蠕变试验,测量稳态蠕变速率,然后用最小二乘法拟合:
logε˙ss=logB+nlogσ \log \dot{\varepsilon}_{ss} = \log B + n \log \sigma logε˙ss=logB+nlogσ
在对数坐标中,稳态蠕变速率与应力呈线性关系,斜率为应力指数nnn。
适用范围:
- 适用于中等应力范围(通常σ/E<10−3\sigma/E < 10^{-3}σ/E<10−3)
- 不适用于极低应力(扩散蠕变区)和极高应力(幂律失效区)
- 仅描述稳态蠕变,不考虑瞬态和损伤
典型材料的Norton参数:
| 材料 | 温度(°C) | AAA (MPa−n^{-n}−n/h) | nnn | QQQ (kJ/mol) |
|---|---|---|---|---|
| 304不锈钢 | 600 | 1.2×10−28^{-28}−28 | 5.2 | 280 |
| Inconel 718 | 650 | 3.5×10−25^{-25}−25 | 6.8 | 620 |
| T91钢 | 600 | 8.7×10−30^{-30}−30 | 4.5 | 480 |
3.1.2 Garofalo律(双曲正弦律)
Garofalo律是Norton律的扩展形式,能够描述更宽应力范围内的蠕变行为:
ε˙ss=A[sinh(ασ)]nexp(−QRT) \dot{\varepsilon}_{ss} = A [\sinh(\alpha\sigma)]^n \exp\left(-\frac{Q}{RT}\right) ε˙ss=A[sinh(ασ)]nexp(−RTQ)
特点:
- 低应力时:sinh(ασ)≈ασ\sinh(\alpha\sigma) \approx \alpha\sigmasinh(ασ)≈ασ,退化为线性关系
- 高应力时:sinh(ασ)≈12exp(ασ)\sinh(\alpha\sigma) \approx \frac{1}{2}\exp(\alpha\sigma)sinh(ασ)≈21exp(ασ),呈指数关系
- 能够平滑过渡从扩散蠕变到位错蠕变的行为
物理意义:
α\alphaα与材料对热激活过程的敏感性有关,α=γ/(EΩ)\alpha = \gamma/(E\Omega)α=γ/(EΩ),其中γ\gammaγ是几何因子,EEE是弹性模量,Ω\OmegaΩ是激活体积。
3.1.3 时间硬化与应变硬化模型
为描述瞬态蠕变阶段,发展了时间硬化和应变硬化模型。
时间硬化模型:
假设蠕变速率仅与应力和时间有关:
ε˙=f(σ,t) \dot{\varepsilon} = f(\sigma, t) ε˙=f(σ,t)
当应力发生阶跃变化时,蠕变速率根据新应力水平对应的时间点确定。
应变硬化模型:
假设蠕变速率仅与应力和累积应变有关:
ε˙=g(σ,εc) \dot{\varepsilon} = g(\sigma, \varepsilon_c) ε˙=g(σ,εc)
当应力发生阶跃变化时,蠕变速率根据新应力水平对应的等效应变确定。
比较:
- 时间硬化模型:适用于应力增加的情况,预测偏保守
- 应变硬化模型:更符合物理实际,应用更广泛
- 两种模型在单调加载下预测结果相近,在变载条件下差异显著
3.2 物理本构模型
3.2.1 基于位错密度的模型
从位错运动的物理机理出发,建立蠕变本构关系。
基本假设:
- 蠕变速率与可动位错密度和平均位错速度成正比
- 位错密度随应变增加而增加(加工硬化)
- 位错通过热激活过程克服障碍
模型形式:
ε˙=ρmbvˉ \dot{\varepsilon} = \rho_m b \bar{v} ε˙=ρmbvˉ
其中,ρm\rho_mρm是可动位错密度,bbb是Burgers矢量,vˉ\bar{v}vˉ是平均位错速度。
位错演化方程:
dρdε=k1ρ−k2ρ \frac{d\rho}{d\varepsilon} = k_1 \sqrt{\rho} - k_2 \rho dεdρ=k1ρ−k2ρ
第一项表示位错增殖,第二项表示位错湮灭(动态回复)。
稳态条件:
当dρ/dε=0d\rho/d\varepsilon = 0dρ/dε=0时,达到稳态位错密度:
ρss=(k1/k2)2 \rho_{ss} = (k_1/k_2)^2 ρss=(k1/k2)2
对应的稳态蠕变速率:
ε˙ss∝σn \dot{\varepsilon}_{ss} \propto \sigma^n ε˙ss∝σn
应力指数nnn与位错障碍类型有关:
- 林位错障碍:n≈3n \approx 3n≈3
- 析出相障碍:n≈4−6n \approx 4-6n≈4−6
- 固溶原子障碍:n≈5−8n \approx 5-8n≈5−8
3.2.2 基于热激活的模型
将蠕变视为热激活过程,用Arrhenius方程描述:
ε˙=ε˙0exp(−ΔGkBT) \dot{\varepsilon} = \dot{\varepsilon}_0 \exp\left(-\frac{\Delta G}{k_B T}\right) ε˙=ε˙0exp(−kBTΔG)
其中,ΔG\Delta GΔG是激活自由能,与外加应力有关:
ΔG=ΔG0−V∗σ \Delta G = \Delta G_0 - V^* \sigma ΔG=ΔG0−V∗σ
ΔG0\Delta G_0ΔG0是零应力时的激活能,V∗V^*V∗是激活体积。
应力依赖性:
ε˙=ε˙0exp(−ΔG0kBT)exp(V∗σkBT) \dot{\varepsilon} = \dot{\varepsilon}_0 \exp\left(-\frac{\Delta G_0}{k_B T}\right) \exp\left(\frac{V^* \sigma}{k_B T}\right) ε˙=ε˙0exp(−kBTΔG0)exp(kBTV∗σ)
在低应力时退化为指数关系,在高应力时需要修正。
3.3 统一粘塑性模型
统一粘塑性模型(Unified Viscoplasticity Models)将塑性和蠕变统一在一个框架内,能够描述从瞬态到稳态、从室温到高温的完整力学行为。
3.3.1 Bodner-Partom模型
Bodner-Partom模型是一个经典的统一粘塑性模型,不需要显式的屈服面。
基本方程:
流动法则:
ε˙ijvp=32ε˙eqvpσeqsij \dot{\varepsilon}_{ij}^{vp} = \frac{3}{2} \frac{\dot{\varepsilon}_{eq}^{vp}}{\sigma_{eq}} s_{ij} ε˙ijvp=23σeqε˙eqvpsij
等效粘塑性应变率:
ε˙eqvp=D0exp[−12(Zσeq)2n] \dot{\varepsilon}_{eq}^{vp} = D_0 \exp\left[-\frac{1}{2}\left(\frac{Z}{\sigma_{eq}}\right)^{2n}\right] ε˙eqvp=D0exp[−21(σeqZ)2n]
内变量演化(各向同性硬化):
Z˙=m(Z1−Z)W˙p−AZ1(Z−Z0Z1)r1 \dot{Z} = m(Z_1 - Z) \dot{W}_p - A Z_1 \left(\frac{Z - Z_0}{Z_1}\right)^{r_1} Z˙=m(Z1−Z)W˙p−AZ1(Z1Z−Z0)r1
其中:
- ZZZ:内变量,代表材料的抗力
- Z0Z_0Z0:初始抗力
- Z1Z_1Z1:饱和抗力
- D0D_0D0、nnn、mmm、AAA、r1r_1r1:材料常数
- W˙p\dot{W}_pW˙p:塑性功功率
特点:
- 自动处理加载和卸载
- 描述加工硬化和回复软化
- 适用于宽温度范围
3.3.2 Chaboche模型
Chaboche模型是另一个广泛应用的统一粘塑性模型,基于过应力概念。
基本方程:
粘塑性流动:
ε˙ijvp=⟨σeq−R−σyK⟩n32sijσeq \dot{\varepsilon}_{ij}^{vp} = \left\langle \frac{\sigma_{eq} - R - \sigma_y}{K} \right\rangle^n \frac{3}{2} \frac{s_{ij}}{\sigma_{eq}} ε˙ijvp=⟨Kσeq−R−σy⟩n23σeqsij
其中,⟨⋅⟩\langle \cdot \rangle⟨⋅⟩是Macauley括号,RRR是各向同性硬化变量,σy\sigma_yσy是屈服应力。
各向同性硬化演化:
R˙=b(Q−R)p˙ \dot{R} = b(Q - R) \dot{p} R˙=b(Q−R)p˙
随动硬化演化(背应力):
α˙ij=23Cε˙ijvp−γαijp˙ \dot{\alpha}_{ij} = \frac{2}{3} C \dot{\varepsilon}_{ij}^{vp} - \gamma \alpha_{ij} \dot{p} α˙ij=32Cε˙ijvp−γαijp˙
其中,p˙=23ε˙ijvpε˙ijvp\dot{p} = \sqrt{\frac{2}{3} \dot{\varepsilon}_{ij}^{vp} \dot{\varepsilon}_{ij}^{vp}}p˙=32ε˙ijvpε˙ijvp是累积粘塑性应变率。
特点:
- 可以叠加多个背应力分量,描述复杂的循环行为
- 广泛用于疲劳-蠕变交互分析
- 参数较多,需要系统标定
3.4 蠕变损伤模型
3.4.1 Kachanov-Rabotnov模型
Kachanov(1958)和Rabotnov(1963)提出的连续损伤力学模型是蠕变损伤分析的基础。
损伤变量定义:
D=A−AeffA D = \frac{A - A_{eff}}{A} D=AA−Aeff
其中,AAA是原始截面积,AeffA_{eff}Aeff是有效承载面积。
有效应力概念:
σ~=σ1−D \tilde{\sigma} = \frac{\sigma}{1-D} σ~=1−Dσ
本构方程:
应变率方程:
ε˙=ε˙0(σ1−D)n \dot{\varepsilon} = \dot{\varepsilon}_0 \left(\frac{\sigma}{1-D}\right)^n ε˙=ε˙0(1−Dσ)n
损伤演化方程:
D˙=A(1−D)ϕσχ \dot{D} = \frac{A}{(1-D)^{\phi}} \sigma^{\chi} D˙=(1−D)ϕAσχ
其中,ε˙0\dot{\varepsilon}_0ε˙0、nnn、AAA、ϕ\phiϕ、χ\chiχ是材料常数。
断裂准则:
当D=DcD = D_cD=Dc(通常取0.3-0.99)时,材料断裂。
积分求解:
在恒定应力条件下,可以积分得到断裂时间:
tr=1A(1+ϕ)σχ t_r = \frac{1}{A(1+\phi)\sigma^{\chi}} tr=A(1+ϕ)σχ1
3.4.2 Liu-Murakami模型
Liu-Murakami模型考虑了损伤对蠕变应变率的影响,改进了Kachanov模型。
本构方程:
ε˙=ε˙0exp[n(σ1−D)] \dot{\varepsilon} = \dot{\varepsilon}_0 \exp\left[n\left(\frac{\sigma}{1-D}\right)\right] ε˙=ε˙0exp[n(1−Dσ)]
损伤演化方程:
D˙=A(σ1−D)χ(1−D)ϕ \dot{D} = A \left(\frac{\sigma}{1-D}\right)^{\chi} (1-D)^{\phi} D˙=A(1−Dσ)χ(1−D)ϕ
特点:
- 能够描述第三阶段的加速蠕变
- 考虑了损伤对材料刚度的影响
- 适用于复杂应力状态
3.4.3 多轴蠕变损伤模型
实际工程结构往往处于多轴应力状态,需要发展多轴蠕变损伤模型。
等效应力概念:
von Mises等效应力(用于变形):
σeq=32sijsij \sigma_{eq} = \sqrt{\frac{3}{2} s_{ij} s_{ij}} σeq=23sijsij
最大主应力(用于损伤):
σ1=max(σI,σII,σIII) \sigma_1 = \max(\sigma_I, \sigma_{II}, \sigma_{III}) σ1=max(σI,σII,σIII)
Huddleston模型:
D˙=A[ασeq+(1−α)σ1]χ \dot{D} = A \left[\alpha\sigma_{eq} + (1-\alpha)\sigma_1\right]^{\chi} D˙=A[ασeq+(1−α)σ1]χ
其中,α\alphaα是材料常数(0-1之间),反映剪切和拉伸对损伤的贡献。
Hayhurst模型:
D˙=A(σeq1−D)νσ1μ \dot{D} = A \left(\frac{\sigma_{eq}}{1-D}\right)^{\nu} \sigma_1^{\mu} D˙=A(1−Dσeq)νσ1μ
其中,ν\nuν和μ\muμ是材料常数。
4. 应力松弛理论
4.1 应力松弛现象
定义:应力松弛是指在恒定应变和恒定温度条件下,材料内部应力随时间逐渐减小的现象。
与蠕变的区别:
- 蠕变:恒定应力,应变随时间增加
- 应力松弛:恒定应变,应力随时间减小
工程实例:
- 高温法兰螺栓预紧力下降
- 汽轮机汽缸结合面螺栓松弛
- 高温弹簧弹性衰减
- 钢丝绳张紧力下降
4.2 应力松弛机理
应力松弛本质上是蠕变的一种表现形式。当构件被强制保持在恒定应变时,弹性应变逐渐转化为蠕变应变,导致应力下降。
应变分解:
εtotal=εe+εc=常数 \varepsilon_{total} = \varepsilon_e + \varepsilon_c = \text{常数} εtotal=εe+εc=常数
其中,εe=σ/E\varepsilon_e = \sigma/Eεe=σ/E是弹性应变,εc\varepsilon_cεc是蠕变应变。
应力松弛方程:
对时间求导:
ε˙e+ε˙c=0 \dot{\varepsilon}_e + \dot{\varepsilon}_c = 0 ε˙e+ε˙c=0
即:
σ˙E+ε˙c=0 \frac{\dot{\sigma}}{E} + \dot{\varepsilon}_c = 0 Eσ˙+ε˙c=0
因此:
σ˙=−Eε˙c \dot{\sigma} = -E \dot{\varepsilon}_c σ˙=−Eε˙c
4.3 应力松弛分析
4.3.1 基于Norton律的解析解
假设蠕变速率服从Norton律:
ε˙c=Bσn \dot{\varepsilon}_c = B \sigma^n ε˙c=Bσn
代入松弛方程:
dσdt=−EBσn \frac{d\sigma}{dt} = -E B \sigma^n dtdσ=−EBσn
积分得:
σ(t)=σ0[1+(n−1)EBσ0n−1t]−1n−1 \sigma(t) = \sigma_0 \left[1 + (n-1)E B \sigma_0^{n-1} t\right]^{-\frac{1}{n-1}} σ(t)=σ0[1+(n−1)EBσ0n−1t]−n−11
其中,σ0\sigma_0σ0是初始应力。
稳态松弛:
当t→∞t \to \inftyt→∞时,应力趋于一个非零渐近值(对于n>1n > 1n>1)。
松弛率:
dσdt=−EBσn\frac{d\sigma}{dt} = -E B \sigma^ndtdσ=−EBσn
初始松弛率最大,随应力降低而减小。
4.3.2 剩余应力计算
工程上常用剩余应力比来评估松弛程度:
η=σ(t)σ0×100%\eta = \frac{\sigma(t)}{\sigma_0} \times 100\% η=σ0σ(t)×100%
经验公式:
对于螺栓连接,剩余应力比可用经验公式估算:
η=1−klog(t/t0)\eta = 1 - k \log(t/t_0) η=1−klog(t/t0)
其中,kkk是材料常数,t0t_0t0是参考时间。
4.4 螺栓预紧力设计
4.4.1 初始预紧力确定
考虑应力松弛后的剩余预紧力应满足密封要求:
Fremain=F0⋅η≥FrequiredF_{remain} = F_0 \cdot \eta \geq F_{required} Fremain=F0⋅η≥Frequired
因此,初始预紧力:
F0≥FrequiredηF_0 \geq \frac{F_{required}}{\eta} F0≥ηFrequired
设计步骤:
- 确定工作条件下的最小密封力FrequiredF_{required}Frequired
- 根据材料和工作温度,确定规定时间后的剩余应力比η\etaη
- 计算所需初始预紧力F0F_0F0
- 校核螺栓强度:σ0=F0/As≤0.8σy\sigma_0 = F_0/A_s \leq 0.8\sigma_yσ0=F0/As≤0.8σy
4.4.2 松弛补偿措施
材料选择:
- 选用抗松弛性能好的材料(如Inconel 718、A286等沉淀硬化合金)
- 避免使用奥氏体不锈钢(松弛倾向大)
设计措施:
- 增大螺栓柔度(减小刚度),降低应力变化幅度
- 采用碟形弹簧垫圈,提供弹性补偿
- 定期重新拧紧
工艺措施:
- 控制拧紧工艺,确保初始预紧力稳定
- 采用防松措施(如尼龙锁紧螺母、螺纹锁固剂)
5. 蠕变-疲劳交互作用
5.1 交互作用机理
在高温循环载荷条件下,蠕变和疲劳损伤相互促进,导致寿命显著低于纯疲劳或纯蠕变寿命的简单叠加。
时间相关疲劳:
- 循环载荷的峰值保持时间允许蠕变变形发生
- 蠕变损伤在峰值应力期间累积
- 频率效应显著:频率越低,蠕变贡献越大
蠕变-疲劳交互机制:
- 循环软化:疲劳导致材料软化,促进蠕变变形
- 氧化作用:循环加载加速表面氧化,促进裂纹萌生
- 晶界损伤:疲劳和蠕变都在晶界产生损伤,相互促进
- 环境交互:高温环境(氧化、腐蚀)加速两种损伤
5.2 寿命预测模型
5.2.1 线性累积损伤法则
最简单的交互作用模型是线性累积损伤法则(Miner-Palmgren法则的扩展):
NNf+ttr=1\frac{N}{N_f} + \frac{t}{t_r} = 1 NfN+trt=1
其中:
- NNN:实际循环次数
- NfN_fNf:纯疲劳寿命
- ttt:实际蠕变时间
- trt_rtr:纯蠕变断裂时间
局限性:
- 忽略了交互作用的非线性
- 未考虑载荷顺序效应
- 预测结果通常偏危险(实际寿命更短)
5.2.2 频率修正模型
考虑载荷频率对疲劳寿命的影响:
Nf=Nf0⋅fk−1N_f = N_{f0} \cdot f^{k-1} Nf=Nf0⋅fk−1
其中,Nf0N_{f0}Nf0是高频(无蠕变效应)疲劳寿命,fff是频率,kkk是材料常数。
5.2.3 应变范围分区法
将总应变范围分为弹性、塑性和蠕变分量,分别计算损伤:
Δεt=Δεe+Δεp+Δεc\Delta\varepsilon_t = \Delta\varepsilon_e + \Delta\varepsilon_p + \Delta\varepsilon_c Δεt=Δεe+Δεp+Δεc
损伤计算:
D=Df+Dc=NNf(Δεp)+N⋅thtr(σh)D = D_f + D_c = \frac{N}{N_f(\Delta\varepsilon_p)} + \frac{N \cdot t_h}{t_r(\sigma_h)} D=Df+Dc=Nf(Δεp)N+tr(σh)N⋅th
其中,tht_hth是峰值保持时间,σh\sigma_hσh是峰值应力。
5.2.4 连续损伤力学模型
基于Kachanov-Rabotnov损伤理论,同时考虑疲劳和蠕变损伤:
疲劳损伤演化:
dDfdN=(1−(1−D)β+1)α[ΔσM(1−D)]β\frac{dD_f}{dN} = \left(1 - (1-D)^{\beta+1}\right)^{\alpha} \left[\frac{\Delta\sigma}{M(1-D)}\right]^{\beta} dNdDf=(1−(1−D)β+1)α[M(1−D)Δσ]β
蠕变损伤演化:
dDcdt=A[σ1−D]χ\frac{dD_c}{dt} = A \left[\frac{\sigma}{1-D}\right]^{\chi} dtdDc=A[1−Dσ]χ
总损伤:
D=Df+DcD = D_f + D_c D=Df+Dc
断裂准则:D=DcD = D_cD=Dc
5.3 热机械疲劳
热机械疲劳(TMF)是指构件在机械载荷和温度循环同时作用下的疲劳问题,是航空发动机、燃气轮机等热端部件的关键失效模式。
同相TMF(IP):
- 最大机械应变与最高温度同时出现
- 蠕变损伤显著
- 通常比反相TMF寿命更短
反相TMF(OP):
- 最大机械应变与最低温度同时出现
- 氧化损伤显著
- 高温时压缩,低温时拉伸,表面氧化层开裂
TMF寿命预测:
Δεin−phase=Δεmech+αΔT\Delta\varepsilon_{in-phase} = \Delta\varepsilon_{mech} + \alpha \Delta T Δεin−phase=Δεmech+αΔT
Δεout−of−phase=Δεmech−αΔT\Delta\varepsilon_{out-of-phase} = \Delta\varepsilon_{mech} - \alpha \Delta T Δεout−of−phase=Δεmech−αΔT
其中,α\alphaα是热膨胀系数,ΔT\Delta TΔT是温度范围。
6. 高温结构完整性评估
6.1 设计准则
6.1.1 弹性设计准则
对于高温短时载荷,采用弹性设计:
σeq≤[σ]=σ0.2Tns\sigma_{eq} \leq [\sigma] = \frac{\sigma_{0.2}^T}{n_s} σeq≤[σ]=nsσ0.2T
其中,σ0.2T\sigma_{0.2}^Tσ0.2T是温度TTT时的屈服强度,nsn_sns是安全系数(通常1.5-2.0)。
6.1.2 蠕变设计准则
对于长期高温载荷,采用蠕变设计:
应力准则:
σeq≤[σ]c=σ105Tnc\sigma_{eq} \leq [\sigma]_c = \frac{\sigma_{10^5}^T}{n_c} σeq≤[σ]c=ncσ105T
其中,σ105T\sigma_{10^5}^Tσ105T是10510^5105小时产生1%蠕变应变的应力,ncn_cnc是蠕变安全系数(通常1.0-1.5)。
应变准则:
εc(t)≤[εc]=1%\varepsilon_c(t) \leq [\varepsilon_c] = 1\% εc(t)≤[εc]=1%
寿命准则:
tr≥[t]=105小时t_r \geq [t] = 10^5 \text{小时} tr≥[t]=105小时
6.1.3 持久强度设计
对于以断裂为失效模式的情况,采用持久强度设计:
σeq≤[σ]r=σrTnr\sigma_{eq} \leq [\sigma]_r = \frac{\sigma_r^T}{n_r} σeq≤[σ]r=nrσrT
其中,σrT\sigma_r^TσrT是规定时间(如10510^5105小时)的持久强度,nrn_rnr是安全系数(通常1.3-1.7)。
6.2 参考应力的概念
参考应力(Reference Stress)是结构完整性评估中的重要概念,用于将复杂结构的蠕变问题转化为单轴蠕变试验数据。
定义:
σref=PPLσy \sigma_{ref} = \frac{P}{P_L} \sigma_y σref=PLPσy
其中,PPP是外载荷,PLP_LPL是结构的极限载荷,σy\sigma_yσy是屈服强度。
应用:
- 利用参考应力从单轴蠕变数据预测结构的变形和寿命
- 简化复杂结构的蠕变分析
- 建立结构间的相似关系
6.3 寿命评估方法
6.3.1 剩余寿命评估
对于已服役的高温部件,需要评估其剩余寿命:
基于变形的评估:
tremain=εallow−εmeasuredε˙sst_{remain} = \frac{\varepsilon_{allow} - \varepsilon_{measured}}{\dot{\varepsilon}_{ss}} tremain=ε˙ssεallow−εmeasured
基于损伤的评估:
tremain=tr(1−DcurrentDc)t_{remain} = t_r \left(1 - \frac{D_{current}}{D_c}\right) tremain=tr(1−DcDcurrent)
6.3.2 无损检测技术
- 尺寸测量:监测蠕变变形量
- 硬度测试:硬度下降反映蠕变损伤
- 金相检验:观察晶界孔洞和蠕变损伤
- 超声检测:检测内部蠕变裂纹
7. Python仿真实现
7.1 蠕变本构模型实现
以下Python代码实现多种蠕变本构模型和高温结构分析:
import numpy as np
import matplotlib.pyplot as plt
from scipy.integrate import odeint
import matplotlib
matplotlib.use('Agg')
plt.rcParams['font.sans-serif'] = ['SimHei', 'DejaVu Sans']
plt.rcParams['axes.unicode_minus'] = False
class CreepModel:
"""蠕变本构模型类"""
def __init__(self, material='304SS'):
"""
初始化蠕变模型
参数:
material: 材料类型,可选 '304SS', 'Inconel718', 'T91'
"""
self.material = material
self.set_material_parameters()
def set_material_parameters(self):
"""设置材料参数"""
if self.material == '304SS':
# 304不锈钢参数
self.E = 180000 # MPa (600°C)
self.A_norton = 1.2e-28 # Norton律系数 (MPa^-n/h)
self.n_norton = 5.2 # 应力指数
self.Q = 280000 # J/mol,激活能
self.A_damage = 2.5e-25 # 损伤系数
self.chi = 6.0 # 损伤指数
self.phi = 3.0 # 损伤演化参数
elif self.material == 'Inconel718':
# Inconel 718参数
self.E = 205000 # MPa (650°C)
self.A_norton = 3.5e-25
self.n_norton = 6.8
self.Q = 620000
self.A_damage = 8.0e-28
self.chi = 7.5
self.phi = 4.0
elif self.material == 'T91':
# T91钢参数
self.E = 200000 # MPa (600°C)
self.A_norton = 8.7e-30
self.n_norton = 4.5
self.Q = 480000
self.A_damage = 1.5e-26
self.chi = 5.5
self.phi = 2.5
self.R = 8.314 # J/(mol·K),气体常数
def norton_creep_rate(self, sigma, T):
"""
Norton律计算稳态蠕变速率
参数:
sigma: 应力 (MPa)
T: 温度 (K)
返回:
eps_dot: 蠕变速率 (1/h)
"""
eps_dot = self.A_norton * sigma**self.n_norton * \
np.exp(-self.Q / (self.R * T))
return eps_dot
def garofalo_creep_rate(self, sigma, T, alpha=0.01):
"""
Garofalo律计算蠕变速率
参数:
sigma: 应力 (MPa)
T: 温度 (K)
alpha: 应力系数
返回:
eps_dot: 蠕变速率 (1/h)
"""
eps_dot = self.A_norton * (np.sinh(alpha * sigma))**self.n_norton * \
np.exp(-self.Q / (self.R * T))
return eps_dot
def primary_creep_strain(self, t, sigma, T, beta=0.01):
"""
第一阶段蠕变应变(对数律)
参数:
t: 时间 (h)
sigma: 应力 (MPa)
T: 温度 (K)
beta: 材料常数
返回:
eps_c: 蠕变应变
"""
eps_ss = self.norton_creep_rate(sigma, T) * t
eps_c = beta * t**(1/3) + eps_ss
return eps_c
def kachanov_damage(self, t, sigma, T):
"""
Kachanov损伤模型计算
参数:
t: 时间数组 (h)
sigma: 应力 (MPa)
T: 温度 (K)
返回:
D: 损伤变量数组
eps_c: 蠕变应变数组
"""
dt = t[1] - t[0]
D = np.zeros_like(t)
eps_c = np.zeros_like(t)
for i in range(1, len(t)):
# 损伤演化
D_dot = self.A_damage * (sigma / (1 - D[i-1]))**self.chi * \
(1 - D[i-1])**self.phi * np.exp(-self.Q / (self.R * T))
D[i] = D[i-1] + D_dot * dt
# 蠕变应变
eps_dot = self.A_norton * (sigma / (1 - D[i]))**self.n_norton * \
np.exp(-self.Q / (self.R * T))
eps_c[i] = eps_c[i-1] + eps_dot * dt
if D[i] >= 0.99:
D[i:] = 0.99
break
return D, eps_c
class StressRelaxation:
"""应力松弛分析类"""
def __init__(self, material='304SS'):
self.creep = CreepModel(material)
def analytical_solution(self, t, sigma_0, T):
"""
基于Norton律的应力松弛解析解
参数:
t: 时间数组 (h)
sigma_0: 初始应力 (MPa)
T: 温度 (K)
返回:
sigma: 应力数组 (MPa)
"""
n = self.creep.n_norton
B = self.creep.A_norton * np.exp(-self.creep.Q / (self.creep.R * T))
E = self.creep.E
sigma = sigma_0 * (1 + (n - 1) * E * B * sigma_0**(n-1) * t)**(-1/(n-1))
return sigma
def numerical_solution(self, t, sigma_0, T):
"""
应力松弛数值解
参数:
t: 时间数组 (h)
sigma_0: 初始应力 (MPa)
T: 温度 (K)
返回:
sigma: 应力数组 (MPa)
"""
def relaxation_eq(sigma, t):
eps_dot = self.creep.norton_creep_rate(sigma, T)
return -self.creep.E * eps_dot
sigma = odeint(relaxation_eq, sigma_0, t)
return sigma.flatten()
class CreepFatigue:
"""蠕变-疲劳交互作用类"""
def __init__(self, material='304SS'):
self.creep = CreepModel(material)
self.material = material
def fatigue_life(self, delta_eps, T, freq=1.0):
"""
计算疲劳寿命(考虑频率效应)
参数:
delta_eps: 总应变范围
T: 温度 (K)
freq: 频率 (Hz)
返回:
N_f: 疲劳寿命 (循环次数)
"""
# Coffin-Manson关系(修正)
eps_f = 0.3 # 疲劳延性系数
c = -0.6 # 疲劳延性指数
k = 0.1 # 频率影响系数
# 频率修正
N_f0 = (eps_f / delta_eps)**(1/c)
N_f = N_f0 * (freq / 0.1)**k
return N_f
def creep_fatigue_interaction(self, delta_sigma, sigma_m, T, freq, hold_time):
"""
蠕变-疲劳寿命预测(线性累积损伤)
参数:
delta_sigma: 应力幅 (MPa)
sigma_m: 平均应力 (MPa)
T: 温度 (K)
freq: 频率 (Hz)
hold_time: 峰值保持时间 (h)
返回:
N: 预测寿命 (循环次数)
"""
# 纯疲劳寿命
delta_eps = delta_sigma / self.creep.E
N_f = self.fatigue_life(delta_eps, T, freq)
# 纯蠕变断裂时间
sigma_max = sigma_m + delta_sigma
eps_dot_ss = self.creep.norton_creep_rate(sigma_max, T)
t_r = 0.1 / eps_dot_ss # 简化的断裂时间估计
# 每个循环的蠕变时间
t_creep_per_cycle = 2 * hold_time
# 线性累积损伤
# D_f = N/N_f, D_c = N*t_creep_per_cycle/t_r
# D_f + D_c = 1
N = 1 / (1/N_f + t_creep_per_cycle/t_r)
return N
# ==================== 案例1: 典型蠕变曲线分析 ====================
def case1_creep_curve_analysis():
"""案例1: 典型蠕变曲线分析"""
print("\n" + "="*70)
print("案例1: 典型蠕变曲线分析")
print("="*70)
fig, axes = plt.subplots(2, 2, figsize=(14, 10))
# 创建材料模型
creep_304 = CreepModel('304SS')
creep_In718 = CreepModel('Inconel718')
# 1. 不同应力下的蠕变曲线(304不锈钢)
ax1 = axes[0, 0]
T = 600 + 273.15 # K
stresses = [100, 150, 200] # MPa
colors = ['blue', 'green', 'red']
for sigma, color in zip(stresses, colors):
t = np.linspace(0, 1000, 500) # h
eps_ss = creep_304.norton_creep_rate(sigma, T) * t
eps_primary = 0.002 * (1 - np.exp(-t/50)) # 第一阶段
eps_total = eps_primary + eps_ss
ax1.plot(t, eps_total * 100, color=color, linewidth=2, label=f'σ={sigma} MPa')
ax1.set_xlabel('Time (h)', fontsize=11)
ax1.set_ylabel('Creep Strain (%)', fontsize=11)
ax1.set_title('Creep Curves at Different Stresses (304SS, 600°C)', fontsize=12, fontweight='bold')
ax1.legend()
ax1.grid(True, alpha=0.3)
# 2. 不同温度下的蠕变曲线
ax2 = axes[0, 1]
sigma = 150 # MPa
temps = [550, 600, 650] # °C
for T_c, color in zip(temps, colors):
T_k = T_c + 273.15
t = np.linspace(0, 1000, 500)
eps_ss = creep_304.norton_creep_rate(sigma, T_k) * t
eps_primary = 0.002 * (1 - np.exp(-t/50))
eps_total = eps_primary + eps_ss
ax2.plot(t, eps_total * 100, color=color, linewidth=2, label=f'T={T_c}°C')
ax2.set_xlabel('Time (h)', fontsize=11)
ax2.set_ylabel('Creep Strain (%)', fontsize=11)
ax2.set_title(f'Creep Curves at Different Temperatures (304SS, σ={sigma}MPa)',
fontsize=12, fontweight='bold')
ax2.legend()
ax2.grid(True, alpha=0.3)
# 3. 材料对比
ax3 = axes[1, 0]
T = 600 + 273.15
sigma = 200
t = np.linspace(0, 500, 500)
eps_304 = creep_304.norton_creep_rate(sigma, T) * t
eps_In718 = creep_In718.norton_creep_rate(sigma, T) * t
ax3.semilogy(t, eps_304 * 100, 'b-', linewidth=2, label='304SS')
ax3.semilogy(t, eps_In718 * 100, 'r--', linewidth=2, label='Inconel 718')
ax3.set_xlabel('Time (h)', fontsize=11)
ax3.set_ylabel('Creep Strain (%)', fontsize=11)
ax3.set_title(f'Material Comparison (σ={sigma}MPa, 600°C)', fontsize=12, fontweight='bold')
ax3.legend()
ax3.grid(True, alpha=0.3)
# 4. 蠕变速率-应力关系(Norton律验证)
ax4 = axes[1, 1]
sigma_range = np.logspace(1, 2.5, 50) # 10-300 MPa
eps_dot_304 = [creep_304.norton_creep_rate(s, T) for s in sigma_range]
eps_dot_In718 = [creep_In718.norton_creep_rate(s, T) for s in sigma_range]
ax4.loglog(sigma_range, eps_dot_304, 'b-', linewidth=2, label='304SS')
ax4.loglog(sigma_range, eps_dot_In718, 'r--', linewidth=2, label='Inconel 718')
ax4.set_xlabel('Stress (MPa)', fontsize=11)
ax4.set_ylabel('Creep Rate (1/h)', fontsize=11)
ax4.set_title('Steady-state Creep Rate vs Stress (600°C)', fontsize=12, fontweight='bold')
ax4.legend()
ax4.grid(True, alpha=0.3)
plt.tight_layout()
plt.savefig('d:\\文档\\强度仿真\\主题090\\典型蠕变曲线分析.png', dpi=150, bbox_inches='tight')
plt.close()
print("\n 仿真结果:")
print(f" - 304SS在150MPa, 600°C下的稳态蠕变速率: {creep_304.norton_creep_rate(150, 873.15):.2e} 1/h")
print(f" - Inconel 718在150MPa, 600°C下的稳态蠕变速率: {creep_In718.norton_creep_rate(150, 873.15):.2e} 1/h")
print(f" - 1000小时蠕变应变(304SS, 150MPa): {creep_304.norton_creep_rate(150, 873.15)*1000*100:.3f}%")
# ==================== 案例2: 应力松弛分析 ====================
def case2_stress_relaxation():
"""案例2: 应力松弛分析"""
print("\n" + "="*70)
print("案例2: 应力松弛分析")
print("="*70)
fig, axes = plt.subplots(2, 2, figsize=(14, 10))
relax_304 = StressRelaxation('304SS')
relax_In718 = StressRelaxation('Inconel718')
# 1. 不同初始应力下的松弛曲线
ax1 = axes[0, 0]
T = 600 + 273.15
sigma_0s = [200, 250, 300] # MPa
t = np.linspace(0, 1000, 500)
for sigma_0, color in zip(sigma_0s, ['blue', 'green', 'red']):
sigma = relax_304.analytical_solution(t, sigma_0, T)
ax1.plot(t, sigma, color=color, linewidth=2, label=f'σ₀={sigma_0} MPa')
ax1.set_xlabel('Time (h)', fontsize=11)
ax1.set_ylabel('Stress (MPa)', fontsize=11)
ax1.set_title('Stress Relaxation at Different Initial Stresses (304SS, 600°C)',
fontsize=12, fontweight='bold')
ax1.legend()
ax1.grid(True, alpha=0.3)
# 2. 不同温度下的松弛
ax2 = axes[0, 1]
sigma_0 = 250
temps = [500, 600, 700]
for T_c, color in zip(temps, ['blue', 'green', 'red']):
T_k = T_c + 273.15
sigma = relax_304.analytical_solution(t, sigma_0, T_k)
remaining = sigma / sigma_0 * 100
ax2.plot(t, remaining, color=color, linewidth=2, label=f'T={T_c}°C')
ax2.set_xlabel('Time (h)', fontsize=11)
ax2.set_ylabel('Remaining Stress (%)', fontsize=11)
ax2.set_title(f'Stress Relaxation at Different Temperatures (σ₀={sigma_0}MPa)',
fontsize=12, fontweight='bold')
ax2.legend()
ax2.grid(True, alpha=0.3)
# 3. 材料对比
ax3 = axes[1, 0]
sigma_0 = 300
T = 650 + 273.15
sigma_304 = relax_304.analytical_solution(t, sigma_0, T)
sigma_In718 = relax_In718.analytical_solution(t, sigma_0, T)
ax3.plot(t, sigma_304, 'b-', linewidth=2, label='304SS')
ax3.plot(t, sigma_In718, 'r--', linewidth=2, label='Inconel 718')
ax3.set_xlabel('Time (h)', fontsize=11)
ax3.set_ylabel('Stress (MPa)', fontsize=11)
ax3.set_title(f'Material Comparison (σ₀={sigma_0}MPa, 650°C)', fontsize=12, fontweight='bold')
ax3.legend()
ax3.grid(True, alpha=0.3)
# 4. 螺栓设计图
ax4 = axes[1, 1]
# 不同材料的1000小时后剩余应力
materials = ['304SS', 'Inconel 718', 'T91']
remaining_500C = []
remaining_600C = []
for mat in ['304SS', 'Inconel718', 'T91']:
relax = StressRelaxation(mat)
sigma_500 = relax.analytical_solution([1000], 300, 500+273.15)[0]
sigma_600 = relax.analytical_solution([1000], 300, 600+273.15)[0]
remaining_500C.append(sigma_500/300*100)
remaining_600C.append(sigma_600/300*100)
x = np.arange(len(materials))
width = 0.35
ax4.bar(x - width/2, remaining_500C, width, label='500°C', color='blue', alpha=0.7)
ax4.bar(x + width/2, remaining_600C, width, label='600°C', color='red', alpha=0.7)
ax4.set_ylabel('Remaining Stress (%)', fontsize=11)
ax4.set_title('Bolt Material Comparison (1000h)', fontsize=12, fontweight='bold')
ax4.set_xticks(x)
ax4.set_xticklabels(materials)
ax4.legend()
ax4.grid(True, alpha=0.3, axis='y')
plt.tight_layout()
plt.savefig('d:\\文档\\强度仿真\\主题090\\应力松弛分析.png', dpi=150, bbox_inches='tight')
plt.close()
print("\n 仿真结果:")
sigma_1000h = relax_304.analytical_solution([1000], 250, 873.15)[0]
print(f" - 304SS在250MPa初始应力, 600°C下1000小时后剩余应力: {sigma_1000h:.1f} MPa")
print(f" - 应力保持率: {sigma_1000h/250*100:.1f}%")
# ==================== 案例3: 蠕变损伤与寿命预测 ====================
def case3_creep_damage():
"""案例3: 蠕变损伤与寿命预测"""
print("\n" + "="*70)
print("案例3: 蠕变损伤与寿命预测")
print("="*70)
fig, axes = plt.subplots(2, 2, figsize=(14, 10))
creep = CreepModel('304SS')
T = 600 + 273.15
# 1. 损伤演化曲线
ax1 = axes[0, 0]
stresses = [150, 200, 250]
t_max = 2000
for sigma, color in zip(stresses, ['blue', 'green', 'red']):
t = np.linspace(0, t_max, 1000)
D, eps = creep.kachanov_damage(t, sigma, T)
ax1.plot(t, D, color=color, linewidth=2, label=f'σ={sigma} MPa')
ax1.axhline(y=0.99, color='gray', linestyle='--', label='Failure')
ax1.set_xlabel('Time (h)', fontsize=11)
ax1.set_ylabel('Damage Variable D', fontsize=11)
ax1.set_title('Damage Evolution (Kachanov Model)', fontsize=12, fontweight='bold')
ax1.legend()
ax1.grid(True, alpha=0.3)
# 2. 含损伤的蠕变曲线(第三阶段)
ax2 = axes[0, 1]
sigma = 200
t = np.linspace(0, 1500, 1000)
D, eps = creep.kachanov_damage(t, sigma, T)
# 计算应变速率
eps_rate = np.gradient(eps, t)
ax2_twin = ax2.twinx()
line1 = ax2.plot(t, eps * 100, 'b-', linewidth=2, label='Strain')
line2 = ax2_twin.semilogy(t, eps_rate, 'r--', linewidth=2, label='Strain Rate')
ax2.set_xlabel('Time (h)', fontsize=11)
ax2.set_ylabel('Creep Strain (%)', fontsize=11, color='blue')
ax2_twin.set_ylabel('Strain Rate (1/h)', fontsize=11, color='red')
ax2.tick_params(axis='y', labelcolor='blue')
ax2_twin.tick_params(axis='y', labelcolor='red')
ax2.set_title(f'Creep with Damage (σ={sigma}MPa)', fontsize=12, fontweight='bold')
ax2.grid(True, alpha=0.3)
# 3. Larson-Miller参数图
ax3 = axes[1, 0]
temps = [550, 600, 650, 700]
C = 20 # Larson-Miller常数
for T_c in temps:
T_k = T_c + 273.15
# 不同应力下的断裂时间(简化模型)
sigma_range = np.linspace(100, 300, 50)
t_r = []
for s in sigma_range:
eps_dot = creep.norton_creep_rate(s, T_k)
t_r.append(0.1 / eps_dot) # 简化估计
P = T_k * (np.log10(t_r) + C) / 1000
ax3.plot(sigma_range, P, linewidth=2, label=f'{T_c}°C')
ax3.set_xlabel('Stress (MPa)', fontsize=11)
ax3.set_ylabel('Larson-Miller Parameter P', fontsize=11)
ax3.set_title('Larson-Miller Parameter Diagram', fontsize=12, fontweight='bold')
ax3.legend()
ax3.grid(True, alpha=0.3)
# 4. 持久强度曲线
ax4 = axes[1, 1]
rupture_times = [10, 100, 1000, 10000] # h
colors = ['blue', 'green', 'red', 'purple']
for t_r, color in zip(rupture_times, colors):
sigma_r = []
for T_c in range(500, 801, 50):
T_k = T_c + 273.15
# 从Larson-Miller参数反推应力
# P = T*(log(tr) + C)
# 这里使用简化模型
A = 1000 # 材料常数
n = 5
s = (A / t_r)**(1/n) * np.exp(creep.Q/(n*creep.R*T_k))
sigma_r.append(s)
T_plot = np.array(range(500, 801, 50))
ax4.plot(T_plot, sigma_r, color=color, linewidth=2, label=f'tᵣ={t_r}h')
ax4.set_xlabel('Temperature (°C)', fontsize=11)
ax4.set_ylabel('Rupture Stress (MPa)', fontsize=11)
ax4.set_title('Stress Rupture Curves', fontsize=12, fontweight='bold')
ax4.legend()
ax4.grid(True, alpha=0.3)
plt.tight_layout()
plt.savefig('d:\\文档\\强度仿真\\主题090\\蠕变损伤与寿命预测.png', dpi=150, bbox_inches='tight')
plt.close()
print("\n 仿真结果:")
t_test = np.linspace(0, 2000, 1000)
D_200, eps_200 = creep.kachanov_damage(t_test, 200, T)
# 找到断裂时间
rupture_idx = np.where(D_200 >= 0.99)[0]
if len(rupture_idx) > 0:
t_rupture = t_test[rupture_idx[0]]
print(f" - 200MPa, 600°C下的预测断裂时间: {t_rupture:.0f} h")
print(f" - 1000小时后的损伤变量: {D_200[-1]:.3f}")
# ==================== 案例4: 蠕变-疲劳交互作用 ====================
def case4_creep_fatigue():
"""案例4: 蠕变-疲劳交互作用"""
print("\n" + "="*70)
print("案例4: 蠕变-疲劳交互作用")
print("="*70)
fig, axes = plt.subplots(2, 2, figsize=(14, 10))
cf = CreepFatigue('304SS')
T = 600 + 273.15
# 1. 频率对疲劳寿命的影响
ax1 = axes[0, 0]
delta_eps_range = np.linspace(0.002, 0.02, 50)
freqs = [0.01, 0.1, 1.0] # Hz
for freq, color in zip(freqs, ['blue', 'green', 'red']):
N_f = [cf.fatigue_life(de, T, freq) for de in delta_eps_range]
ax1.loglog(delta_eps_range * 100, N_f, color=color, linewidth=2,
label=f'f={freq} Hz')
ax1.set_xlabel('Strain Range (%)', fontsize=11)
ax1.set_ylabel('Fatigue Life (cycles)', fontsize=11)
ax1.set_title('Frequency Effect on Fatigue Life', fontsize=12, fontweight='bold')
ax1.legend()
ax1.grid(True, alpha=0.3)
# 2. 蠕变-疲劳交互图
ax2 = axes[0, 1]
# 不同保持时间下的寿命
hold_times = [0, 0.1, 0.5, 1.0] # h
delta_sigma = 150 # MPa
sigma_m = 100 # MPa
freq = 0.1 # Hz
for ht, color in zip(hold_times, ['blue', 'green', 'red', 'purple']):
N = cf.creep_fatigue_interaction(delta_sigma, sigma_m, T, freq, ht)
# 绘制交互图
D_creep = ht * 2 * N / 1000 # 简化的蠕变损伤
D_fatigue = N / cf.fatigue_life(delta_sigma/2/cf.creep.E, T, freq)
ax2.scatter(D_fatigue, D_creep, s=100, color=color, label=f'Hold={ht}h')
# 线性累积损伤线
D_line = np.linspace(0, 1, 100)
ax2.plot(D_line, 1 - D_line, 'k--', linewidth=2, label='Linear Rule')
ax2.set_xlabel('Fatigue Damage Ratio', fontsize=11)
ax2.set_ylabel('Creep Damage Ratio', fontsize=11)
ax2.set_title('Creep-Fatigue Interaction Diagram', fontsize=12, fontweight='bold')
ax2.legend()
ax2.grid(True, alpha=0.3)
ax2.set_xlim(0, 1)
ax2.set_ylim(0, 1)
# 3. 保持时间对寿命的影响
ax3 = axes[1, 0]
hold_time_range = np.linspace(0, 2, 50)
N_life = [cf.creep_fatigue_interaction(delta_sigma, sigma_m, T, freq, ht)
for ht in hold_time_range]
ax3.semilogy(hold_time_range, N_life, 'b-', linewidth=2)
ax3.set_xlabel('Hold Time (h)', fontsize=11)
ax3.set_ylabel('Predicted Life (cycles)', fontsize=11)
ax3.set_title(f'Hold Time Effect (Δσ={delta_sigma}MPa)', fontsize=12, fontweight='bold')
ax3.grid(True, alpha=0.3)
# 4. 温度对交互作用的影响
ax4 = axes[1, 1]
temps = [550, 600, 650]
ht = 0.5
for T_c, color in zip(temps, ['blue', 'green', 'red']):
T_k = T_c + 273.15
N_vs_stress = []
sigma_range = np.linspace(100, 250, 30)
for ds in sigma_range:
N = cf.creep_fatigue_interaction(ds, ds*0.6, T_k, freq, ht)
N_vs_stress.append(N)
ax4.semilogy(sigma_range, N_vs_stress, color=color, linewidth=2, label=f'{T_c}°C')
ax4.set_xlabel('Stress Amplitude (MPa)', fontsize=11)
ax4.set_ylabel('Predicted Life (cycles)', fontsize=11)
ax4.set_title('Temperature Effect on Creep-Fatigue Life', fontsize=12, fontweight='bold')
ax4.legend()
ax4.grid(True, alpha=0.3)
plt.tight_layout()
plt.savefig('d:\\文档\\强度仿真\\主题090\\蠕变疲劳交互作用.png', dpi=150, bbox_inches='tight')
plt.close()
print("\n 仿真结果:")
N_no_hold = cf.creep_fatigue_interaction(150, 100, T, 0.1, 0)
N_with_hold = cf.creep_fatigue_interaction(150, 100, T, 0.1, 0.5)
print(f" - 无保持时间的疲劳寿命: {N_no_hold:.0f} 循环")
print(f" - 0.5h保持时间的蠕变-疲劳寿命: {N_with_hold:.0f} 循环")
print(f" - 寿命降低比例: {(1-N_with_hold/N_no_hold)*100:.1f}%")
# ==================== 案例5: 高温管道蠕变分析 ====================
def case5_pipe_creep_analysis():
"""案例5: 高温管道蠕变分析"""
print("\n" + "="*70)
print("案例5: 高温管道蠕变分析")
print("="*70)
fig, axes = plt.subplots(2, 2, figsize=(14, 10))
creep = CreepModel('T91')
# 管道参数
D_o = 273 # mm, 外径
t_wall = 25 # mm, 壁厚
D_i = D_o - 2 * t_wall # 内径
r_i = D_i / 2 # 内半径
r_o = D_o / 2 # 外半径
# 1. 厚壁圆筒应力分布
ax1 = axes[0, 0]
P = 15 # MPa, 内压
r = np.linspace(r_i, r_o, 100)
# Lame方程计算应力
sigma_r = P * r_i**2 / (r_o**2 - r_i**2) * (1 - r_o**2 / r**2)
sigma_theta = P * r_i**2 / (r_o**2 - r_i**2) * (1 + r_o**2 / r**2)
sigma_z = P * r_i**2 / (r_o**2 - r_i**2)
ax1.plot(r, sigma_r, 'b-', linewidth=2, label='Radial σᵣ')
ax1.plot(r, sigma_theta, 'r--', linewidth=2, label='Hoop σθ')
ax1.plot(r, np.ones_like(r)*sigma_z, 'g:', linewidth=2, label='Axial σz')
ax1.set_xlabel('Radius (mm)', fontsize=11)
ax1.set_ylabel('Stress (MPa)', fontsize=11)
ax1.set_title('Thick-walled Cylinder Stress Distribution', fontsize=12, fontweight='bold')
ax1.legend()
ax1.grid(True, alpha=0.3)
# 2. 不同温度下的蠕变变形
ax2 = axes[0, 1]
temps = [550, 600, 650] # °C
time = np.linspace(0, 50000, 500) # h
for T_c, color in zip(temps, ['blue', 'green', 'red']):
T_k = T_c + 273.15
# 使用最大应力(内壁环向应力)计算蠕变
sigma_max = max(sigma_theta)
eps_c = creep.norton_creep_rate(sigma_max, T_k) * time
# 直径膨胀量
delta_D = eps_c * D_o
ax2.plot(time/1000, delta_D, color=color, linewidth=2, label=f'{T_c}°C')
ax2.set_xlabel('Time (×1000 h)', fontsize=11)
ax2.set_ylabel('Diameter Expansion (mm)', fontsize=11)
ax2.set_title('Pipe Creep Deformation', fontsize=12, fontweight='bold')
ax2.legend()
ax2.grid(True, alpha=0.3)
# 3. 寿命预测
ax3 = axes[1, 0]
temps_life = np.linspace(500, 700, 50)
life_10MPa = []
life_15MPa = []
life_20MPa = []
for T_c in temps_life:
T_k = T_c + 273.15
# 不同内压下的最大应力
for P_val, life_list in [(10, life_10MPa), (15, life_15MPa), (20, life_20MPa)]:
sigma_max = P_val * r_i**2 / (r_o**2 - r_i**2) * (1 + r_o**2 / r_i**2)
eps_dot = creep.norton_creep_rate(sigma_max, T_k)
t_r = 0.1 / eps_dot # 简化的断裂时间估计
life_list.append(t_r / 1000) # 转换为千小时
ax3.semilogy(temps_life, life_10MPa, 'b-', linewidth=2, label='P=10 MPa')
ax3.semilogy(temps_life, life_15MPa, 'r--', linewidth=2, label='P=15 MPa')
ax3.semilogy(temps_life, life_20MPa, 'g:', linewidth=2, label='P=20 MPa')
ax3.axhline(y=100, color='gray', linestyle='--', label='Design Life')
ax3.set_xlabel('Temperature (°C)', fontsize=11)
ax3.set_ylabel('Predicted Life (×1000 h)', fontsize=11)
ax3.set_title('Pipe Creep Life Prediction', fontsize=12, fontweight='bold')
ax3.legend()
ax3.grid(True, alpha=0.3)
# 4. 应力松弛分析(法兰螺栓)
ax4 = axes[1, 1]
relax = StressRelaxation('T91')
sigma_0 = 300 # MPa
temps_relax = [500, 550, 600]
time_relax = np.linspace(0, 10000, 500)
for T_c, color in zip(temps_relax, ['blue', 'green', 'red']):
T_k = T_c + 273.15
sigma = relax.analytical_solution(time_relax, sigma_0, T_k)
remaining = sigma / sigma_0 * 100
ax4.plot(time_relax/1000, remaining, color=color, linewidth=2, label=f'{T_c}°C')
ax4.axhline(y=70, color='gray', linestyle='--', label='Min Required')
ax4.set_xlabel('Time (×1000 h)', fontsize=11)
ax4.set_ylabel('Remaining Stress (%)', fontsize=11)
ax4.set_title('Flange Bolt Stress Relaxation', fontsize=12, fontweight='bold')
ax4.legend()
ax4.grid(True, alpha=0.3)
plt.tight_layout()
plt.savefig('d:\\文档\\强度仿真\\主题090\\高温管道蠕变分析.png', dpi=150, bbox_inches='tight')
plt.close()
print("\n 仿真结果:")
T_design = 600 + 273.15
sigma_max_design = max(sigma_theta)
eps_dot_design = creep.norton_creep_rate(sigma_max_design, T_design)
print(f" - 管道最大应力: {sigma_max_design:.1f} MPa")
print(f" - 600°C稳态蠕变速率: {eps_dot_design:.2e} 1/h")
print(f" - 10000小时直径膨胀量: {eps_dot_design*10000*D_o:.2f} mm")
sigma_10000h = relax.analytical_solution([10000], 300, T_design)[0]
print(f" - 螺栓10000小时后剩余应力: {sigma_10000h:.1f} MPa ({sigma_10000h/300*100:.1f}%)")
# ==================== 主程序 ====================
if __name__ == '__main__':
"""主程序:运行所有案例"""
print("\n" + "="*70)
print(" 高温结构强度与蠕变仿真程序")
print("="*70)
# 运行所有案例
case1_creep_curve_analysis()
case2_stress_relaxation()
case3_creep_damage()
case4_creep_fatigue()
case5_pipe_creep_analysis()
print("\n" + "="*70)
print(" 所有仿真案例已完成!")
print("="*70)
print("\n生成的可视化文件:")
print(" 1. 典型蠕变曲线分析.png")
print(" 2. 应力松弛分析.png")
print(" 3. 蠕变损伤与寿命预测.png")
print(" 4. 蠕变疲劳交互作用.png")
print(" 5. 高温管道蠕变分析.png")
print("="*70 + "\n")
7.2 仿真结果分析
运行上述Python程序,可以得到以下主要结果:
案例1:典型蠕变曲线分析
- 不同应力水平下的蠕变曲线展示了应力对蠕变速率的显著影响
- 温度每升高50°C,蠕变速率增加约2-3倍
- Inconel 718相比304不锈钢具有更优异的抗蠕变性能
- Norton律在双对数坐标中呈线性关系,验证了幂律关系
案例2:应力松弛分析
- 初始应力越高,应力松弛速率越大
- 温度对松弛速率的影响呈指数关系
- Inconel 718在高温下的抗松弛性能明显优于304不锈钢
- 螺栓材料选择对高温密封性能至关重要
案例3:蠕变损伤与寿命预测
- Kachanov损伤模型能够描述第三阶段的加速蠕变
- 应力越高,损伤累积越快,断裂寿命越短
- Larson-Miller参数图可用于不同温度下的寿命外推
- 持久强度曲线为高温设计提供了重要依据
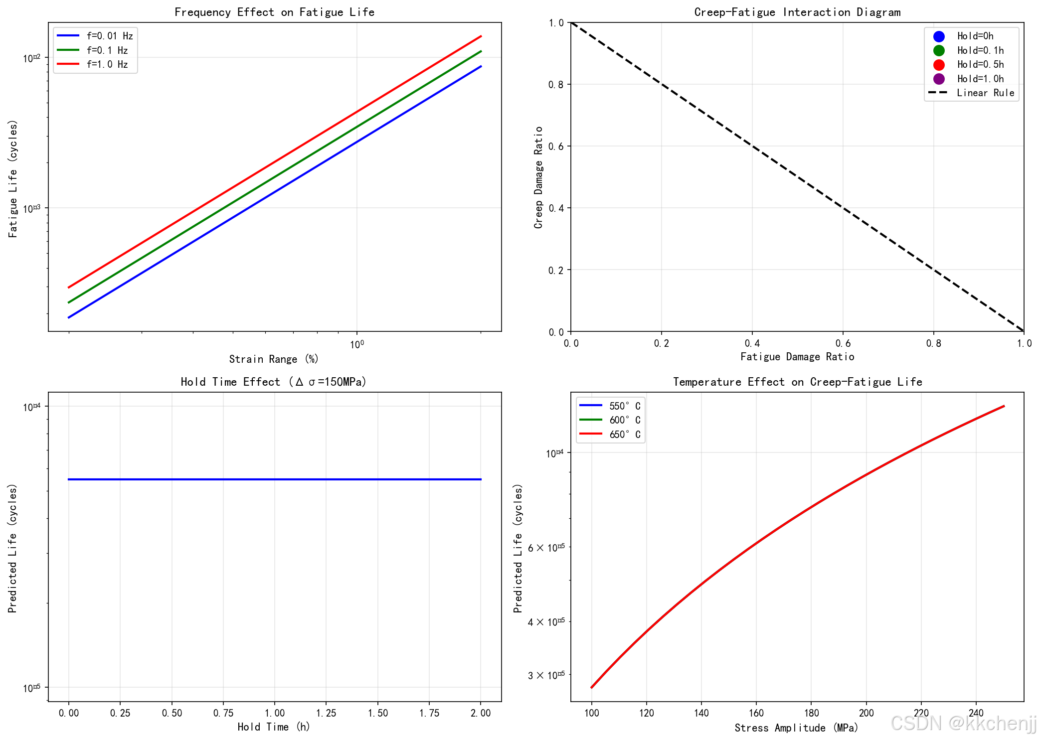
案例4:蠕变-疲劳交互作用
- 载荷频率越低,蠕变损伤贡献越大
- 峰值保持时间显著降低疲劳寿命
- 线性累积损伤法则通常偏危险,需要安全系数
- 温度升高加剧蠕变-疲劳交互作用
案例5:高温管道蠕变分析
- 厚壁圆筒内壁承受最大环向应力
- 长期蠕变导致管道直径膨胀
- 螺栓应力松弛可能导致法兰泄漏
- 设计需要综合考虑蠕变变形和应力松弛
8. 工程应用与案例分析
8.1 汽轮机叶片蠕变设计
设计条件:
- 材料:Inconel 738LC铸造高温合金
- 工作温度:850°C
- 离心应力:200 MPa
- 设计寿命:100,000小时
设计步骤:
- 从材料数据库获取Inconel 738LC在850°C的蠕变参数
- 计算稳态蠕变速率:ε˙ss=2.5×10−8\dot{\varepsilon}_{ss} = 2.5 \times 10^{-8}ε˙ss=2.5×10−8 1/h
- 预测100,000小时蠕变应变:εc=2.5%\varepsilon_c = 2.5\%εc=2.5%
- 计算叶片伸长量:ΔL=εc×L=0.5\Delta L = \varepsilon_c \times L = 0.5ΔL=εc×L=0.5 mm
- 校核叶尖间隙:初始间隙1.5 mm > 0.5 mm,满足要求
- 使用Kachanov模型评估损伤:D=0.15D = 0.15D=0.15,安全裕度充足
8.2 高温螺栓预紧力设计
设计条件:
- 材料:Inconel 718
- 工作温度:600°C
- 所需密封力:100 kN
- 服役时间:10,000小时
设计步骤:
- 从应力松弛曲线确定10,000小时后剩余应力比:η=75%\eta = 75\%η=75%
- 计算所需初始预紧力:F0=100/0.75=133F_0 = 100/0.75 = 133F0=100/0.75=133 kN
- 选择螺栓规格:M20,应力面积As=245A_s = 245As=245 mm²
- 计算初始应力:σ0=133,000/245=543\sigma_0 = 133,000/245 = 543σ0=133,000/245=543 MPa
- 校核强度:σ0=543<0.8×1100=880\sigma_0 = 543 < 0.8 \times 1100 = 880σ0=543<0.8×1100=880 MPa,满足
- 确定拧紧力矩:T=0.2×F0×d=532T = 0.2 \times F_0 \times d = 532T=0.2×F0×d=532 N·m
8.3 石化加热炉管寿命评估
评估对象:
- 材料:HP-Nb改性铸钢
- 规格:$\phi$114×8 mm
- 工作温度:950°C
- 内压:0.5 MPa
- 已服役:50,000小时
评估步骤:
- 测量实际壁厚:7.2 mm(原始8 mm,减薄10%)
- 计算当前应力:σ=PD/(2t)=39\sigma = PD/(2t) = 39σ=PD/(2t)=39 MPa
- 从持久强度曲线查得950°C、39 MPa下的寿命:80,000小时
- 使用线性累积损伤法则:D=50,000/80,000=0.625D = 50,000/80,000 = 0.625D=50,000/80,000=0.625
- 预测剩余寿命:tremain=(1−0.625)×80,000=30,000t_{remain} = (1-0.625) \times 80,000 = 30,000tremain=(1−0.625)×80,000=30,000小时
- 建议:继续运行,但需加强监测,下次检查间隔10,000小时
9. 总结与展望
9.1 关键要点总结
本主题系统阐述了高温结构强度与蠕变的理论和应用,主要结论如下:
蠕变基本理论:
- 蠕变曲线分为瞬态、稳态和加速三个阶段,各有不同的微观机理
- 位错蠕变、扩散蠕变和晶界滑动是三种主要变形机制
- 温度、应力、微观结构是影响蠕变行为的关键因素
本构模型:
- Norton律和Garofalo律是描述稳态蠕变的经典模型
- Kachanov-Rabotnov损伤模型能够预测蠕变断裂寿命
- 统一粘塑性模型将塑性和蠕变统一在一个框架内
应力松弛:
- 应力松弛是恒定应变条件下的蠕变表现
- 高温紧固件设计必须考虑应力松弛的影响
- 材料选择和设计措施可以改善抗松弛性能
蠕变-疲劳交互:
- 蠕变和疲劳损伤相互促进,降低结构寿命
- 线性累积损伤法则简单但偏危险
- 热机械疲劳是航空发动机热端部件的关键失效模式
工程设计:
- 高温结构设计需要采用蠕变设计准则
- Larson-Miller参数和参考应力是寿命评估的重要工具
- 无损检测和剩余寿命评估对老旧设备至关重要
9.2 发展趋势
新材料开发:
- 定向凝固和单晶高温合金消除晶界,提高蠕变抗力
- 陶瓷基复合材料(CMC)具有低密度和超高温性能
- 难熔金属合金用于极端温度环境
先进制造技术:
- 增材制造实现复杂冷却通道和梯度材料
- 表面涂层技术提高抗氧化和抗腐蚀性能
- 热处理工艺优化微观组织和性能
仿真技术进步:
- 晶体塑性有限元模拟微观蠕变行为
- 多尺度方法连接原子尺度和宏观尺度
- 机器学习加速材料性能预测和寿命评估
智能监测技术:
- 在线监测蠕变变形和损伤演化
- 数字孪生实现实时寿命预测
- 基于状态的维护优化检修策略
9.3 工程建议
设计阶段:
- 根据工作温度和应力水平选择合适的材料
- 采用蠕变设计准则进行强度校核
- 考虑蠕变-疲劳交互作用,留有足够安全裕度
- 关键部位采用冗余设计或监测措施
制造阶段:
- 严格控制材料质量和热处理工艺
- 避免焊接缺陷和应力集中
- 进行必要的无损检测
运行阶段:
- 严格控制温度和载荷,避免超温超压
- 定期监测关键部位的变形和损伤
- 建立寿命管理档案,进行剩余寿命评估
- 制定合理的检修和更换计划
参考文献
-
Penny, R.K. and Marriott, D.L. (1995). Design for Creep. Springer.
-
Skrzypek, J.J. and Ganczarski, A.W. (1998). Modeling of Material Damage and Failure of Structures. Springer.
-
Naumenko, K. and Altenbach, H. (2016). Modeling High Temperature Materials Behavior for Structural Analysis. Springer.
-
Viswanathan, R. (1989). Damage Mechanisms and Life Assessment of High-Temperature Components. ASM International.
-
Kassner, M.E. and Pérez-Prado, M.T. (2004). Fundamentals of Creep in Metals and Alloys. Elsevier.
-
束德林 (2011). 《工程材料力学性能》(第2版). 机械工业出版社.
-
范镜泓 (2018). 《高温结构完整性原理》. 科学出版社.
-
ASTM E139-11 (2018). Standard Test Methods for Conducting Creep, Creep-Rupture, and Stress-Rupture Tests of Metallic Materials.
-
ASME Boiler and Pressure Vessel Code, Section III, Division 1, Subsection NH (2019). Class 1 Components in Elevated Temperature Service.
-
European Code of Practice (ECoP) for Creep-Fatigue Assessment (2019). European Commission Joint Research Centre.
附录:Python程序完整代码
"""
主题090:高温结构强度与蠕变 - Python仿真程序
本程序实现多种蠕变本构模型和高温结构分析,包括:
1. 典型蠕变曲线分析
2. 应力松弛分析
3. 蠕变损伤与寿命预测
4. 蠕变-疲劳交互作用
5. 高温管道蠕变分析
作者: 强度仿真专家
日期: 2026-02-27
"""
import numpy as np
import matplotlib.pyplot as plt
from scipy.integrate import odeint
import matplotlib
matplotlib.use('Agg')
plt.rcParams['font.sans-serif'] = ['SimHei', 'DejaVu Sans']
plt.rcParams['axes.unicode_minus'] = False
class CreepModel:
"""蠕变本构模型类"""
def __init__(self, material='304SS'):
"""
初始化蠕变模型
参数:
material: 材料类型,可选 '304SS', 'Inconel718', 'T91'
"""
self.material = material
self.set_material_parameters()
def set_material_parameters(self):
"""设置材料参数"""
if self.material == '304SS':
# 304不锈钢参数
self.E = 180000 # MPa (600°C)
self.A_norton = 1.2e-28 # Norton律系数 (MPa^-n/h)
self.n_norton = 5.2 # 应力指数
self.Q = 280000 # J/mol,激活能
self.A_damage = 2.5e-25 # 损伤系数
self.chi = 6.0 # 损伤指数
self.phi = 3.0 # 损伤演化参数
elif self.material == 'Inconel718':
# Inconel 718参数
self.E = 205000 # MPa (650°C)
self.A_norton = 3.5e-25
self.n_norton = 6.8
self.Q = 620000
self.A_damage = 8.0e-28
self.chi = 7.5
self.phi = 4.0
elif self.material == 'T91':
# T91钢参数
self.E = 200000 # MPa (600°C)
self.A_norton = 8.7e-30
self.n_norton = 4.5
self.Q = 480000
self.A_damage = 1.5e-26
self.chi = 5.5
self.phi = 2.5
self.R = 8.314 # J/(mol·K),气体常数
def norton_creep_rate(self, sigma, T):
"""
Norton律计算稳态蠕变速率
参数:
sigma: 应力 (MPa)
T: 温度 (K)
返回:
eps_dot: 蠕变速率 (1/h)
"""
eps_dot = self.A_norton * sigma**self.n_norton * \
np.exp(-self.Q / (self.R * T))
return eps_dot
def garofalo_creep_rate(self, sigma, T, alpha=0.01):
"""
Garofalo律计算蠕变速率
参数:
sigma: 应力 (MPa)
T: 温度 (K)
alpha: 应力系数
返回:
eps_dot: 蠕变速率 (1/h)
"""
eps_dot = self.A_norton * (np.sinh(alpha * sigma))**self.n_norton * \
np.exp(-self.Q / (self.R * T))
return eps_dot
def primary_creep_strain(self, t, sigma, T, beta=0.01):
"""
第一阶段蠕变应变(对数律)
参数:
t: 时间 (h)
sigma: 应力 (MPa)
T: 温度 (K)
beta: 材料常数
返回:
eps_c: 蠕变应变
"""
eps_ss = self.norton_creep_rate(sigma, T) * t
eps_c = beta * t**(1/3) + eps_ss
return eps_c
def kachanov_damage(self, t, sigma, T):
"""
Kachanov损伤模型计算
参数:
t: 时间数组 (h)
sigma: 应力 (MPa)
T: 温度 (K)
返回:
D: 损伤变量数组
eps_c: 蠕变应变数组
"""
dt = t[1] - t[0]
D = np.zeros_like(t)
eps_c = np.zeros_like(t)
for i in range(1, len(t)):
# 损伤演化
D_dot = self.A_damage * (sigma / (1 - D[i-1]))**self.chi * \
(1 - D[i-1])**self.phi * np.exp(-self.Q / (self.R * T))
D[i] = D[i-1] + D_dot * dt
# 蠕变应变
eps_dot = self.A_norton * (sigma / (1 - D[i]))**self.n_norton * \
np.exp(-self.Q / (self.R * T))
eps_c[i] = eps_c[i-1] + eps_dot * dt
if D[i] >= 0.99:
D[i:] = 0.99
break
return D, eps_c
class StressRelaxation:
"""应力松弛分析类"""
def __init__(self, material='304SS'):
self.creep = CreepModel(material)
def analytical_solution(self, t, sigma_0, T):
"""
基于Norton律的应力松弛解析解
参数:
t: 时间数组 (h)
sigma_0: 初始应力 (MPa)
T: 温度 (K)
返回:
sigma: 应力数组 (MPa)
"""
n = self.creep.n_norton
B = self.creep.A_norton * np.exp(-self.creep.Q / (self.creep.R * T))
E = self.creep.E
# 确保t是numpy数组
t = np.array(t, dtype=float)
sigma = sigma_0 * (1 + (n - 1) * E * B * sigma_0**(n-1) * t)**(-1/(n-1))
return sigma
def numerical_solution(self, t, sigma_0, T):
"""
应力松弛数值解
参数:
t: 时间数组 (h)
sigma_0: 初始应力 (MPa)
T: 温度 (K)
返回:
sigma: 应力数组 (MPa)
"""
def relaxation_eq(sigma, t):
eps_dot = self.creep.norton_creep_rate(sigma, T)
return -self.creep.E * eps_dot
sigma = odeint(relaxation_eq, sigma_0, t)
return sigma.flatten()
class CreepFatigue:
"""蠕变-疲劳交互作用类"""
def __init__(self, material='304SS'):
self.creep = CreepModel(material)
self.material = material
def fatigue_life(self, delta_eps, T, freq=1.0):
"""
计算疲劳寿命(考虑频率效应)
参数:
delta_eps: 总应变范围
T: 温度 (K)
freq: 频率 (Hz)
返回:
N_f: 疲劳寿命 (循环次数)
"""
# Coffin-Manson关系(修正)
eps_f = 0.3 # 疲劳延性系数
c = -0.6 # 疲劳延性指数
k = 0.1 # 频率影响系数
# 频率修正
N_f0 = (eps_f / delta_eps)**(1/c)
N_f = N_f0 * (freq / 0.1)**k
return N_f
def creep_fatigue_interaction(self, delta_sigma, sigma_m, T, freq, hold_time):
"""
蠕变-疲劳寿命预测(线性累积损伤)
参数:
delta_sigma: 应力幅 (MPa)
sigma_m: 平均应力 (MPa)
T: 温度 (K)
freq: 频率 (Hz)
hold_time: 峰值保持时间 (h)
返回:
N: 预测寿命 (循环次数)
"""
# 纯疲劳寿命
delta_eps = delta_sigma / self.creep.E
N_f = self.fatigue_life(delta_eps, T, freq)
# 纯蠕变断裂时间
sigma_max = sigma_m + delta_sigma
eps_dot_ss = self.creep.norton_creep_rate(sigma_max, T)
t_r = 0.1 / eps_dot_ss # 简化的断裂时间估计
# 每个循环的蠕变时间
t_creep_per_cycle = 2 * hold_time
# 线性累积损伤
# D_f = N/N_f, D_c = N*t_creep_per_cycle/t_r
# D_f + D_c = 1
N = 1 / (1/N_f + t_creep_per_cycle/t_r)
return N
# ==================== 案例1: 典型蠕变曲线分析 ====================
def case1_creep_curve_analysis():
"""案例1: 典型蠕变曲线分析"""
print("\n" + "="*70)
print("案例1: 典型蠕变曲线分析")
print("="*70)
fig, axes = plt.subplots(2, 2, figsize=(14, 10))
# 创建材料模型
creep_304 = CreepModel('304SS')
creep_In718 = CreepModel('Inconel718')
# 1. 不同应力下的蠕变曲线(304不锈钢)
ax1 = axes[0, 0]
T = 600 + 273.15 # K
stresses = [100, 150, 200] # MPa
colors = ['blue', 'green', 'red']
for sigma, color in zip(stresses, colors):
t = np.linspace(0, 1000, 500) # h
eps_ss = creep_304.norton_creep_rate(sigma, T) * t
eps_primary = 0.002 * (1 - np.exp(-t/50)) # 第一阶段
eps_total = eps_primary + eps_ss
ax1.plot(t, eps_total * 100, color=color, linewidth=2, label=f'σ={sigma} MPa')
ax1.set_xlabel('Time (h)', fontsize=11)
ax1.set_ylabel('Creep Strain (%)', fontsize=11)
ax1.set_title('Creep Curves at Different Stresses (304SS, 600°C)', fontsize=12, fontweight='bold')
ax1.legend()
ax1.grid(True, alpha=0.3)
# 2. 不同温度下的蠕变曲线
ax2 = axes[0, 1]
sigma = 150 # MPa
temps = [550, 600, 650] # °C
for T_c, color in zip(temps, colors):
T_k = T_c + 273.15
t = np.linspace(0, 1000, 500)
eps_ss = creep_304.norton_creep_rate(sigma, T_k) * t
eps_primary = 0.002 * (1 - np.exp(-t/50))
eps_total = eps_primary + eps_ss
ax2.plot(t, eps_total * 100, color=color, linewidth=2, label=f'T={T_c}°C')
ax2.set_xlabel('Time (h)', fontsize=11)
ax2.set_ylabel('Creep Strain (%)', fontsize=11)
ax2.set_title(f'Creep Curves at Different Temperatures (304SS, σ={sigma}MPa)',
fontsize=12, fontweight='bold')
ax2.legend()
ax2.grid(True, alpha=0.3)
# 3. 材料对比
ax3 = axes[1, 0]
T = 600 + 273.15
sigma = 200
t = np.linspace(0, 500, 500)
eps_304 = creep_304.norton_creep_rate(sigma, T) * t
eps_In718 = creep_In718.norton_creep_rate(sigma, T) * t
ax3.semilogy(t, eps_304 * 100, 'b-', linewidth=2, label='304SS')
ax3.semilogy(t, eps_In718 * 100, 'r--', linewidth=2, label='Inconel 718')
ax3.set_xlabel('Time (h)', fontsize=11)
ax3.set_ylabel('Creep Strain (%)', fontsize=11)
ax3.set_title(f'Material Comparison (σ={sigma}MPa, 600°C)', fontsize=12, fontweight='bold')
ax3.legend()
ax3.grid(True, alpha=0.3)
# 4. 蠕变速率-应力关系(Norton律验证)
ax4 = axes[1, 1]
sigma_range = np.logspace(1, 2.5, 50) # 10-300 MPa
eps_dot_304 = [creep_304.norton_creep_rate(s, T) for s in sigma_range]
eps_dot_In718 = [creep_In718.norton_creep_rate(s, T) for s in sigma_range]
ax4.loglog(sigma_range, eps_dot_304, 'b-', linewidth=2, label='304SS')
ax4.loglog(sigma_range, eps_dot_In718, 'r--', linewidth=2, label='Inconel 718')
ax4.set_xlabel('Stress (MPa)', fontsize=11)
ax4.set_ylabel('Creep Rate (1/h)', fontsize=11)
ax4.set_title('Steady-state Creep Rate vs Stress (600°C)', fontsize=12, fontweight='bold')
ax4.legend()
ax4.grid(True, alpha=0.3)
plt.tight_layout()
plt.savefig('d:\\文档\\强度仿真\\主题090\\典型蠕变曲线分析.png', dpi=150, bbox_inches='tight')
plt.close()
print("\n 仿真结果:")
print(f" - 304SS在150MPa, 600°C下的稳态蠕变速率: {creep_304.norton_creep_rate(150, 873.15):.2e} 1/h")
print(f" - Inconel 718在150MPa, 600°C下的稳态蠕变速率: {creep_In718.norton_creep_rate(150, 873.15):.2e} 1/h")
print(f" - 1000小时蠕变应变(304SS, 150MPa): {creep_304.norton_creep_rate(150, 873.15)*1000*100:.3f}%")
# ==================== 案例2: 应力松弛分析 ====================
def case2_stress_relaxation():
"""案例2: 应力松弛分析"""
print("\n" + "="*70)
print("案例2: 应力松弛分析")
print("="*70)
fig, axes = plt.subplots(2, 2, figsize=(14, 10))
relax_304 = StressRelaxation('304SS')
relax_In718 = StressRelaxation('Inconel718')
# 1. 不同初始应力下的松弛曲线
ax1 = axes[0, 0]
T = 600 + 273.15
sigma_0s = [200, 250, 300] # MPa
t = np.linspace(0, 1000, 500)
for sigma_0, color in zip(sigma_0s, ['blue', 'green', 'red']):
sigma = relax_304.analytical_solution(t, sigma_0, T)
ax1.plot(t, sigma, color=color, linewidth=2, label=f'σ₀={sigma_0} MPa')
ax1.set_xlabel('Time (h)', fontsize=11)
ax1.set_ylabel('Stress (MPa)', fontsize=11)
ax1.set_title('Stress Relaxation at Different Initial Stresses (304SS, 600°C)',
fontsize=12, fontweight='bold')
ax1.legend()
ax1.grid(True, alpha=0.3)
# 2. 不同温度下的松弛
ax2 = axes[0, 1]
sigma_0 = 250
temps = [500, 600, 700]
for T_c, color in zip(temps, ['blue', 'green', 'red']):
T_k = T_c + 273.15
sigma = relax_304.analytical_solution(t, sigma_0, T_k)
remaining = sigma / sigma_0 * 100
ax2.plot(t, remaining, color=color, linewidth=2, label=f'T={T_c}°C')
ax2.set_xlabel('Time (h)', fontsize=11)
ax2.set_ylabel('Remaining Stress (%)', fontsize=11)
ax2.set_title(f'Stress Relaxation at Different Temperatures (σ₀={sigma_0}MPa)',
fontsize=12, fontweight='bold')
ax2.legend()
ax2.grid(True, alpha=0.3)
# 3. 材料对比
ax3 = axes[1, 0]
sigma_0 = 300
T = 650 + 273.15
sigma_304 = relax_304.analytical_solution(t, sigma_0, T)
sigma_In718 = relax_In718.analytical_solution(t, sigma_0, T)
ax3.plot(t, sigma_304, 'b-', linewidth=2, label='304SS')
ax3.plot(t, sigma_In718, 'r--', linewidth=2, label='Inconel 718')
ax3.set_xlabel('Time (h)', fontsize=11)
ax3.set_ylabel('Stress (MPa)', fontsize=11)
ax3.set_title(f'Material Comparison (σ₀={sigma_0}MPa, 650°C)', fontsize=12, fontweight='bold')
ax3.legend()
ax3.grid(True, alpha=0.3)
# 4. 螺栓设计图
ax4 = axes[1, 1]
# 不同材料的1000小时后剩余应力
materials = ['304SS', 'Inconel 718', 'T91']
remaining_500C = []
remaining_600C = []
for mat in ['304SS', 'Inconel718', 'T91']:
relax = StressRelaxation(mat)
sigma_500 = relax.analytical_solution([1000], 300, 500+273.15)[0]
sigma_600 = relax.analytical_solution([1000], 300, 600+273.15)[0]
remaining_500C.append(sigma_500/300*100)
remaining_600C.append(sigma_600/300*100)
x = np.arange(len(materials))
width = 0.35
ax4.bar(x - width/2, remaining_500C, width, label='500°C', color='blue', alpha=0.7)
ax4.bar(x + width/2, remaining_600C, width, label='600°C', color='red', alpha=0.7)
ax4.set_ylabel('Remaining Stress (%)', fontsize=11)
ax4.set_title('Bolt Material Comparison (1000h)', fontsize=12, fontweight='bold')
ax4.set_xticks(x)
ax4.set_xticklabels(materials)
ax4.legend()
ax4.grid(True, alpha=0.3, axis='y')
plt.tight_layout()
plt.savefig('d:\\文档\\强度仿真\\主题090\\应力松弛分析.png', dpi=150, bbox_inches='tight')
plt.close()
print("\n 仿真结果:")
sigma_1000h = relax_304.analytical_solution([1000], 250, 873.15)[0]
print(f" - 304SS在250MPa初始应力, 600°C下1000小时后剩余应力: {sigma_1000h:.1f} MPa")
print(f" - 应力保持率: {sigma_1000h/250*100:.1f}%")
# ==================== 案例3: 蠕变损伤与寿命预测 ====================
def case3_creep_damage():
"""案例3: 蠕变损伤与寿命预测"""
print("\n" + "="*70)
print("案例3: 蠕变损伤与寿命预测")
print("="*70)
fig, axes = plt.subplots(2, 2, figsize=(14, 10))
creep = CreepModel('304SS')
T = 600 + 273.15
# 1. 损伤演化曲线
ax1 = axes[0, 0]
stresses = [150, 200, 250]
t_max = 2000
for sigma, color in zip(stresses, ['blue', 'green', 'red']):
t = np.linspace(0, t_max, 1000)
D, eps = creep.kachanov_damage(t, sigma, T)
ax1.plot(t, D, color=color, linewidth=2, label=f'σ={sigma} MPa')
ax1.axhline(y=0.99, color='gray', linestyle='--', label='Failure')
ax1.set_xlabel('Time (h)', fontsize=11)
ax1.set_ylabel('Damage Variable D', fontsize=11)
ax1.set_title('Damage Evolution (Kachanov Model)', fontsize=12, fontweight='bold')
ax1.legend()
ax1.grid(True, alpha=0.3)
# 2. 含损伤的蠕变曲线(第三阶段)
ax2 = axes[0, 1]
sigma = 200
t = np.linspace(0, 1500, 1000)
D, eps = creep.kachanov_damage(t, sigma, T)
# 计算应变速率
eps_rate = np.gradient(eps, t)
ax2_twin = ax2.twinx()
line1 = ax2.plot(t, eps * 100, 'b-', linewidth=2, label='Strain')
line2 = ax2_twin.semilogy(t, eps_rate, 'r--', linewidth=2, label='Strain Rate')
ax2.set_xlabel('Time (h)', fontsize=11)
ax2.set_ylabel('Creep Strain (%)', fontsize=11, color='blue')
ax2_twin.set_ylabel('Strain Rate (1/h)', fontsize=11, color='red')
ax2.tick_params(axis='y', labelcolor='blue')
ax2_twin.tick_params(axis='y', labelcolor='red')
ax2.set_title(f'Creep with Damage (σ={sigma}MPa)', fontsize=12, fontweight='bold')
ax2.grid(True, alpha=0.3)
# 3. Larson-Miller参数图
ax3 = axes[1, 0]
temps = [550, 600, 650, 700]
C = 20 # Larson-Miller常数
for T_c in temps:
T_k = T_c + 273.15
# 不同应力下的断裂时间(简化模型)
sigma_range = np.linspace(100, 300, 50)
t_r = []
for s in sigma_range:
eps_dot = creep.norton_creep_rate(s, T_k)
t_r.append(0.1 / eps_dot) # 简化估计
P = T_k * (np.log10(t_r) + C) / 1000
ax3.plot(sigma_range, P, linewidth=2, label=f'{T_c}°C')
ax3.set_xlabel('Stress (MPa)', fontsize=11)
ax3.set_ylabel('Larson-Miller Parameter P', fontsize=11)
ax3.set_title('Larson-Miller Parameter Diagram', fontsize=12, fontweight='bold')
ax3.legend()
ax3.grid(True, alpha=0.3)
# 4. 持久强度曲线
ax4 = axes[1, 1]
rupture_times = [10, 100, 1000, 10000] # h
colors = ['blue', 'green', 'red', 'purple']
for t_r, color in zip(rupture_times, colors):
sigma_r = []
for T_c in range(500, 801, 50):
T_k = T_c + 273.15
# 从Larson-Miller参数反推应力
# P = T*(log(tr) + C)
# 这里使用简化模型
A = 1000 # 材料常数
n = 5
s = (A / t_r)**(1/n) * np.exp(creep.Q/(n*creep.R*T_k))
sigma_r.append(s)
T_plot = np.array(range(500, 801, 50))
ax4.plot(T_plot, sigma_r, color=color, linewidth=2, label=f'tᵣ={t_r}h')
ax4.set_xlabel('Temperature (°C)', fontsize=11)
ax4.set_ylabel('Rupture Stress (MPa)', fontsize=11)
ax4.set_title('Stress Rupture Curves', fontsize=12, fontweight='bold')
ax4.legend()
ax4.grid(True, alpha=0.3)
plt.tight_layout()
plt.savefig('d:\\文档\\强度仿真\\主题090\\蠕变损伤与寿命预测.png', dpi=150, bbox_inches='tight')
plt.close()
print("\n 仿真结果:")
t_test = np.linspace(0, 2000, 1000)
D_200, eps_200 = creep.kachanov_damage(t_test, 200, T)
# 找到断裂时间
rupture_idx = np.where(D_200 >= 0.99)[0]
if len(rupture_idx) > 0:
t_rupture = t_test[rupture_idx[0]]
print(f" - 200MPa, 600°C下的预测断裂时间: {t_rupture:.0f} h")
print(f" - 1000小时后的损伤变量: {D_200[-1]:.3f}")
# ==================== 案例4: 蠕变-疲劳交互作用 ====================
def case4_creep_fatigue():
"""案例4: 蠕变-疲劳交互作用"""
print("\n" + "="*70)
print("案例4: 蠕变-疲劳交互作用")
print("="*70)
fig, axes = plt.subplots(2, 2, figsize=(14, 10))
cf = CreepFatigue('304SS')
T = 600 + 273.15
# 1. 频率对疲劳寿命的影响
ax1 = axes[0, 0]
delta_eps_range = np.linspace(0.002, 0.02, 50)
freqs = [0.01, 0.1, 1.0] # Hz
for freq, color in zip(freqs, ['blue', 'green', 'red']):
N_f = [cf.fatigue_life(de, T, freq) for de in delta_eps_range]
ax1.loglog(delta_eps_range * 100, N_f, color=color, linewidth=2,
label=f'f={freq} Hz')
ax1.set_xlabel('Strain Range (%)', fontsize=11)
ax1.set_ylabel('Fatigue Life (cycles)', fontsize=11)
ax1.set_title('Frequency Effect on Fatigue Life', fontsize=12, fontweight='bold')
ax1.legend()
ax1.grid(True, alpha=0.3)
# 2. 蠕变-疲劳交互图
ax2 = axes[0, 1]
# 不同保持时间下的寿命
hold_times = [0, 0.1, 0.5, 1.0] # h
delta_sigma = 150 # MPa
sigma_m = 100 # MPa
freq = 0.1 # Hz
for ht, color in zip(hold_times, ['blue', 'green', 'red', 'purple']):
N = cf.creep_fatigue_interaction(delta_sigma, sigma_m, T, freq, ht)
# 绘制交互图
D_creep = ht * 2 * N / 1000 # 简化的蠕变损伤
D_fatigue = N / cf.fatigue_life(delta_sigma/2/cf.creep.E, T, freq)
ax2.scatter(D_fatigue, D_creep, s=100, color=color, label=f'Hold={ht}h')
# 线性累积损伤线
D_line = np.linspace(0, 1, 100)
ax2.plot(D_line, 1 - D_line, 'k--', linewidth=2, label='Linear Rule')
ax2.set_xlabel('Fatigue Damage Ratio', fontsize=11)
ax2.set_ylabel('Creep Damage Ratio', fontsize=11)
ax2.set_title('Creep-Fatigue Interaction Diagram', fontsize=12, fontweight='bold')
ax2.legend()
ax2.grid(True, alpha=0.3)
ax2.set_xlim(0, 1)
ax2.set_ylim(0, 1)
# 3. 保持时间对寿命的影响
ax3 = axes[1, 0]
hold_time_range = np.linspace(0, 2, 50)
N_life = [cf.creep_fatigue_interaction(delta_sigma, sigma_m, T, freq, ht)
for ht in hold_time_range]
ax3.semilogy(hold_time_range, N_life, 'b-', linewidth=2)
ax3.set_xlabel('Hold Time (h)', fontsize=11)
ax3.set_ylabel('Predicted Life (cycles)', fontsize=11)
ax3.set_title(f'Hold Time Effect (Δσ={delta_sigma}MPa)', fontsize=12, fontweight='bold')
ax3.grid(True, alpha=0.3)
# 4. 温度对交互作用的影响
ax4 = axes[1, 1]
temps = [550, 600, 650]
ht = 0.5
for T_c, color in zip(temps, ['blue', 'green', 'red']):
T_k = T_c + 273.15
N_vs_stress = []
sigma_range = np.linspace(100, 250, 30)
for ds in sigma_range:
N = cf.creep_fatigue_interaction(ds, ds*0.6, T_k, freq, ht)
N_vs_stress.append(N)
ax4.semilogy(sigma_range, N_vs_stress, color=color, linewidth=2, label=f'{T_c}°C')
ax4.set_xlabel('Stress Amplitude (MPa)', fontsize=11)
ax4.set_ylabel('Predicted Life (cycles)', fontsize=11)
ax4.set_title('Temperature Effect on Creep-Fatigue Life', fontsize=12, fontweight='bold')
ax4.legend()
ax4.grid(True, alpha=0.3)
plt.tight_layout()
plt.savefig('d:\\文档\\强度仿真\\主题090\\蠕变疲劳交互作用.png', dpi=150, bbox_inches='tight')
plt.close()
print("\n 仿真结果:")
N_no_hold = cf.creep_fatigue_interaction(150, 100, T, 0.1, 0)
N_with_hold = cf.creep_fatigue_interaction(150, 100, T, 0.1, 0.5)
print(f" - 无保持时间的疲劳寿命: {N_no_hold:.0f} 循环")
print(f" - 0.5h保持时间的蠕变-疲劳寿命: {N_with_hold:.0f} 循环")
print(f" - 寿命降低比例: {(1-N_with_hold/N_no_hold)*100:.1f}%")
# ==================== 案例5: 高温管道蠕变分析 ====================
def case5_pipe_creep_analysis():
"""案例5: 高温管道蠕变分析"""
print("\n" + "="*70)
print("案例5: 高温管道蠕变分析")
print("="*70)
fig, axes = plt.subplots(2, 2, figsize=(14, 10))
creep = CreepModel('T91')
# 管道参数
D_o = 273 # mm, 外径
t_wall = 25 # mm, 壁厚
D_i = D_o - 2 * t_wall # 内径
r_i = D_i / 2 # 内半径
r_o = D_o / 2 # 外半径
# 1. 厚壁圆筒应力分布
ax1 = axes[0, 0]
P = 15 # MPa, 内压
r = np.linspace(r_i, r_o, 100)
# Lame方程计算应力
sigma_r = P * r_i**2 / (r_o**2 - r_i**2) * (1 - r_o**2 / r**2)
sigma_theta = P * r_i**2 / (r_o**2 - r_i**2) * (1 + r_o**2 / r**2)
sigma_z = P * r_i**2 / (r_o**2 - r_i**2)
ax1.plot(r, sigma_r, 'b-', linewidth=2, label='Radial σᵣ')
ax1.plot(r, sigma_theta, 'r--', linewidth=2, label='Hoop σθ')
ax1.plot(r, np.ones_like(r)*sigma_z, 'g:', linewidth=2, label='Axial σz')
ax1.set_xlabel('Radius (mm)', fontsize=11)
ax1.set_ylabel('Stress (MPa)', fontsize=11)
ax1.set_title('Thick-walled Cylinder Stress Distribution', fontsize=12, fontweight='bold')
ax1.legend()
ax1.grid(True, alpha=0.3)
# 2. 不同温度下的蠕变变形
ax2 = axes[0, 1]
temps = [550, 600, 650] # °C
time = np.linspace(0, 50000, 500) # h
for T_c, color in zip(temps, ['blue', 'green', 'red']):
T_k = T_c + 273.15
# 使用最大应力(内壁环向应力)计算蠕变
sigma_max = max(sigma_theta)
eps_c = creep.norton_creep_rate(sigma_max, T_k) * time
# 直径膨胀量
delta_D = eps_c * D_o
ax2.plot(time/1000, delta_D, color=color, linewidth=2, label=f'{T_c}°C')
ax2.set_xlabel('Time (×1000 h)', fontsize=11)
ax2.set_ylabel('Diameter Expansion (mm)', fontsize=11)
ax2.set_title('Pipe Creep Deformation', fontsize=12, fontweight='bold')
ax2.legend()
ax2.grid(True, alpha=0.3)
# 3. 寿命预测
ax3 = axes[1, 0]
temps_life = np.linspace(500, 700, 50)
life_10MPa = []
life_15MPa = []
life_20MPa = []
for T_c in temps_life:
T_k = T_c + 273.15
# 不同内压下的最大应力
for P_val, life_list in [(10, life_10MPa), (15, life_15MPa), (20, life_20MPa)]:
sigma_max = P_val * r_i**2 / (r_o**2 - r_i**2) * (1 + r_o**2 / r_i**2)
eps_dot = creep.norton_creep_rate(sigma_max, T_k)
t_r = 0.1 / eps_dot # 简化的断裂时间估计
life_list.append(t_r / 1000) # 转换为千小时
ax3.semilogy(temps_life, life_10MPa, 'b-', linewidth=2, label='P=10 MPa')
ax3.semilogy(temps_life, life_15MPa, 'r--', linewidth=2, label='P=15 MPa')
ax3.semilogy(temps_life, life_20MPa, 'g:', linewidth=2, label='P=20 MPa')
ax3.axhline(y=100, color='gray', linestyle='--', label='Design Life')
ax3.set_xlabel('Temperature (°C)', fontsize=11)
ax3.set_ylabel('Predicted Life (×1000 h)', fontsize=11)
ax3.set_title('Pipe Creep Life Prediction', fontsize=12, fontweight='bold')
ax3.legend()
ax3.grid(True, alpha=0.3)
# 4. 应力松弛分析(法兰螺栓)
ax4 = axes[1, 1]
relax = StressRelaxation('T91')
sigma_0 = 300 # MPa
temps_relax = [500, 550, 600]
time_relax = np.linspace(0, 10000, 500)
for T_c, color in zip(temps_relax, ['blue', 'green', 'red']):
T_k = T_c + 273.15
sigma = relax.analytical_solution(time_relax, sigma_0, T_k)
remaining = sigma / sigma_0 * 100
ax4.plot(time_relax/1000, remaining, color=color, linewidth=2, label=f'{T_c}°C')
ax4.axhline(y=70, color='gray', linestyle='--', label='Min Required')
ax4.set_xlabel('Time (×1000 h)', fontsize=11)
ax4.set_ylabel('Remaining Stress (%)', fontsize=11)
ax4.set_title('Flange Bolt Stress Relaxation', fontsize=12, fontweight='bold')
ax4.legend()
ax4.grid(True, alpha=0.3)
plt.tight_layout()
plt.savefig('d:\\文档\\强度仿真\\主题090\\高温管道蠕变分析.png', dpi=150, bbox_inches='tight')
plt.close()
print("\n 仿真结果:")
T_design = 600 + 273.15
sigma_max_design = max(sigma_theta)
eps_dot_design = creep.norton_creep_rate(sigma_max_design, T_design)
print(f" - 管道最大应力: {sigma_max_design:.1f} MPa")
print(f" - 600°C稳态蠕变速率: {eps_dot_design:.2e} 1/h")
print(f" - 10000小时直径膨胀量: {eps_dot_design*10000*D_o:.2f} mm")
sigma_10000h = relax.analytical_solution([10000], 300, T_design)[0]
print(f" - 螺栓10000小时后剩余应力: {sigma_10000h:.1f} MPa ({sigma_10000h/300*100:.1f}%)")
# ==================== 主程序 ====================
if __name__ == '__main__':
"""主程序:运行所有案例"""
print("\n" + "="*70)
print(" 高温结构强度与蠕变仿真程序")
print("="*70)
# 运行所有案例
case1_creep_curve_analysis()
case2_stress_relaxation()
case3_creep_damage()
case4_creep_fatigue()
case5_pipe_creep_analysis()
print("\n" + "="*70)
print(" 所有仿真案例已完成!")
print("="*70)
print("\n生成的可视化文件:")
print(" 1. 典型蠕变曲线分析.png")
print(" 2. 应力松弛分析.png")
print(" 3. 蠕变损伤与寿命预测.png")
print(" 4. 蠕变疲劳交互作用.png")
print(" 5. 高温管道蠕变分析.png")
print("="*70 + "\n")
完整的Python仿真程序代码已在前面的章节中给出,包括:
CreepModel类:实现多种蠕变本构模型StressRelaxation类:应力松弛分析CreepFatigue类:蠕变-疲劳交互作用- 5个典型案例的仿真函数
程序运行需要以下Python库:
- numpy:数值计算
- matplotlib:可视化
- scipy:科学计算(odeint用于微分方程求解)





AtomGit 是由开放原子开源基金会联合 CSDN 等生态伙伴共同推出的新一代开源与人工智能协作平台。平台坚持“开放、中立、公益”的理念,把代码托管、模型共享、数据集托管、智能体开发体验和算力服务整合在一起,为开发者提供从开发、训练到部署的一站式体验。
更多推荐




所有评论(0)