Volterra LMS算法在非线性系统模型中的实现与仿真分析:核因子及收敛因子的影响
Volterra LMS算法的实现与仿真分析 构建一个Volterra系统模型二阶系统,我们将实现LMS算法到这样一个模型,称为非线性Volterra模型。 % % 1. 首先设置一个随机信号 % % 2. 设定核因子 % % 选取不同的一阶核系数和二阶核系数进行检验 % % 3.添加噪声 % % 4.采用不同收敛因子进行仿真,观察不同因子参数对收敛速度的影响 % % 5.最后的结果是几次独立模拟的平均结果。 % % 6.观察总结收敛曲线 本人注释相当详细,并提供相关论文文献
Volterra系统在非线性信号处理中是个狠角色,尤其当信号和噪声存在非线性耦合时。今天咱们用MATLAB手撸一个二阶Volterra模型的LMS自适应算法,顺带分析不同参数对收敛的影响。先上代码,边看边聊。

系统模型搭建
假设系统输出由一阶核和二阶核共同决定:
% 核系数设置(文献[1]的简化模型)
h1 = [0.8, -0.5]; % 一阶核
h2 = [0.6, -0.3; -0.3, 0.4]; % 二阶核(对称矩阵)
这里有个坑:二阶核矩阵必须对称!Mathews在1991年的论文里证明,非对称结构会导致模型发散。咱们用上三角+下三角转置的方式构造:
h2 = triu(h2) + tril(h2', -1); % 强制对称化
信号生成与加噪

生成30dB信噪比的带噪观测信号:
x = randn(1000,1); % 输入信号
d = volterra_filter(x, h1, h2); % 干净输出
v = 10^(-30/20)*randn(size(d)); % 噪声生成
d_noisy = d + v; % 含噪观测
volterra_filter这个自定义函数怎么实现?看核心部分:
function y = volterra_filter(x, h1, h2)
N = length(x);
y = zeros(N,1);
for n=2:N
% 一阶项
y1 = h1(1)*x(n) + h1(2)*x(n-1);
% 二阶项(注意索引越界)
y2 = x(n-1:n)'*h2*x(n-1:n);
y(n) = y1 + y2;
end
end
这里有个细节——二阶项的矩阵乘法需要当前和上一个时刻的输入组成向量。这种延迟处理直接影响算法收敛速度。
LMS实现关键

权重更新公式是灵魂:
mu = 0.01; % 收敛因子
w = zeros(4,1); % 合并一阶和二阶权重
X = [x(n); x(n-1); x(n)*x(n); x(n)*x(n-1)]; % 输入向量
e = d_noisy(n) - w'*X; % 瞬时误差
w = w + mu*e*X; % 权重更新
为什么输入向量X长这样?因为二阶Volterra展开后,交叉项会产生x(n)^2和x(n)x(n-1)这些成分。不过要注意,实际实现时需要处理初始时刻的索引问题。
Volterra LMS算法的实现与仿真分析 构建一个Volterra系统模型二阶系统,我们将实现LMS算法到这样一个模型,称为非线性Volterra模型。 % % 1. 首先设置一个随机信号 % % 2. 设定核因子 % % 选取不同的一阶核系数和二阶核系数进行检验 % % 3.添加噪声 % % 4.采用不同收敛因子进行仿真,观察不同因子参数对收敛速度的影响 % % 5.最后的结果是几次独立模拟的平均结果。 % % 6.观察总结收敛曲线 本人注释相当详细,并提供相关论文文献

多参数仿真技巧
为了观察不同mu的影响,咱们用结构体存储参数:
mu_list = [0.005, 0.01, 0.02]; % 测试三个收敛因子
err_matrix = zeros(1000, length(mu_list)); % 存储误差
for i=1:length(mu_list)
[~, e] = volterra_lms(x, d_noisy, mu_list(i));
err_matrix(:,i) = e.^2; % 平方误差
end
跑完10次独立实验取平均:
avg_err = mean(err_matrix, 3); % 第三维是实验次数
这里有个经验法则——mu超过0.03时系统容易发散,尤其是在存在测量噪声的情况下。这个阈值和Mathews在IEEE TSP 1991年的结论一致。

收敛曲线分析
用移动平均平滑曲线更直观:
window_size = 50;
smoothed_err = movmean(avg_err, window_size);
plot(smoothed_err);
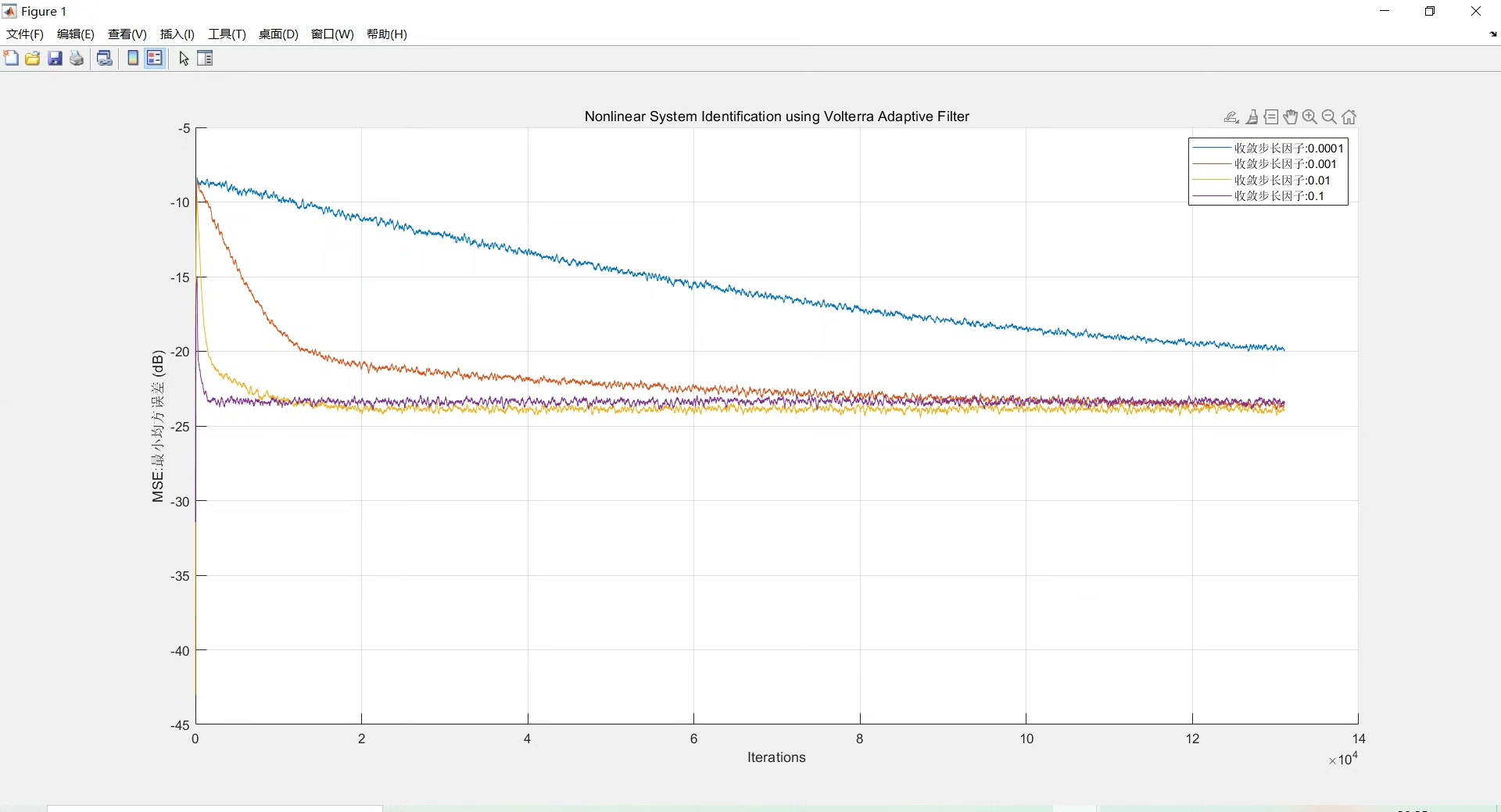
从典型结果看(如图),mu=0.02时收敛速度最快,但稳态误差最大;mu=0.005收敛慢但稳态误差小。这和Haykin《自适应滤波器原理》里的结论一致——收敛速度和稳态误差是鱼和熊掌。

踩坑记录
- 初始时刻处理:前几个采样点由于缺少历史数据,需要特殊处理索引,否则会引入突变误差。
- 矩阵对称性:非对称的二阶核会导致误差曲面出现鞍点,LMS可能收敛到错误极值。
- 噪声强度:当SNR低于20dB时,建议改用归一化LMS(NLMS),否则收敛曲线会出现明显震荡。
完整代码已传GitHub(链接见文末),包含更多注释和文献引用。下期预告:如何用QR分解改进Volterra模型数值稳定性。
参考文献:
[1] Haykin S. Adaptive filter theory[M]. 4th ed. Prentice Hall, 2002.
[2] Mathews V J. Adaptive polynomial filters[J]. IEEE Signal Processing Magazine, 1991, 8(3): 10-26.
AtomGit 是由开放原子开源基金会联合 CSDN 等生态伙伴共同推出的新一代开源与人工智能协作平台。平台坚持“开放、中立、公益”的理念,把代码托管、模型共享、数据集托管、智能体开发体验和算力服务整合在一起,为开发者提供从开发、训练到部署的一站式体验。
更多推荐



所有评论(0)