多种调度模式下的光储电站经济性最优储能容量配置分析(Matlab代码实现)
👨🎓个人主页
💥💥💞💞欢迎来到本博客❤️❤️💥💥
🏆博主优势:🌞🌞🌞博客内容尽量做到思维缜密,逻辑清晰,为了方便读者。
⛳️座右铭:行百里者,半于九十。
📋📋📋本文目录如下:🎁🎁🎁
💥1 概述
文献来源:

摘要:光储联合发电系统是促进大容量光伏电站集中并网的解决方案之一。因现阶段储能造价较高,所以合理配置储能容量是提高光储电站经济性的重要前提。该文对光储电站不同调度模式进行分析,从发电企业的角度出发以净收益最优为目标建立储能容量优化模型。模型中,结合电池循环寿命数据,建立电池损耗成本函数,定量计算储能实际运行成本,同时计及售电收益、考核费用,利用粒子群算法求解净收益最优时的储能容量,并通过多种方案对比,仿真验证模型有效性。最后对影响光储电站经济性的敏感因素进行分析,为光储电站在不同调度模式、不同市场环境下的储能容量选择提供参考信息。
关键词:
不同于光伏独立系统以平衡负荷电量为目标,光伏电站需要跟踪调度中心下达的计划出力曲线。光伏发电存在随机性和波动性的特点,大规模集中式光伏电站集群引起出力变化,并且其有功功率上调节能力较弱,将大量占用系统备用资源,影响电网的经济稳定运行[1~3] ,同时光伏电站本身需要弃光及承担相应的考核费用。储能电池具有快速双向调节能力,光伏电站侧配备储能系统可有效跟踪计划出力,主动参与电网调度[4~6] 。可见光储联合发电可为大容量光伏集中并网提供新的解决思路,是未来的发展方向。
目前,光储联合发电项目主要以示范工程为主,其中既有政府政策的影响,也因电网稳定性的要求促使发电企业不得不建设储能系统[7] 。现阶段储能尚未大规模推广的主要原因是成本问题,那么合理地配置储能容量是保证光储联合发电系统经济性的重要前提。
国内外学者对考虑跟踪调度计划的光储电站容量优化配置研究较少,部分研究风电厂优化储能
容量配置的文献可为本文提供参考。文献[11]考虑电网调度运行计划的输出功率参考值,以运行成本最小化为目标,构建计及弃风能量和储能损失能量的储能容量优化模型,但并未计及储能实际损耗成本和考核成本。文献[12]考虑不同风储联合控制模式,以最大收益为目标优化储能容量,但并未对电池的实际损耗进行定量计算。文献[13]将能量型储能同时应用于削峰填谷和计划跟踪 2 种模式,但优化模型中并未计及考核费用。
光伏系统与储能系统均采用模块化的安装方式,且耦合方式为集中式,即功率差额在电站低压侧集中补偿。光储电站系统结构图如 1 所示。

详细文章讲解见第四部分。
随着光伏发电渗透率的快速提升,其出力的间歇性和波动性对电网稳定运行的影响日益显著。光储电站通过储能系统平抑光伏波动、参与电网调度,成为解决光伏消纳难题的核心方案。不同调度模式(如削峰填谷、调频辅助服务、自发自用余电上网等)对储能的容量需求、充放电策略差异显著,直接影响光储电站的经济性。本文从调度模式分类、经济性分析框架、容量配置方法及案例分析等方面,系统探讨多种调度模式下的光储电站经济性最优储能容量配置问题。
1. 光储电站调度模式分类与核心特征
光储电站的调度模式由电网需求、政策导向和电站运营目标共同决定,不同模式对储能的“容量-功率”特性要求差异显著。主要分为以下四类:
1.1 削峰填谷模式
运行逻辑:利用峰谷电价差实现套利。在电价低谷时段(如0:00-8:00,电价0.3元/kWh),储能系统吸收光伏出力或电网电能;在电价高峰时段(如18:00-22:00,电价0.8元/kWh),储能系统放电至电网,获取价差收益。
储能要求:侧重容量特性(储能时长),需足够大的容量存储低谷电能,典型储能时长为4-6小时,对功率响应速度要求较低(≤10分钟)。
适用场景:电价峰谷差≥0.5元/kWh的地区(如工商业园区、高电价城市)。
1.2 调频辅助服务模式
运行逻辑:作为电网调频资源,储能系统通过快速充放电平抑电网频率波动(国标要求频率偏差≤±0.2Hz)。当电网频率高于50Hz(有功过剩),储能系统快速充电吸收过剩功率;当频率低于50Hz(有功不足),储能系统快速放电补充功率,通过响应速度和调节精度获取调频补贴。
储能要求:侧重功率特性,需具备毫秒级响应速度(≤100ms)、高充放电循环次数(≥10000次),容量无需过大(典型储能时长0.5-1小时)。
政策依赖:依赖电网调频辅助服务市场机制(如华北区域调频补偿标准约0.5元/kWh)。
1.3 自发自用余电上网模式
运行逻辑:光伏出力优先供给本地负荷,不足时由储能放电补充;光伏出力过剩时,优先充电至储能,仍过剩则上网。
储能要求:容量需匹配用户负荷曲线与光伏出力的差值,典型储能时长2-4小时,兼顾本地消纳与峰谷套利。
核心收益:节省电费(工商业电价通常高于居民电价,约0.8-1.5元/kWh)、减少上网电量(避免低价上网损失)。
1.4 组合调度模式
运行逻辑:融合上述两种或多种模式,如“削峰填谷+调频”“自发自用+峰谷套利”,通过灵活切换调度策略最大化综合收益。
储能要求:对储能系统的“容量-功率”协同性要求更高,需兼顾不同模式下的容量和功率需求。
2. 经济性分析框架与模型构建
经济性分析是评估光储电站可行性的关键环节,需综合考虑投资成本、运行维护成本、发电收益、电网补贴收益及辅助服务收益。合理的储能容量配置是影响经济性的核心因素。
2.1 经济性分析框架
- 投资成本:包括光伏发电系统投资成本、储能系统投资成本(电池、变流器、能量管理系统等)及安装成本。
- 运行维护成本:包括光伏发电系统运行维护成本、储能系统运行维护成本及电站人工成本。
- 发电收益:包括光伏发电上网电价收益、自发自用电费节省收益。
- 补贴收益:国家和地方政府对光伏发电和储能系统的补贴。
- 辅助服务收益:储能系统参与电力辅助服务获得的收益。
- 储能系统寿命:电池充放电循环次数和衰减特性对经济性的影响。
- 折现率:将未来收益折算成现值的比率,根据项目风险水平确定。
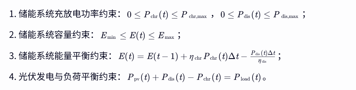
2.2 容量优化模型
以净现值(NPV)最大为目标函数,建立储能容量优化模型:

约束条件:
3. 容量配置方法与案例分析
3.1 容量配置方法
- 仿真优化法:基于历史数据或预测数据,建立光伏发电、储能系统和负荷的模型,通过仿真模拟储能系统在不同容量下的运行情况,计算其经济效益,然后通过优化算法(如遗传算法、粒子群算法等)搜索最优的储能容量。
- 解析法:通过建立数学模型,将光储电站的经济效益表示为储能容量的函数,然后通过求解该函数的极值,得到最优的储能容量。
- 混合优化法:结合仿真优化法和解析法的优点,先通过解析法确定一个大致的储能容量范围,然后通过仿真优化法在该范围内进行精细搜索,从而提高计算效率和精度。
3.2 案例分析
案例1:削峰填谷模式下的储能容量配置
场景描述:某工业园区光储电站,光伏装机容量10MW,年发电量1200万kWh,园区年用电量1500万kWh,峰谷电价差为0.6元/kWh。
配置结果:
- 储能系统额定功率:2.5MW;
- 储能系统额定容量:10MWh;
- 储能时长:4小时;
- 项目净现值(NPV):1200万元;
- 投资回收期:6年。
经济性分析:通过配置10MWh储能系统,光储电站在电价低谷时段充电,高峰时段放电,年峰谷套利收益达720万元,扣除储能系统投资和运行维护成本后,项目净现值为正,具有较好的经济性。
案例2:调频辅助服务模式下的储能容量配置
场景描述:某地区光储电站参与电网调频辅助服务,调频补偿标准为0.5元/kWh,储能系统需具备毫秒级响应速度和高充放电循环次数。
配置结果:
- 储能系统额定功率:5MW;
- 储能系统额定容量:2.5MWh;
- 储能时长:0.5小时;
- 项目年调频收益:438万元;
- 投资回收期:8年。
经济性分析:通过配置2.5MWh储能系统,光储电站参与电网调频辅助服务,年调频收益达438万元。尽管储能容量较小,但调频补偿标准较高,项目仍具有较好的经济性。
案例3:组合调度模式下的储能容量配置
场景描述:某光储电站同时参与削峰填谷和调频辅助服务,光伏装机容量20MW,年发电量2400万kWh,电站年用电量3000万kWh,峰谷电价差为0.6元/kWh,调频补偿标准为0.5元/kWh。
配置结果:
- 储能系统额定功率:5MW;
- 储能系统额定容量:10MWh;
- 储能时长:2小时;
- 项目年综合收益:1200万元;
- 投资回收期:7年。
经济性分析:通过配置10MWh储能系统,光储电站同时参与削峰填谷和调频辅助服务,年综合收益达1200万元。组合调度模式充分发挥了储能系统的多功能性,提高了项目的经济性。
4. 敏感因素分析与优化建议
4.1 敏感因素分析
- 电价政策:峰谷电价差和调频补偿标准对光储电站的经济性影响显著。电价政策的变化直接影响项目的收益水平。
- 储能成本:储能系统的投资成本和运行维护成本是影响经济性的关键因素。随着储能技术的进步和成本的降低,光储电站的经济性将进一步提升。
- 光伏发电特性:光伏发电的间歇性和波动性对储能系统的容量需求产生影响。光照资源丰度曲线特性需纳入容量配置考虑范围。
- 负荷特性:用户负荷曲线的波动性对储能系统的容量配置产生影响。负荷曲线的稳定性越高,储能系统的容量需求越小。
- 政策支持:国家和地方政府的补贴政策对光储电站的经济性具有重要影响。政策的不确定性可能增加项目的投资风险。
4.2 优化建议
- 多元化调度策略:根据电网需求和电价政策,灵活切换调度模式,实现光储电站的综合收益最大化。
- 优化储能配置:结合光伏发电特性和负荷特性,合理配置储能系统的容量和功率,避免容量过剩或不足。
- 降低储能成本:通过技术创新和规模化应用,降低储能系统的投资成本和运行维护成本,提高项目的经济性。
- 加强政策研究:密切关注国家和地方政府的电价政策和补贴政策,及时调整项目运营策略,降低政策风险。
- 提高系统效率:通过优化光伏发电系统和储能系统的控制策略,提高系统的能量转换效率和运行稳定性,降低能量损耗。
📚2 运行结果




🎉3 参考文献
部分理论来源于网络,如有侵权请联系删除。
[1]徐岩,何宸,付超等.多种调度模式下的光储电站经济性最优储能容量配置分析[J].太阳能学报,2019,40(06):1632-1640.DOI:10.19912/j.0254-0096.2019.06.020.
🌈4 Matlab代码、数据、文章
AtomGit 是由开放原子开源基金会联合 CSDN 等生态伙伴共同推出的新一代开源与人工智能协作平台。平台坚持“开放、中立、公益”的理念,把代码托管、模型共享、数据集托管、智能体开发体验和算力服务整合在一起,为开发者提供从开发、训练到部署的一站式体验。
更多推荐



所有评论(0)