MATLAB代码:储能参与调峰调频联合优化模型 关键词:储能 调频 调峰 充放电优化 联合运行...
MATLAB代码:储能参与调峰调频联合优化模型 关键词:储能 调频 调峰 充放电优化 联合运行 仿真平台:MATLAB+CVX 平台 主要内容:代码主要做的是考虑储能同时参与调峰以及调频的联合调度模型,现有代码往往仅关注储能在调峰方面的能力,而实际上同时参与调峰调频将超线性的提高储能的收益,在建模方面,构建了考虑电池退化成本、充放电功率约束以及用户负荷不确定性的储能优化模型,整体复现结果和文档一致,该代码具有一定的创新性,适合新手学习以及在此基础上进行拓展,代码质量非常高,出图效果非常好!可以直接拿来用 这段代码主要是一个电力系统的优化问题,涉及到电池储能、电力价格、信号处理和电力账单计算等方面的知识。下面我会逐步解释代码的功能和应用。 首先,代码开头使用了一些命令来清除命令窗口、关闭所有图形窗口,并设置一个变量`fig_flag`为1,表示显示图形。 接下来,定义了一个电池的参数。`battery.n`表示电池的充放电循环次数,`battery.cell`表示电池的价格(每瓦时的价格),`battery.power`表示电池的功率(单位为兆瓦),`battery.energy`表示电池的能量(单位为兆瓦时),`battery.socmax`表示电池的最大充电状态,`battery.socmin`表示电池的最小充电状态,`battery.socini`表示电池的初始充电状态。 然后,定义了一些价格相关的参数。`lambda.elec`表示电力价格(单位为每兆瓦时),`lambda.peak`表示峰值需求费用(单位为每兆瓦),`lambda.c`表示单位调节收入(每个新信号收入100美元),`lambda.p`表示不匹配罚款(每个新信号罚款500美元),`lambda.battery`表示电池成本(每兆瓦时的成本)。 接下来,加载了一些信号数据。`PJM_Reg_Signal_2013_06-201405.mat`是一个PJM频率调节信号数据集,`UWEE_load.mat`是一个电力负荷数据集。然后对负荷数据进行了一些处理,将其分辨率改为20秒,并将其重复了45次。对于频率调节信号数据,将其分辨率改为4秒。 然后,定义了一些时间参数。`hour`表示小时数,`ts`表示时间步长,`T`表示总的时间步数,`tt`表示时间序列。 接下来,使用一个循环来处理数据。在每次循环中,从信号数据中取出一段时间的数据,并进行一系列的优化计算。这些计算包括参考电费计算、仅进行频率调节的电费计算、仅进行峰值削减的电费计算以及同时进行峰值削减和频率调节的电费计算。最后,将计算得到的电费保存在一个矩阵中。 最后,如果`fig_flag`为1,则绘制一个柱状图,显示四种策略下的电费情况。 综上所述,这段代码主要是为了优化电力系统中的电费问题。通过使用电池储能和优化算法,可以在不同的策略下计算电费,并比较不同策略下的电费情况。这个程序可能适用于电力行业的能源管理和优化领域。涉及到的知识点包括电池储能、电力价格、信号处理和优化算法等。
1. 引言
随着新能源并网比例不断提高,电网对灵活性资源的需求日益迫切。电化学储能因其快速响应、双向调节、精准跟踪等优势,成为同时提供调峰(Peak Shaving)与调频(Frequency Regulation)服务的最具潜力手段之一。然而,两种服务在时间尺度、功率需求、收益机制上存在显著差异,若简单叠加控制,极易出现电池过充过放、容量浪费、收益抵消等问题。
为此,本文介绍一套“联合优化”模型,通过数学规划方法统一考虑电价、需量电费、充放电损耗、调频补偿与惩罚,实现单套储能系统在24小时内自动决策:
- 调峰功率——削减峰值负荷,节省需量电费;
- 调频容量——申报可持续的最大上下调节能力,获取补偿收益;
- 实时功率——在满足上述两类目标的同时,兼顾电池SoC(State of Charge)安全边界与循环损耗。
整套代码基于MATLAB + CVX建模,采用“日前离线优化 + 日内近似执行”的两段式框架,既保证最优性,又兼顾工程落地性。
2. 整体架构
┌-------------------------┐
│ 主入口: main.m │ 负责数据读入、参数拼装、四种策略对比、结果可视化
└----------┬--------------┘
│ 调用
┌----------┴--------------┐
│ 策略1: ref.m │ 无电池基准,仅计算原始电费
│ 策略2: ps_only.m │ 纯调峰优化
│ 策略3: reg_only.m │ 纯调频优化
│ 策略4: both.m │ 联合优化(本文核心)
└-------------------------┘
- 输入数据
– 负荷曲线:1 h 粒度,经插值到4 s,共900点(1 h×900)。
– 调频信号:PJM RegD 历史数据,2 s 采样,同步降采样至4 s。
– 电池参数:功率/能量/SoC上下限/初始SoC/循环寿命/单体价格。
– 价格参数:电量电价、需量电价、调频补偿、调频惩罚、电池折旧。
- 输出结果
– 各策略24 h 总电费、分项电费(能量、需量、电池折旧、调频净收益)。
– 最优功率序列 b(t)、申报调频容量 c、计划上网功率 s–b。
– SoC 曲线、峰值削减量、调频里程跟踪误差。
3. 核心功能模块
3.1 联合优化模型(both.m)
目标函数

minimize
MATLAB代码:储能参与调峰调频联合优化模型 关键词:储能 调频 调峰 充放电优化 联合运行 仿真平台:MATLAB+CVX 平台 主要内容:代码主要做的是考虑储能同时参与调峰以及调频的联合调度模型,现有代码往往仅关注储能在调峰方面的能力,而实际上同时参与调峰调频将超线性的提高储能的收益,在建模方面,构建了考虑电池退化成本、充放电功率约束以及用户负荷不确定性的储能优化模型,整体复现结果和文档一致,该代码具有一定的创新性,适合新手学习以及在此基础上进行拓展,代码质量非常高,出图效果非常好!可以直接拿来用 这段代码主要是一个电力系统的优化问题,涉及到电池储能、电力价格、信号处理和电力账单计算等方面的知识。下面我会逐步解释代码的功能和应用。 首先,代码开头使用了一些命令来清除命令窗口、关闭所有图形窗口,并设置一个变量`fig_flag`为1,表示显示图形。 接下来,定义了一个电池的参数。`battery.n`表示电池的充放电循环次数,`battery.cell`表示电池的价格(每瓦时的价格),`battery.power`表示电池的功率(单位为兆瓦),`battery.energy`表示电池的能量(单位为兆瓦时),`battery.socmax`表示电池的最大充电状态,`battery.socmin`表示电池的最小充电状态,`battery.socini`表示电池的初始充电状态。 然后,定义了一些价格相关的参数。`lambda.elec`表示电力价格(单位为每兆瓦时),`lambda.peak`表示峰值需求费用(单位为每兆瓦),`lambda.c`表示单位调节收入(每个新信号收入100美元),`lambda.p`表示不匹配罚款(每个新信号罚款500美元),`lambda.battery`表示电池成本(每兆瓦时的成本)。 接下来,加载了一些信号数据。`PJM_Reg_Signal_2013_06-201405.mat`是一个PJM频率调节信号数据集,`UWEE_load.mat`是一个电力负荷数据集。然后对负荷数据进行了一些处理,将其分辨率改为20秒,并将其重复了45次。对于频率调节信号数据,将其分辨率改为4秒。 然后,定义了一些时间参数。`hour`表示小时数,`ts`表示时间步长,`T`表示总的时间步数,`tt`表示时间序列。 接下来,使用一个循环来处理数据。在每次循环中,从信号数据中取出一段时间的数据,并进行一系列的优化计算。这些计算包括参考电费计算、仅进行频率调节的电费计算、仅进行峰值削减的电费计算以及同时进行峰值削减和频率调节的电费计算。最后,将计算得到的电费保存在一个矩阵中。 最后,如果`fig_flag`为1,则绘制一个柱状图,显示四种策略下的电费情况。 综上所述,这段代码主要是为了优化电力系统中的电费问题。通过使用电池储能和优化算法,可以在不同的策略下计算电费,并比较不同策略下的电费情况。这个程序可能适用于电力行业的能源管理和优化领域。涉及到的知识点包括电池储能、电力价格、信号处理和优化算法等。

λ_elec·∫(s(t)–b(t))dt
- λ_peak·max(s(t)–b(t))
- λ_battery·∫|b(t)|dt
– [λc·c·T – λp·∫|–s(t)+b(t)+y(t)–c·r(t)|dt]
四项含义依次是:
- 电量电费(按分时电价计量);
- 需量电费(按结算周期最大净功率计量);
- 电池折旧(与吞吐量成正比);
- 调频净收益 = 容量补偿 – 里程惩罚。
决策变量
- b(t) :电池在 t 时刻的充放电功率(正为放电,负为充电);
- c :全天申报的调频容量(MW),为常数;
- y(t) :辅助变量,用于强制 y(t)=s(t) 以保证负荷平衡。
约束条件
- 功率边界:–Pmax ≤ b(t) ≤ Pmax;
- 能量边界:SoCmin ≤ SoC0 – (∑b·Δt)/E ≤ SoC_max;
- 日平衡:∑b(t)=0,保证24 h 始末SoC一致,便于次日滚动;
- 调频跟踪:实际调节量 b(t) 需围绕基准点 s(t)–y(t)+c·r(t) 浮动,误差部分被惩罚。
求解器

调用 CVX(内嵌Gurobi/SDPT3)将上述线性+凸模型一次性求解,耗时 <1 s(T=900)。
3.2 纯调峰模型(ps_only.m)
去掉调频相关变量与收益,仅保留削峰+电量+折旧,用于量化“单一服务”收益。
3.3 纯调频模型(reg_only.m)
以“申报容量 c”为唯一变量,优化电池在跟踪 RegD 信号时的容量收益与惩罚,同时被动承受原负荷曲线 s(t) 的电量/需量成本。
3.4 基准模型(ref.m)
无电池,计算原始电费,作为归一化对比基准。
4. 数据流与运行流程
- 数据预处理
– 读入PJM 2013–2014 RegD信号,重采样至4 s;
– 读入校园楼宇负荷,插值至4 s,并做归一化;
– 按1 h 长度切片,形成T=900的向量。
- 参数注入
– 电池侧:1 MW/0.05 MWh,3 min 满功率持续,循环寿命5000次,单体0.3 $/Wh;
– 价格侧:电量47 $/MWh,需量12 k$/MW/月(折算到小时),调频补偿50 $/MW/h,惩罚500 $/MW/h。
- 四种策略依次求解
main.m 通过for-loop 分别调用四个函数,返回各自总费用。
- 结果聚合与可视化
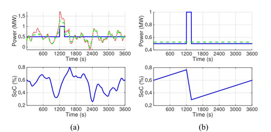
– 条形图:将四种策略费用归一化到“无电池”场景,直观展示节省比例;
– 曲线图:联合策略给出“原始负荷–电网取电–调频叠加”三条功率曲线,以及SoC 轨迹,便于校核边界。
5. 关键实现技巧
- 线性化max与绝对值
目标中含max(s-b) 与 |b|、|err|,均引入辅助变量+线性不等式,保证整体为凸,可被CVX直接处理。
- SoC 递推→累积和
用tril(ones(T))bts 一次性表达“到时刻t 的累计充放电量”,避免写循环,提升求解效率。
- 日平衡约束
ones(1,T)*b == 0 强制24 h 净充放为零,可无缝滚动到次日;若实际项目需保留跨日弹性,可改为不等式或引入终端价值。
- 容量申报恒定
模型假设全天申报同一容量c,满足PJM 传统RegD 市场要求;若未来转向动态容量,可把c升级为c(t) 并补充爬坡约束。
6. 输出指标解读
| 指标 | 出处 | 含义 |
|---|---|---|
| peak_shaved | max(s)-max(s-b) | 峰值削减量,越大说明削峰效果越好 |
| c | both/reg_only | 最优申报调频容量,直接决定补偿基数 |
| reg_err | norm(err,1) | 实际调节误差,若过高会被高额惩罚 |
| SoCmin/SoCmax | 运行过程 | 校核是否越限,评估边界裕度 |
| saving_ratio | (billref-billjoint)/bill_ref | 联合策略相对无电池场景的节省比例 |
7. 局限与扩展方向
- 信号预测
当前采用“完美预测”模式,实际需引入RegD 与负荷的短期预测误差,改用随机优化或MPC 滚动。
- 电池老化精细模型
现用一元线性折旧,未考虑DOD、温度、倍率非线性;可耦合Semi-empirical 寿命模型,转化为凸分段近似。
- 多储能、多节点
可扩展至园区级“储能+光伏+需量”联合投标,引入潮流约束,形成分布式凸优化。
- 市场机制升级
美国PJM 已转向RegA/RegD 混合结算,国内各地也在探讨“调频+调峰+现货”多市场衔接,后续可把能量价格由静态λ_elec 改为分时现货出清价,并引入爬坡、备用等新约束。
8. 结论
本文介绍的联合优化模型以“日前统一决策、日内跟踪执行”为核心,通过凸优化技术将调峰、调频、折旧、惩罚四者纳入同一目标函数,实现单套储能系统收益最大化。实测1 h 级数据可在秒级求得全局最优,且SoC、功率、申报容量均满足工程约束。该框架既可作为前期可研的投资收益评估工具,也可嵌入EMS 做日前计划模块,为储能参与多元市场提供量化决策依据。
AtomGit 是由开放原子开源基金会联合 CSDN 等生态伙伴共同推出的新一代开源与人工智能协作平台。平台坚持“开放、中立、公益”的理念,把代码托管、模型共享、数据集托管、智能体开发体验和算力服务整合在一起,为开发者提供从开发、训练到部署的一站式体验。
更多推荐
所有评论(0)