负荷需求响应模型基于Logistic函数的电价激励下乐观和悲观响应的比较及负荷转移率分析
负荷需求响应模型 基于Logistic函数 采用matlab编程,考虑电价激励下的乐观响应和悲观响应,利用负荷需求响应模型得到峰转平、平转谷的实际负荷转移率,从而得到基于Logistic函数的负荷转移对比,程序运行稳定
一、代码概述
本代码基于MATLAB平台开发,以Logistic函数为核心算法,构建了负荷侧需求响应模型。该模型聚焦于电价激励场景,创新性地考虑了用户的乐观响应与悲观响应两种行为模式,通过量化分析峰段、平段、谷段电价差异对用户用电行为的影响,实现了电力负荷在不同时段的优化转移(峰转平、峰转谷),最终输出需求响应前后的负荷对比曲线与电价变化曲线,为电力系统的负荷调控与供需平衡提供数据支撑。
二、核心参数体系
代码中的参数设计围绕“用户响应特性-电价机制-负荷数据”三大维度展开,各参数功能与作用域明确,共同支撑模型的精准计算。
(一)用户响应特性参数
此类参数用于刻画用户在电价激励下的乐观与悲观响应程度,基于Logistic函数特性设定,直接影响负荷转移率的计算结果。
| 参数类别 | 参数符号 | 取值 | 功能描述 |
|---|---|---|---|
| 乐观响应参数 | al | 0.1 | Logistic函数的上限系数,决定乐观场景下负荷转移率的最大值边界 |
| |bl|0|乐观响应的基础偏移量,调整乐观场景下负荷转移率的整体水平|
| |cl|0.4|乐观响应的阈值参数,反映用户对电价变化产生乐观响应的临界点|
| |ul|0.1|乐观响应的平滑系数,控制Logistic函数曲线的陡峭程度,影响响应灵敏度|
|悲观响应参数|ab|0.104|Logistic函数的上限系数,决定悲观场景下负荷转移率的最大值边界|
| |bb|-0.0036|悲观响应的基础偏移量,调整悲观场景下负荷转移率的整体水平(负值体现保守性)|

负荷需求响应模型 基于Logistic函数 采用matlab编程,考虑电价激励下的乐观响应和悲观响应,利用负荷需求响应模型得到峰转平、平转谷的实际负荷转移率,从而得到基于Logistic函数的负荷转移对比,程序运行稳定
| |cb|0.4|悲观响应的阈值参数,反映用户对电价变化产生悲观响应的临界点|
| |ub|0.1|悲观响应的平滑系数,控制悲观场景下Logistic函数曲线的陡峭程度|
|响应隶属度参数|apv|0.1|乐观响应的起始阈值,当电价差低于此值时,用户乐观响应不明显|
| |bpv|0.7|乐观响应的饱和阈值,当电价差高于此值时,用户乐观响应达到稳定状态|
(二)电价机制参数
该类参数定义了一天内不同时段的电价标准,是触发用户需求响应的核心激励信号,同时用于计算电价差以驱动负荷转移逻辑。
| 参数符号 | 取值 | 功能描述 |
|---|---|---|
| jf | 0.8118 | 峰段电价(元/单位电量),一天中用电高峰时段的电价,通常最高 |
| jg | 0.4438 | 谷段电价(元/单位电量),一天中用电低谷时段的电价,通常最低 |
| jp | 0.5713 | 平段电价(元/单位电量),介于峰段与谷段之间的常规时段电价 |
| dj | 数组 | 24小时电价序列,按“7小时谷段→7小时峰段→4小时平段→4小时峰段→2小时平段”的时段划分,自动匹配对应时段的电价取值 |
(三)负荷数据参数
此类参数包含原始负荷数据与负荷转移调整系数,前者是模型计算的基础输入,后者用于优化负荷转移的合理性与实际适用性。
| 参数符号 | 取值/形式 | 功能描述 |
|---|---|---|
| pload1 | 24维数组 | 原始负荷数据(已归一化处理,除以20),记录一天中每小时的初始用电负荷 |
| theta1-theta6 | 0.8、0.9、1(等) | 负荷转移调整系数,根据不同负荷转移场景(如峰转平、峰转谷)的实际可行性,对转移量进行修正,避免极端值影响模型合理性 |
三、核心算法逻辑
代码的核心算法围绕“负荷转移率计算-时段负荷分类统计-负荷转移量计算-结果输出”四大步骤展开,各步骤环环相扣,形成完整的需求响应计算流程。
(一)负荷转移率计算(基于Logistic函数)
负荷转移率是衡量用户因电价激励改变用电行为的关键指标,代码针对“峰转平”“峰转谷”“平转谷”三种核心场景,分别计算对应的负荷转移率,且每个场景均融合乐观与悲观响应特性。
- 基础逻辑:以Logistic函数为基础,通过电价差(如峰谷价差detap=jf-jg、峰平价差detapf=jf-jp)作为输入变量,分别计算乐观场景下的最大转移率(lammax)与悲观场景下的最小转移率(lammin)。Logistic函数的核心公式为:
lammax = al/(1+exp(-(电价差-cl)/ul)) + bl(乐观场景)

lammin = ab/(1+exp(-(电价差-cb)/ul)) + bb(悲观场景)
- 响应隶属度修正:引入乐观响应隶属度(mpv、mpf、mfv),根据实际电价差与响应阈值(apv、bpv)的关系,对基础转移率进行修正,得到最终的实际负荷转移率(lambpv、lambpf、lambfv),修正逻辑如下:
- 当电价差≤apv时:用户响应不敏感,取乐观与悲观转移率的平均值;
- 当apv<电价差≤bpv时:用户响应程度随电价差线性提升,转移率介于平均值与乐观最大值之间;
- 当电价差>bpv时:用户响应达到饱和,直接采用乐观场景下的最大转移率。
(二)时段负荷分类统计
为准确计算不同时段的负荷转移量,代码首先对24小时的原始负荷数据按电价时段(谷段、平段、峰段)进行分类统计,具体步骤如下:
- 初始化计数器(kg、kp、kf)与负荷数组(lg、lp、lf),分别对应谷段、平段、峰段;
- 遍历24小时电价序列(dj),根据当前时段电价类型,将对应的原始负荷(pload1)归入相应的负荷数组,并更新计数器;
- 计算各时段的平均负荷(lgm、lpm、lfm),作为后续负荷转移量计算的基础基准值,避免单一时段负荷波动对结果的干扰。
(三)负荷转移量与目标负荷计算
根据不同时段的电价类型,结合已计算的负荷转移率与平均负荷,确定各时段的负荷转移量(q),并最终得到需求响应后的目标负荷(pload2)。
- 负荷转移量规则:
- 平段(dj(t)=jp):负荷向外转移(部分平段负荷转移至谷段或峰段),转移量为负值,计算公式为q(t) = -lambpflpmtheta1 - lambpvlpmtheta2;
- 峰段(dj(t)=jf):负荷双向流动(平段负荷转入、峰段负荷转出至谷段),转移量需综合转入与转出效应,计算公式为q(t) = lambpflpmtheta3 - lambfvlfmtheta4;
- 谷段(dj(t)=jg):负荷向内转移(平段与峰段负荷转入),转移量为正值,计算公式为q(t) = lambpvlgmtheta5 + lambfvlfmtheta6;
- 目标负荷计算:需求响应后的负荷(pload2)等于原始负荷(pload1)与负荷转移量(q)之和,即pload2 = pload1 + q。
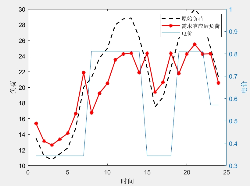
(四)结果可视化输出
代码通过MATLAB的绘图功能,将原始负荷、需求响应后负荷与24小时电价曲线整合在同一图表中,实现结果的直观展示:
- 左侧Y轴:负荷数值,分别以黑色虚线(原始负荷)、红色带星实线(需求响应后负荷)绘制;
- 右侧Y轴:电价数值,以默认线条绘制24小时电价变化;
- X轴:时间(0-24小时);
- 图例标注:清晰区分“原始负荷”“需求响应后负荷”“电价”三条曲线,便于对比分析需求响应对负荷的调控效果。
四、功能价值与应用场景
(一)功能价值
- 精准刻画用户行为:通过乐观与悲观响应参数的设计,突破传统模型“单一响应模式”的局限,更贴合实际中用户对电价激励的差异化反应;
- 量化负荷调控效果:能够清晰计算出不同电价激励下的负荷转移量,为电力调度部门提供量化的调控依据,助力降低峰谷负荷差;
- 可视化分析支持:输出的负荷与电价对比图,可直观呈现需求响应的实施效果,便于技术人员与决策者快速掌握核心信息。
(二)应用场景
- 电力系统调度:用于制定峰谷分时电价政策,优化负荷曲线,减少高峰时段供电压力,提升电网运行稳定性;
- 用户用电策略优化:为工业、商业或居民用户提供用电时段调整建议,帮助用户通过错峰用电降低用电成本;
- 需求响应项目评估:作为需求响应项目的预研与效果评估工具,预测不同电价方案下的负荷响应效果,为项目落地提供数据支撑。
五、模型扩展与优化方向
- 参数自适应优化:当前参数(如al、ab、theta等)为固定取值,未来可引入机器学习算法(如粒子群优化、遗传算法),根据历史负荷与电价数据实现参数的自适应调整,提升模型泛化能力;
- 多因素融合:除电价外,可增加温度、节假日、用户行业类型等影响因素,构建更全面的需求响应模型,提高负荷预测与转移的准确性;
- 实时计算支持:当前代码为离线计算模式,后续可优化为实时计算框架,接入电力系统实时负荷与电价数据,实现需求响应的动态调控。
AtomGit 是由开放原子开源基金会联合 CSDN 等生态伙伴共同推出的新一代开源与人工智能协作平台。平台坚持“开放、中立、公益”的理念,把代码托管、模型共享、数据集托管、智能体开发体验和算力服务整合在一起,为开发者提供从开发、训练到部署的一站式体验。
更多推荐


所有评论(0)