高温下纳米混凝土强度预测 | 8种机器学习模型对比 + SHAP可解释性分析(附380组实验数据)

在建筑行业,混凝土是最常见的材料之一。但你是否知道,当火灾或高温来临时,混凝土的强度会急剧下降,甚至出现爆裂?尤其是在纳米二氧化硅(NS)改性混凝土中,高温对其性能的影响更为复杂。
传统实验方法耗时、费力、成本高。有没有更智能、更高效的方式来预测高温下纳米混凝土的抗压强度?答案是肯定的——机器学习(ML) 正成为这一领域的“神算子”。
01 研究背景:高温是混凝土的“隐形杀手”
混凝土在高温下会发生一系列物理化学变化:水化产物分解、微裂缝扩展、界面过渡区劣化……当温度超过 400℃,其抗压强度可能下降超过 50%。
而纳米二氧化硅(NS) 的加入,虽然能显著提升混凝土的密实度和早期强度,但在高温下的表现却缺乏系统性研究。传统方法难以捕捉其复杂的非线性变化。
因此,如何快速、准确地预测高温下NS混凝土的强度,成为工程界亟需解决的问题。
02 研究目的:用AI“看懂”混凝土
本研究旨在:
-
建立多种机器学习模型,预测高温下NS混凝土的抗压强度(CS);
-
识别影响强度的关键因素;
-
提供可解释的分析工具(SHAP + PDP),指导配合比优化。
一句话:让AI告诉我们,混凝土在“发烧”时还能撑多久。
03 研究方法:8种模型 + 5折交叉验证
数据来源
-
来自27篇已发表文献,共380组实验数据
-
输入参数包括:水泥、NS、SCMs、粗细骨料、水、减水剂、温度
-
输出:抗压强度(CS)
使用的8种ML模型
-
AdaBoost(ADB)
-
Decision Tree(DT)
-
Gradient Boosting(GBR)
-
K-Nearest Neighbors(KNN)
-
LightGBM(LGB)
-
XGBoost(XGB)
-
CatBoost(CatB)
-
Random Forest(RF)
评估方法
-
5折交叉验证
-
评估指标:R²、RMSE、MAE、MAPE
04 研究重难点
重点
-
如何构建一个高质量、多源、标准化的数据集?
-
如何让模型不仅“预测准”,还能“解释得通”?
难点
-
数据来自不同文献,存在实验差异
-
高温下混凝土行为具有强非线性
-
模型需要在精度与泛化能力之间取得平衡
05 研究结果:谁是“最强预测者”?
📊 图13(原文位置:Page 13–14)
散点图:预测值 vs 实际值


图13展示了8种模型在训练集与测试集上的预测效果。
可以看出,GBR、CatB、RF 的点更集中在对角线附近,说明预测值与真实值高度一致。
📈 模型性能排名(测试集 R²)
|
模型 |
R²(测试) |
RMSE(MPa) |
|---|---|---|
| GBR | 0.980 |
3.28 |
| CatB | 0.978 |
3.50 |
| RF | 0.975 |
3.65 |
|
XGB |
0.938 |
5.84 |
|
LGB |
0.908 |
6.81 |
GBR、CatB、RF 表现最优,误差小、泛化能力强。
06 可解释性分析:谁在“主导”强度?
🔥 SHAP分析(图16,原文位置:Page 17–18)

图16(a):SHAP影响值分布
图16(b):特征重要性排名
温度 的平均SHAP值最高(10.83),是影响强度的首要因素
水含量(9.63)紧随其后
NS和SCMs的影响相对较小
📌 交互图(图18,原文位置:Page 20)


图中展示了各参数之间的交互效应。例如:
水泥在 375–400 kg/m³ 时对强度最有利
NS在 10–15 kg/m³ 时显著提升强度
温度超过 400℃ 后,SHAP值由正转负,强度急剧下降
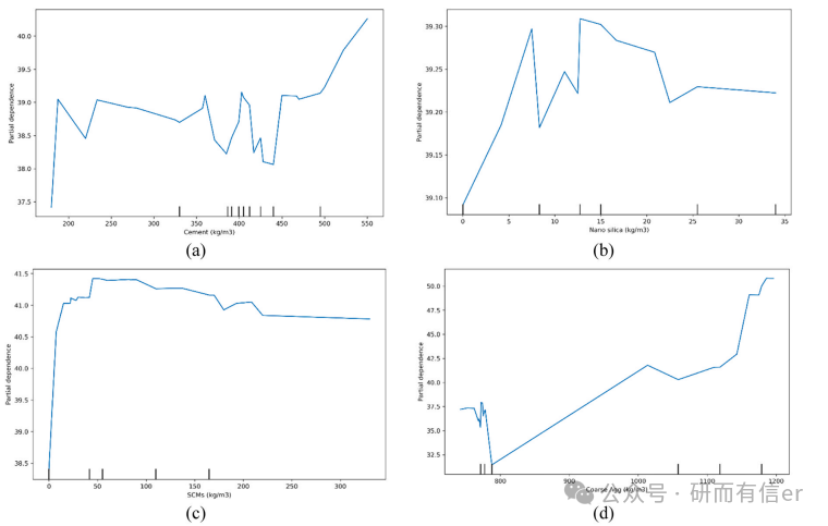
07 PDP分析:优化配合比的关键阈值(图19,原文位置:Page 21)


|
参数 |
最优范围 |
影响趋势 |
|---|---|---|
|
水泥 |
>450 kg/m³ |
正向 ↑ |
|
NS |
≤15 kg/m³ |
正向 ↑ |
|
粗骨料 |
>800 kg/m³ |
正向 ↑ |
|
细骨料 |
>900 kg/m³ |
负向 ↓ |
|
水 |
>140 kg/m³ |
负向 ↓ |
|
温度 |
>400℃ |
负向 ↓ |
这些阈值为工程师提供了明确的配合比优化方向。
08 研究结论
✅ GBR、CatB、RF 是最适合预测高温下NS混凝土强度的模型
✅ 温度和水分 是影响强度的最关键因素
✅ SHAP + PDP 提供了可解释的预测与优化依据
✅ ML模型可显著减少实验次数,降低研发成本
09 未来展望
尽管本研究已取得良好效果,但仍存在以下提升空间:
-
🔍 引入更多元的数据源(如不同纳米材料、不同养护条件)
-
🧠 尝试深度学习模型(如ANN、LSTM)捕捉更复杂的非线性关系
-
🌍 开发在线预测平台,供工程师实时使用
-
🔥 结合火灾场景模拟,提升模型的工程实用性
写在最后
机器学习不是“黑箱”,而是我们理解复杂材料行为的一盏灯。
这项研究不仅为纳米混凝土在高温下的应用提供了科学依据,也展示了数据驱动方法在建筑材料领域的巨大潜力。
如果你也在研究混凝土、纳米材料或智能建造,希望这篇文章能为你带来一些启发。
原论文其它图速览:






参考文献
Sobuz, M.H.R., et al. Machine learning-based modeling to predict and parametrically optimize the compressive strength of nanomaterial concrete composites exposed to elevated temperatures. Case Studies in Construction Materials, 2025.
注:更多关于机器学习水泥基的前沿知识小编之前有推荐,可以详查置顶文章:ai-MOFs预测筛选技术与机器学习水泥基复合材料应用综述
如果您觉得文章不错,欢迎点赞、关注、收藏及转发~
AtomGit 是由开放原子开源基金会联合 CSDN 等生态伙伴共同推出的新一代开源与人工智能协作平台。平台坚持“开放、中立、公益”的理念,把代码托管、模型共享、数据集托管、智能体开发体验和算力服务整合在一起,为开发者提供从开发、训练到部署的一站式体验。
更多推荐


所有评论(0)