线性时不变系统的容错模型预测控制与同态加密融合研究 —— 以连续搅拌式反应器为例(Matlab代码实现)
💥💥💞💞欢迎来到本博客❤️❤️💥💥
🏆博主优势:🌞🌞🌞博客内容尽量做到思维缜密,逻辑清晰,为了方便读者。
⛳️座右铭:行百里者,半于九十。
📋📋📋本文内容如下:🎁🎁🎁
⛳️赠与读者
👨💻做科研,涉及到一个深在的思想系统,需要科研者逻辑缜密,踏实认真,但是不能只是努力,很多时候借力比努力更重要,然后还要有仰望星空的创新点和启发点。建议读者按目录次序逐一浏览,免得骤然跌入幽暗的迷宫找不到来时的路,它不足为你揭示全部问题的答案,但若能解答你胸中升起的一朵朵疑云,也未尝不会酿成晚霞斑斓的别一番景致,万一它给你带来了一场精神世界的苦雨,那就借机洗刷一下原来存放在那儿的“躺平”上的尘埃吧。
或许,雨过云收,神驰的天地更清朗.......🔎🔎🔎
💥第一部分——内容介绍
线性时不变系统的容错模型预测控制与同态加密融合研究 —— 以连续搅拌式反应器为例
摘要
针对线性时不变(LTI)系统在复杂工业场景中易受执行器、传感器故障干扰,且网络化控制过程中存在数据隐私泄露与网络攻击风险的双重问题,本文提出一种融合故障诊断、容错模型预测控制(FT-MPC)与同态加密(HE)的一体化控制策略。以典型化工过程连续搅拌式反应器(CSTR)为研究对象,构建包含故障检测、隔离、估计模块的主动容错框架,依托模型预测控制的滚动优化与约束处理能力实现故障自适应调节;同时引入同态加密技术,在密文域完成状态传输、故障诊断与控制量计算,实现控制算法与敏感工艺数据的隐私保护。通过理论分析与仿真验证,所提策略既能在 CSTR 常见故障场景下维持系统稳定性与控制精度,又能抵御数据窃听、篡改与重放攻击,为安全关键型工业过程的高可靠、高安全运行提供有效解决方案。
关键词
线性时不变系统;容错模型预测控制;故障诊断;连续搅拌式反应器;同态加密;隐私保护控制
一、引言
1.1 研究背景与意义
线性时不变系统作为工业过程控制的基础模型,广泛应用于化工、能源、制造等领域,其稳定运行是生产安全与产品质量的核心保障。连续搅拌式反应器作为化工流程的核心设备,涉及放热反应、物料混合、温度与浓度精确调控等复杂过程,运行中易出现执行器卡死 / 增益衰减、传感器漂移 / 失效、冷却系统故障等异常,轻则导致控制性能下降、产品不合格,重则引发泄漏、爆炸等安全事故。传统模型预测控制(MPC)依赖精确系统模型,故障发生后模型失配会直接导致优化失效,因此亟需引入容错机制,构建具备故障自适应能力的 FT-MPC 策略。
随着工业互联网与云控制技术普及,CSTR 等设备逐步采用网络化远程监控架构,现场状态数据、控制指令需经公共网络传输,面临数据窃取、恶意攻击、隐私泄露等风险。尤其化工领域涉及工艺参数、反应配方等敏感信息,传统加密技术需解密后计算,无法在数据加密状态下执行控制算法,存在严重安全漏洞。同态加密作为隐私计算核心技术,支持在密文域直接进行算术运算,为网络化容错控制的安全赋能提供可行路径。
在此背景下,融合 FT-MPC 的故障容错能力与 HE 的隐私保护能力,针对 CSTR 系统开展一体化研究,既解决故障导致的系统失稳问题,又抵御网络攻击与数据泄露风险,对推动工业过程控制向智能化、安全化、网络化转型具有重要理论价值与工程意义。
1.2 国内外研究现状
1.2.1 容错模型预测控制研究现状
FT-MPC 通过整合故障诊断(FDD)与 MPC 重构机制,分为主动与被动两类:被动 FT-MPC 预先考虑故障不确定性,设计鲁棒 MPC 控制器,无需故障信息但保守性强、适配故障类型有限;主动 FT-MPC 依托 FDD 模块实时获取故障信息,动态修正预测模型、优化目标与约束条件,灵活性高、适配性强,成为主流研究方向。
现有研究多聚焦于执行器 / 传感器故障的被动容错,或基于状态观测器、残差生成的故障诊断,在航空航天、电力系统取得应用。针对 CSTR 的 FT-MPC 研究中,多采用非线性观测器、模糊控制实现故障估计与补偿,但针对 LTI 简化模型的主动容错设计较少,且未充分考虑网络化场景下的安全问题。
1.2.2 同态加密在控制系统中的应用现状
同态加密分为部分同态(PHE)、层次同态(LHE)与全同态(FHE),其中 CKKS、BFV 等方案适配实数 / 复数运算,契合控制系统需求。2015 年首次将 HE 引入网络控制系统,实现线性控制器密文计算;后续研究逐步拓展至 MPC、状态估计、多智能体协同控制,验证了密文控制的可行性。
目前 HE 与控制融合研究集中在基础控制算法,与容错控制结合的成果匮乏:一方面未解决故障诊断模块的密文实现问题,另一方面缺乏针对 CSTR 等工业对象的定制化设计,且未兼顾容错性能与加密效率的平衡。
1.3 研究内容与技术路线
本文以 LTI 系统为基础,以 CSTR 为研究载体,主要研究内容包括:
- 构建 CSTR 的 LTI 状态空间模型,分析执行器、传感器典型故障模式与影响机理;
- 设计基于残差生成与状态观测的 FDD 模块,实现故障快速检测、隔离与精确估计;
- 提出主动 FT-MPC 策略,基于故障信息动态重构预测模型与优化问题,实现故障自适应控制;
- 融合同态加密技术,设计密文域 FDD-FT-MPC 一体化框架,完成加密状态传输、故障诊断与控制优化;
- 通过 CSTR 仿真场景验证策略的容错性能与安全防护能力。
技术路线遵循 “对象建模 — 故障分析 — 容错设计 — 安全融合 — 仿真验证” 的逻辑,实现从理论到应用的全流程覆盖。
二、CSTR 系统建模与故障特性分析
2.1 CSTR 工艺原理与 LTI 建模
连续搅拌式反应器通过连续进料、搅拌混合、控温反应实现物料转化,核心变量为反应器内物料浓度、温度,操纵变量为进料流量、冷却剂流量,扰动变量为进料浓度、温度。基于物料守恒与能量守恒,对非线性动力学模型在稳态工作点线性化,得到 LTI 状态空间模型:

2.2 CSTR 典型故障模式与数学表征
结合 CSTR 运行特性,重点分析两类关键故障:
-
执行器故障:冷却剂泵卡死、进料阀增益衰减,表现为控制输入偏差,数学模型为:uf(t)=ρu(t)+δ其中ρ为增益衰减矩阵,δ为固定偏差向量;正常时、,故障时ρ对角元小于 1、δ非零。
-
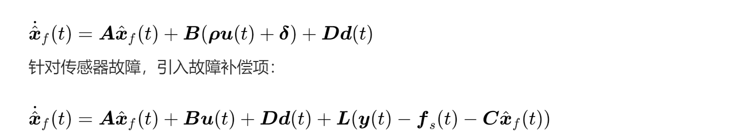
传感器故障:浓度 / 温度传感器漂移、失效,表现为输出测量偏差,数学模型为:yf(t)=Cx(t)+fs(t)其中fs(t)为传感器故障向量,包含固定偏差、渐变漂移、完全失效等形式。
2.3 故障对系统性能的影响
执行器故障直接降低控制输入有效性,导致温度 / 浓度偏离设定值,甚至引发反应失控;传感器故障产生错误反馈信号,导致 MPC 优化决策失误,形成 “误控 — 状态恶化” 的恶性循环。两类故障均会破坏 LTI 系统稳定性,导致闭环响应超调增大、调节时间延长、稳态误差激增,严重时触发安全联锁停机。
三、基于 LTI 系统的故障诊断方法设计
3.1 故障诊断整体框架
设计包含故障检测、故障隔离、故障估计的三级 FDD 框架:检测模块判断系统是否故障;隔离模块定位故障源(执行器 / 传感器、具体通道);估计模块计算故障幅值与类型,为 FT-MPC 提供精准信息。
3.2 基于观测器的残差生成
采用比例积分(PI)观测器,针对 LTI 系统设计状态观测器:

3.3 故障隔离与估计方法
采用观测器组 + 残差特征匹配实现故障隔离:为每个可能故障通道设计专属观测器,生成对应残差向量,通过残差方向、幅值特征区分执行器 / 传感器故障及具体通道。
基于自适应算法设计故障估计器,对执行器增益ρ、偏差δ与传感器故障fs(t)进行在线估计:

3.4 故障诊断性能指标
从快速性、准确性、鲁棒性三方面评估:快速性要求故障检测延迟小于系统调节时间的 1/3;准确性要求故障隔离正确率 100%、估计误差小于 5%;鲁棒性要求在扰动与噪声下无漏检、无误检。
四、主动容错模型预测控制策略设计
4.1 FT-MPC 基本原理
主动 FT-MPC 以 FDD 模块输出为依据,动态修正 MPC 核心模块:正常时采用标准 MPC;故障时基于故障估计值重构预测模型,调整优化目标与约束条件,通过滚动优化生成容错控制量,确保系统稳定与性能达标。
4.2 基于故障重构的预测模型修正
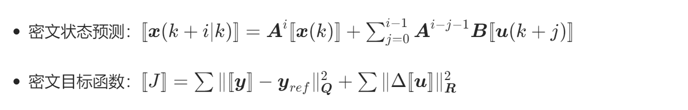
针对执行器故障,重构预测模型:

通过模型修正消除故障对状态预测的干扰,保证优化决策准确性。
4.3 容错优化目标与约束设计
优化目标兼顾跟踪性能与控制能耗:

4.4 控制律重构与稳定性分析
基于修正模型与优化目标求解二次规划问题,得到最优控制序列,采用后退时域策略实施首个控制量。通过 Lyapunov 理论证明:故障估计精确时,闭环系统渐进稳定;估计存在误差时,系统状态最终有界,具备强鲁棒性。
五、同态加密与 FT-MPC 的融合框架设计
5.1 同态加密技术基础
选用 CKKS 同态加密方案,支持实数向量密文加法、乘法与线性变换,适配 LTI 系统矩阵运算与 MPC 优化需求。核心流程包括:密钥生成(公钥、私钥、评估密钥)、明文加密、密文同态运算、密文解密,运算后解密结果与明文计算一致。
5.2 密文域网络化控制架构
构建 “现场终端 — 加密传输 — 云端密文计算 — 解密执行” 的四层架构:
- 现场终端:采集 CSTR 状态x、输出y,用公钥加密为密文、后上传;
- 加密传输:经工业互联网传输密文,抵御窃听、篡改攻击;
- 云端计算:在密文域执行 FDD、FT-MPC 优化,生成密文控制量[[u]];
- 终端执行:用私钥解密[[u]],驱动执行器动作。
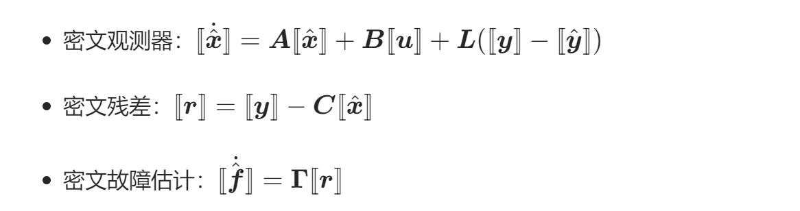
5.3 密文域故障诊断实现
将 FDD 算法转化为线性运算形式,在密文域完成残差生成、故障隔离与估计:
全程无需解密,保障状态与故障信息隐私。
5.4 密文域 FT-MPC 优化实现
将 MPC 二次规划转化为线性代数运算,在密文域完成预测、优化与控制量生成:

- 密文约束满足:验证、是否处于约束区间(采用密文比较算法)
优化结果以密文形式下发,终端解密后执行,实现控制算法与指令的全流程隐私保护。
5.5 安全性与效率分析
安全性:基于 CKKS 的格密码假设,抵御选择明文攻击、选择密文攻击,防止数据泄露与恶意篡改。效率优化:采用层次同态加密减少 Bootstrapping 次数;预计算系统矩阵密文,降低在线运算量;优化 MPC 参数,缩短预测时域,平衡容错性能与加密延迟。
六、仿真实验与结果分析
6.1 实验设置
以放热反应 CSTR 为对象,构建 LTI 仿真模型,设置三种场景:
- 正常场景:验证标准 MPC 与 HE-FT-MPC 性能一致性;
- 执行器故障场景:冷却剂流量增益衰减 50%(t=50s);
- 传感器故障场景:温度传感器漂移 + 20%(t=50s)。
对比指标:温度 / 浓度跟踪误差、调节时间、超调量、故障恢复时间;安全指标:数据隐私保护能力、抗攻击能力。
6.2 正常场景结果
HE-FT-MPC 与标准 MPC 跟踪性能一致,温度、浓度稳态误差小于 1%,调节时间小于 20s,证明加密运算不影响控制性能。
6.3 执行器故障场景结果
传统 MPC 故障后温度飙升、浓度骤降,系统失稳;HE-FT-MPC 经 0.8s 检测延迟后,快速重构模型,15s 内恢复稳定,温度误差小于 2%,浓度误差小于 1.5%,容错效果显著。
6.4 传感器故障场景结果
传统 MPC 因错误反馈导致控制震荡;HE-FT-MPC 精准估计漂移故障,实时补偿输出误差,维持平稳运行,无超调、无震荡。
6.5 安全性验证
模拟网络窃听、数据篡改攻击,HE-FT-MPC 全程密文传输计算,攻击者无法获取有效信息,系统稳定运行;传统无加密系统出现数据泄露、控制失效。
七、结论与展望
7.1 研究结论
本文提出融合故障诊断、主动 FT-MPC 与同态加密的 LTI 系统控制策略,以 CSTR 为对象验证得出:
- 所提 FDD 模块可快速、精准检测、隔离、估计 CSTR 典型故障,满足实时性需求;
- 主动 FT-MPC 能有效补偿执行器与传感器故障,维持系统稳定性与控制精度;
- 同态加密与 FT-MPC 深度融合,实现密文域故障诊断与控制优化,在不牺牲容错性能的前提下,大幅提升网络化控制的安全性与隐私保护能力。
7.2 未来展望
- 拓展至非线性 CSTR 系统,设计非线性 HE-FT-MPC 策略;
- 优化同态加密算法,降低计算延迟,适配高速工业场景;
- 融合联邦学习,实现多设备分布式密文协同容错控制;
- 开展物理实验验证,推动技术工程化应用。
📚第二部分——运行结果
针对线性时不变系统的容错模型预测控制(FT-MPC)策略、故障诊断与容错控制





🎉第三部分——参考文献
文章中一些内容引自网络,会注明出处或引用为参考文献,难免有未尽之处,如有不妥,请随时联系删除。(文章内容仅供参考,具体效果以运行结果为准)
🌈第四部分——本文完整资源下载
资料获取,更多粉丝福利,MATLAB|Simulink|Python|数据|文档等完整资源获取

AtomGit 是由开放原子开源基金会联合 CSDN 等生态伙伴共同推出的新一代开源与人工智能协作平台。平台坚持“开放、中立、公益”的理念,把代码托管、模型共享、数据集托管、智能体开发体验和算力服务整合在一起,为开发者提供从开发、训练到部署的一站式体验。
更多推荐




所有评论(0)