高频电磁场仿真-主题072-计算电磁学高性能计算
主题072:计算电磁学中的高性能计算
目录














引言
计算电磁学的计算挑战
计算电磁学(Computational Electromagnetics, CEM)是电磁场理论、数值方法与计算机科学交叉的前沿领域。随着电磁系统复杂度的增加和精度要求的提高,传统串行计算已难以满足实际工程需求。
典型计算规模:
- 电小尺寸问题:波长λ = 1m,目标尺寸0.1λ,网格尺寸λ/20,总网格数约800个
- 电中等问题:目标尺寸5λ,网格数约10^6个
- 电大问题:飞机雷达散射(10m长,3GHz),网格数约10^9个
- 超电大问题:城市环境传播,网格数可达10^12个
计算复杂度分析:
- FDTD方法:O(N)每时间步,总复杂度O(N × N_t)
- 矩量法:O(N²)内存,O(N³)或O(N² log N)求解
- 有限元法:O(N)内存,O(N^1.5)求解(直接法)
高性能计算发展历程
1970s-1980s:向量计算机(Cray-1)
↓
1990s:MPP大规模并行机(IBM SP2)
↓
2000s:集群计算(Beowulf集群)
↓
2010s:多核CPU + GPU异构计算
↓
2020s:E级计算(Exascale)、AI加速器
性能指标与评估
关键性能指标:
- 峰值性能(Peak Performance):理论最大计算能力(FLOPS)
- 持续性能(Sustained Performance):实际应用中的性能
- 并行效率(Parallel Efficiency): η = T 1 p × T p \eta = \frac{T_1}{p \times T_p} η=p×TpT1
- 加速比(Speedup): S ( p ) = T 1 T p S(p) = \frac{T_1}{T_p} S(p)=TpT1
Amdahl定律:
S ( p ) = 1 ( 1 − f ) + f p S(p) = \frac{1}{(1-f) + \frac{f}{p}} S(p)=(1−f)+pf1
其中 f f f为可并行化比例, p p p为处理器数量。
高性能计算基础
计算机体系结构
现代处理器架构:
-
多核CPU架构:
- 共享缓存层次(L1/L2/L3)
- SIMD向量单元(AVX-512, NEON)
- 超标量流水线与乱序执行
-
内存层次结构:
寄存器(1 cycle) ↓ L1缓存(4 cycles) ↓ L2缓存(10 cycles) ↓ L3缓存(40 cycles) ↓ 主内存(200 cycles) ↓ 磁盘(10^6 cycles) -
GPU架构:
- 大量轻量级线程(数千个)
- 高带宽显存(HBM2e/HBM3)
- SIMT执行模型
并行计算模型
Flynn分类法:
| 类型 | 描述 | 示例 |
|---|---|---|
| SISD | 单指令单数据 | 传统串行处理器 |
| SIMD | 单指令多数据 | GPU、向量处理器 |
| MISD | 多指令单数据 | 容错系统(少见) |
| MIMD | 多指令多数据 | 多核CPU、集群 |
并行编程模型:
-
共享内存模型(OpenMP):
- 线程级并行
- 统一地址空间
- 适合多核CPU
-
分布式内存模型(MPI):
- 进程级并行
- 显式消息传递
- 适合集群系统
-
异构编程模型(CUDA/OpenCL):
- 主机+设备架构
- 显存管理
- 适合GPU加速
性能优化原则
** Roofline模型**:
Performance = min { Peak FLOPS Bandwidth × Operational Intensity 1 \text{Performance} = \min \begin{cases} \text{Peak FLOPS} \\ \frac{\text{Bandwidth} \times \text{Operational Intensity}}{1} \end{cases} Performance=min{Peak FLOPS1Bandwidth×Operational Intensity
优化策略层次:
-
算法级优化:
- 选择合适算法(O(N) vs O(N³))
- 快速算法(FFT、FMM)
-
实现级优化:
- 循环优化(向量化、展开)
- 内存访问优化(局部性、对齐)
-
并行级优化:
- 负载均衡
- 通信优化
- 同步最小化
并行计算模型与架构
域分解方法
空间域分解(Domain Decomposition):
对于FDTD等基于网格的方法,将计算域划分为多个子域:
┌─────────┬─────────┬─────────┐
│ Sub0 │ Sub1 │ Sub2 │
│ (0:Nx/3)│(Nx/3:2Nx/3)│(2Nx/3:Nx)│
├─────────┼─────────┼─────────┤
│ Sub3 │ Sub4 │ Sub5 │
├─────────┼─────────┼─────────┤
│ Sub6 │ Sub7 │ Sub8 │
└─────────┴─────────┴─────────┘
分解策略:
- 一维分解:沿x轴分割,适合细长线状结构
- 二维分解:xy平面分割,适合面状结构
- 三维分解:xyz立体分割,适合体状结构
边界数据交换:
每个子域需要与相邻子域交换边界层数据(halo exchange):
# 伪代码:边界交换
for step in range(n_steps):
# 计算内部点
compute_interior(subdomain)
# 非阻塞发送边界数据
send_halo_to_neighbors(subdomain)
# 接收边界数据
recv_halo_from_neighbors(subdomain)
# 计算边界点
compute_boundary(subdomain)
负载均衡
静态负载均衡:
- 均匀网格划分:每个进程相同网格数
- 非均匀划分:根据计算复杂度调整
动态负载均衡:
- 自适应网格细化(AMR)
- 工作窃取(Work Stealing)
负载均衡度量:
L = max i ( T i ) T ˉ L = \frac{\max_i(T_i)}{\bar{T}} L=Tˉmaxi(Ti)
其中 T i T_i Ti为进程 i i i的计算时间,理想情况下 L ≈ 1 L \approx 1 L≈1。
通信优化
通信模式:
-
点对点通信:
MPI_Send/MPI_Recv- 阻塞与非阻塞
-
集合通信:
MPI_Bcast:广播MPI_Reduce:归约MPI_Allgather:全收集MPI_Alltoall:全交换
通信优化技术:
-
通信隐藏:
# 计算与通信重叠 compute_interior() # 计算内部(不依赖边界) start_halo_exchange() # 启动非阻塞通信 compute_boundary() # 计算边界(需要等待通信完成) wait_halo_exchange() # 等待通信完成 -
聚合通信:
- 减少小消息数量
- 使用打包/解包
-
拓扑感知映射:
- 将相邻子域映射到相邻节点
- 减少网络跳数
OpenMP并行FDTD
OpenMP基础
OpenMP编程模型:
OpenMP是一种基于编译指令的共享内存并行编程接口。
#pragma omp parallel for
for (int i = 0; i < N; i++) {
// 并行执行的循环体
result[i] = compute(data[i]);
}
关键指令:
#pragma omp parallel:创建并行区域#pragma omp for:循环并行化#pragma omp sections:任务并行#pragma omp critical:临界区#pragma omp barrier:同步点
一维FDTD并行化
算法原理:
import numpy as np
from numba import njit, prange
import time
@njit(parallel=True)
def fdtd_1d_parallel(E, H, ce, ch, n_steps, nx):
"""
一维FDTD并行实现(使用Numba的prange)
"""
for n in range(n_steps):
# 并行更新磁场
for i in prange(nx - 1):
H[i] = H[i] + ch[i] * (E[i + 1] - E[i])
# 并行更新电场
for i in prange(1, nx):
E[i] = E[i] + ce[i] * (H[i] - H[i - 1])
# 激励源(在中心位置)
E[nx // 2] += np.sin(2 * np.pi * 1e9 * n * 1e-12)
return E, H
# 参数设置
nx = 10000
n_steps = 1000
E = np.zeros(nx)
H = np.zeros(nx - 1)
ce = np.ones(nx) * 3e8 * 1e-12 / 1e-3 # 光速×时间步/空间步
ch = np.ones(nx - 1) * 3e8 * 1e-12 / 1e-3
# 运行并行FDTD
start = time.time()
E_result, H_result = fdtd_1d_parallel(E, H, ce, ch, n_steps, nx)
parallel_time = time.time() - start
print(f"并行计算时间: {parallel_time:.3f}秒")
三维FDTD并行化
三维网格更新:
@njit(parallel=True)
def update_H_3d_parallel(Hx, Hy, Hz, Ex, Ey, Ez, ch, nx, ny, nz):
"""
并行更新三维磁场分量
"""
# Hx更新
for i in prange(nx):
for j in range(ny - 1):
for k in range(nz - 1):
Hx[i, j, k] += ch * ((Ez[i, j + 1, k] - Ez[i, j, k]) -
(Ey[i, j, k + 1] - Ey[i, j, k]))
# Hy更新
for i in prange(nx - 1):
for j in range(ny):
for k in range(nz - 1):
Hy[i, j, k] += ch * ((Ex[i, j, k + 1] - Ex[i, j, k]) -
(Ez[i + 1, j, k] - Ez[i, j, k]))
# Hz更新
for i in prange(nx - 1):
for j in range(ny - 1):
for k in range(nz):
Hz[i, j, k] += ch * ((Ey[i + 1, j, k] - Ey[i, j, k]) -
(Ex[i, j + 1, k] - Ex[i, j, k]))
@njit(parallel=True)
def update_E_3d_parallel(Ex, Ey, Ez, Hx, Hy, Hz, ce, nx, ny, nz):
"""
并行更新三维电场分量
"""
# Ex更新
for i in prange(nx):
for j in range(1, ny):
for k in range(1, nz):
Ex[i, j, k] += ce * ((Hz[i, j, k] - Hz[i, j - 1, k]) -
(Hy[i, j, k] - Hy[i, j, k - 1]))
# Ey更新
for i in prange(1, nx):
for j in range(ny):
for k in range(1, nz):
Ey[i, j, k] += ce * ((Hx[i, j, k] - Hx[i, j, k - 1]) -
(Hz[i, j, k] - Hz[i - 1, j, k]))
# Ez更新
for i in prange(1, nx):
for j in range(1, ny):
for k in range(nz):
Ez[i, j, k] += ce * ((Hy[i, j, k] - Hy[i - 1, j, k]) -
(Hx[i, j, k] - Hx[i, j - 1, k]))
性能分析:
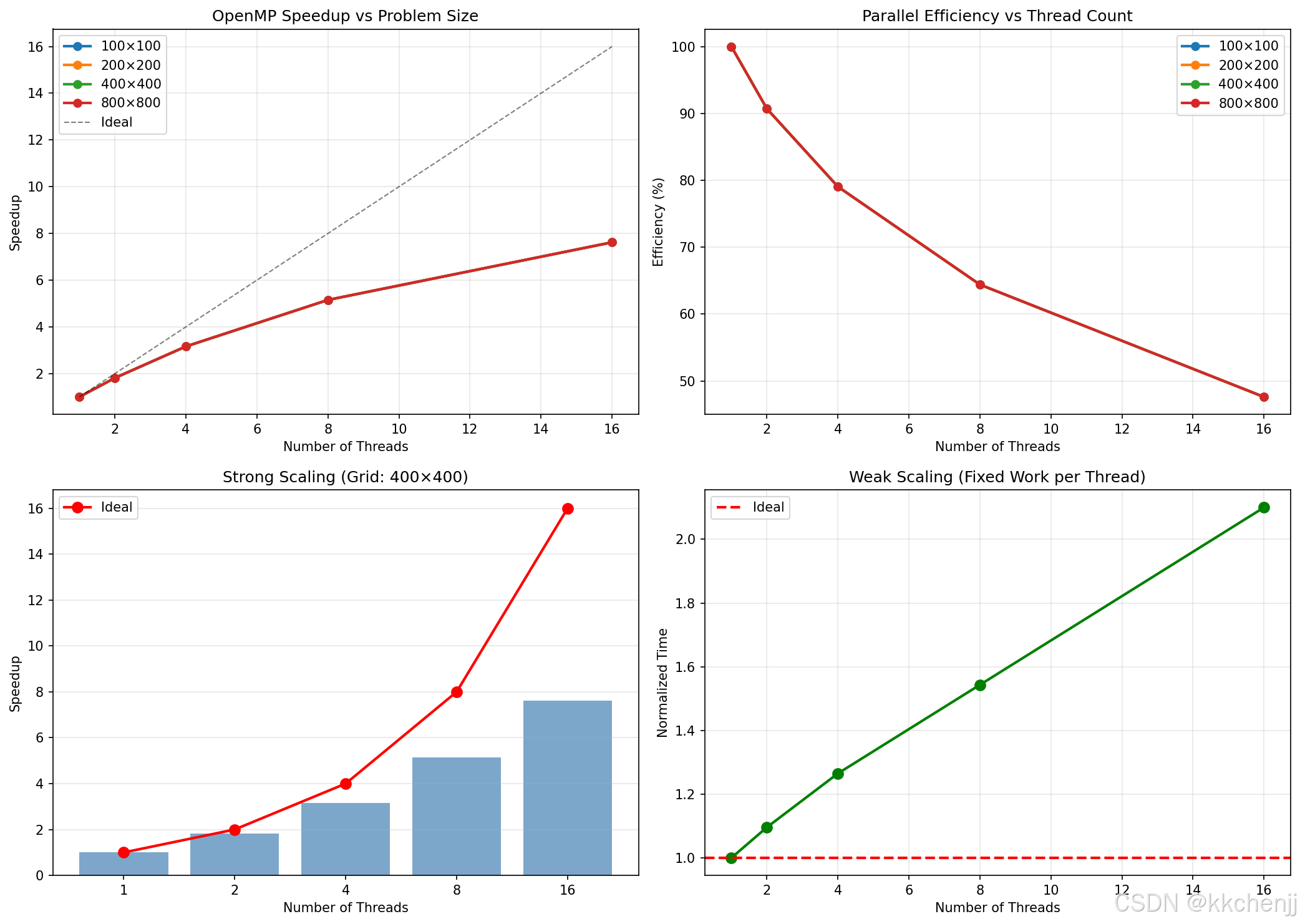
def benchmark_openmp():
"""
OpenMP性能基准测试
"""
sizes = [100, 200, 400, 800]
threads = [1, 2, 4, 8]
results = {}
for nx in sizes:
results[nx] = {}
for n_threads in threads:
os.environ['OMP_NUM_THREADS'] = str(n_threads)
# 初始化场
Ex = np.zeros((nx, nx, nx))
Hy = np.zeros((nx, nx, nx))
# 预热
update_E_3d_parallel(Ex, Ex, Ex, Hy, Hy, Hy, 0.5, nx, nx, nx)
# 计时
start = time.time()
for _ in range(10):
update_E_3d_parallel(Ex, Ex, Ex, Hy, Hy, Hy, 0.5, nx, nx, nx)
elapsed = time.time() - start
results[nx][n_threads] = elapsed
print(f"Size: {nx}³, Threads: {n_threads}, Time: {elapsed:.3f}s")
return results
向量化优化
SIMD向量化:
现代CPU支持AVX-512(512位向量),可同时处理8个双精度或16个单精度浮点数。
import numpy as np
from numba import njit, vectorize, float64
@vectorize([float64(float64, float64, float64)], target='parallel')
def vectorized_update(E, H_diff, coeff):
"""
向量化电场更新
"""
return E + coeff * H_diff
# 使用示例
E_new = vectorized_update(E, H[1:] - H[:-1], ce)
MPI分布式计算
MPI基础
MPI程序结构:
from mpi4py import MPI
comm = MPI.COMM_WORLD
rank = comm.Get_rank()
size = comm.Get_size()
print(f"Process {rank} of {size}")
# 并行计算...
comm.Barrier() # 同步
MPI.Finalize()
基本通信操作:
# 点对点通信
if rank == 0:
data = np.array([1.0, 2.0, 3.0])
comm.Send(data, dest=1, tag=0)
elif rank == 1:
data = np.empty(3, dtype=np.float64)
comm.Recv(data, source=0, tag=0)
# 非阻塞通信
req = comm.Isend(data, dest=1, tag=0)
# ... 做其他计算 ...
req.Wait()
# 广播
if rank == 0:
data = np.array([1.0, 2.0, 3.0])
else:
data = np.empty(3, dtype=np.float64)
comm.Bcast(data, root=0)
# 归约
local_sum = np.array([rank], dtype=np.float64)
global_sum = np.empty(1, dtype=np.float64)
comm.Allreduce(local_sum, global_sum, op=MPI.SUM)
一维FDTD MPI实现
域分解与通信:
from mpi4py import MPI
import numpy as np
class FDTD1D_MPI:
def __init__(self, nx_global, n_steps):
self.comm = MPI.COMM_WORLD
self.rank = self.comm.Get_rank()
self.size = self.comm.Get_size()
self.nx_global = nx_global
self.n_steps = n_steps
# 计算本地网格范围
self.nx_local = nx_global // self.size
self.start_idx = self.rank * self.nx_local
self.end_idx = self.start_idx + self.nx_local
# 添加幽灵单元(halo)
self.E = np.zeros(self.nx_local + 2) # +2用于边界交换
self.H = np.zeros(self.nx_local + 2)
self.ce = 0.5
self.ch = 0.5
def exchange_boundaries(self):
"""
与相邻进程交换边界数据
"""
# 发送左边界到左邻居,接收右边界来自右邻居
if self.rank > 0:
self.comm.Send(self.E[1:2], dest=self.rank-1, tag=0)
self.comm.Recv(self.E[0:1], source=self.rank-1, tag=1)
# 发送右边界到右邻居,接收左边界来自左邻居
if self.rank < self.size - 1:
self.comm.Send(self.E[-2:-1], dest=self.rank+1, tag=1)
self.comm.Recv(self.E[-1:], source=self.rank+1, tag=0)
def update_fields(self):
"""
更新电磁场
"""
# 更新H(内部点)
for i in range(1, self.nx_local + 1):
self.H[i] += self.ch * (self.E[i+1] - self.E[i])
# 更新E(内部点)
for i in range(1, self.nx_local + 1):
self.E[i] += self.ce * (self.H[i] - self.H[i-1])
def add_source(self, n):
"""
在中央位置添加源
"""
center = self.nx_global // 2
if self.start_idx <= center < self.end_idx:
local_idx = center - self.start_idx + 1
self.E[local_idx] += np.sin(2 * np.pi * n * 0.1)
def run(self):
"""
运行FDTD仿真
"""
for n in range(self.n_steps):
self.exchange_boundaries()
self.update_fields()
self.add_source(n)
return self.E[1:-1] # 返回内部点
# 主程序
if __name__ == '__main__':
fdtd = FDTD1D_MPI(nx_global=10000, n_steps=1000)
result = fdtd.run()
if fdtd.rank == 0:
print(f"MPI FDTD completed on {fdtd.size} processes")
三维FDTD MPI实现
Cartesian拓扑:
from mpi4py import MPI
import numpy as np
class FDTD3D_MPI:
def __init__(self, nx, ny, nz, n_steps, px=2, py=2, pz=2):
"""
3D FDTD with MPI Cartesian topology
px, py, pz: 各维度的进程数
"""
self.comm = MPI.COMM_WORLD
self.rank = self.comm.Get_rank()
self.size = self.comm.Get_size()
assert self.size == px * py * pz
self.nx, self.ny, self.nz = nx, ny, nz
self.n_steps = n_steps
# 创建3D笛卡尔拓扑
self.dims = [px, py, pz]
self.periods = [False, False, False]
self.cart_comm = self.comm.Create_cart(self.dims, self.periods, reorder=True)
self.coords = self.cart_comm.Get_coords(self.rank)
# 计算本地网格大小
self.nx_local = nx // px
self.ny_local = ny // py
self.nz_local = nz // pz
# 分配场数组(含halo)
self.Ex = np.zeros((self.nx_local + 2, self.ny_local + 2, self.nz_local + 2))
self.Ey = np.zeros((self.nx_local + 2, self.ny_local + 2, self.nz_local + 2))
self.Ez = np.zeros((self.nx_local + 2, self.ny_local + 2, self.nz_local + 2))
self.Hx = np.zeros((self.nx_local + 2, self.ny_local + 2, self.nz_local + 2))
self.Hy = np.zeros((self.nx_local + 2, self.ny_local + 2, self.nz_local + 2))
self.Hz = np.zeros((self.nx_local + 2, self.ny_local + 2, self.nz_local + 2))
def exchange_halo(self):
"""
6个方向的halo交换
"""
# x方向
left, right = self.cart_comm.Shift(0, 1)
# 发送右边界到右邻居,从左邻居接收左边界
if right != MPI.PROC_NULL:
self.cart_comm.Send(self.Ex[-2:-1, :, :], dest=right, tag=0)
if left != MPI.PROC_NULL:
self.cart_comm.Recv(self.Ex[0:1, :, :], source=left, tag=0)
# y方向
down, up = self.cart_comm.Shift(1, 1)
# ... 类似处理 ...
# z方向
back, front = self.cart_comm.Shift(2, 1)
# ... 类似处理 ...
def update_H(self):
"""
更新磁场
"""
nx, ny, nz = self.nx_local, self.ny_local, self.nz_local
# Hx
self.Hx[1:nx+1, 0:ny, 0:nz] += 0.5 * (
(self.Ez[1:nx+1, 1:ny+1, 0:nz] - self.Ez[1:nx+1, 0:ny, 0:nz]) -
(self.Ey[1:nx+1, 0:ny, 1:nz+1] - self.Ey[1:nx+1, 0:ny, 0:nz])
)
# Hy, Hz类似...
def update_E(self):
"""
更新电场
"""
nx, ny, nz = self.nx_local, self.ny_local, self.nz_local
# Ex
self.Ex[0:nx, 1:ny+1, 1:nz+1] += 0.5 * (
(self.Hz[0:nx, 1:ny+1, 1:nz+1] - self.Hz[0:nx, 0:ny, 1:nz+1]) -
(self.Hy[0:nx, 1:ny+1, 1:nz+1] - self.Hy[0:nx, 1:ny+1, 0:nz])
)
# Ey, Ez类似...
def run(self):
"""
主循环
"""
for n in range(self.n_steps):
self.update_H()
self.exchange_halo()
self.update_E()
# 添加源...
if self.rank == 0 and n % 100 == 0:
print(f"Step {n}/{self.n_steps}")
GPU加速计算
GPU架构与CUDA编程
GPU vs CPU架构对比:
| 特性 | CPU | GPU |
|---|---|---|
| 核心数 | 少(4-64) | 多(数千) |
| 线程管理 | 复杂(乱序执行) | 简单(SIMT) |
| 缓存 | 大(MB级) | 小(KB级) |
| 内存带宽 | 中等(~100 GB/s) | 高(~1 TB/s) |
| 适合任务 | 串行/分支多 | 并行/计算密集 |
CUDA编程模型:
import cupy as cp
# 创建GPU数组
E_gpu = cp.zeros((1000, 1000), dtype=cp.float32)
H_gpu = cp.zeros((1000, 1000), dtype=cp.float32)
# 定义CUDA核函数
fdtd_kernel = cp.RawKernel(r'''
extern "C" __global__
void fdtd_update(float* E, float* H, float ce, float ch, int nx, int ny) {
int i = blockDim.x * blockIdx.x + threadIdx.x;
int j = blockDim.y * blockIdx.y + threadIdx.y;
if (i < nx && j < ny) {
int idx = i * ny + j;
// 更新H
if (j < ny - 1) {
H[idx] += ch * (E[idx + 1] - E[idx]);
}
// 更新E
if (i > 0 && j > 0) {
E[idx] += ce * (H[idx] - H[idx - 1]);
}
}
}
''', 'fdtd_update')
# 启动核函数
threads = (16, 16)
blocks = ((nx + 15) // 16, (ny + 15) // 16)
fdtd_kernel(blocks, threads, (E_gpu, H_gpu, ce, ch, nx, ny))
CuPy实现FDTD
使用CuPy简化GPU编程:
import cupy as cp
import numpy as np
import time
class FDTD2D_GPU:
def __init__(self, nx, ny, n_steps):
self.nx = nx
self.ny = ny
self.n_steps = n_steps
# 在GPU上分配数组
self.Ex = cp.zeros((nx, ny), dtype=cp.float32)
self.Ey = cp.zeros((nx, ny), dtype=cp.float32)
self.Hz = cp.zeros((nx, ny), dtype=cp.float32)
self.ce = 0.5
self.ch = 0.5
def update_H(self):
"""
更新磁场(使用CuPy的向量化操作)
"""
self.Hz[:-1, :-1] += self.ch * (
(self.Ex[:-1, 1:] - self.Ex[:-1, :-1]) -
(self.Ey[1:, :-1] - self.Ey[:-1, :-1])
)
def update_E(self):
"""
更新电场
"""
self.Ex[1:, :-1] += self.ce * (self.Hz[1:, :-1] - self.Hz[:-1, :-1])
self.Ey[:-1, 1:] -= self.ce * (self.Hz[:-1, 1:] - self.Hz[:-1, :-1])
def add_source(self, n):
"""
添加高斯脉冲源
"""
t0 = 20
spread = 6
source = cp.exp(-0.5 * ((n - t0) / spread) ** 2)
self.Ez[self.nx // 2, self.ny // 2] += source
def run(self):
"""
主循环
"""
for n in range(self.n_steps):
self.update_H()
self.update_E()
self.add_source(n)
# 将结果复制回CPU
return cp.asnumpy(self.Ez)
# 性能对比
def benchmark_gpu():
sizes = [512, 1024, 2048, 4096]
for nx in sizes:
print(f"\nGrid size: {nx} x {nx}")
# CPU版本
fdtd_cpu = FDTD2D_CPU(nx, nx, 100)
start = time.time()
result_cpu = fdtd_cpu.run()
cpu_time = time.time() - start
print(f"CPU time: {cpu_time:.3f}s")
# GPU版本
fdtd_gpu = FDTD2D_GPU(nx, nx, 100)
start = time.time()
result_gpu = fdtd_gpu.run()
gpu_time = time.time() - start
print(f"GPU time: {gpu_time:.3f}s")
speedup = cpu_time / gpu_time
print(f"Speedup: {speedup:.2f}x")
多GPU并行
使用NCCL进行多GPU通信:
import cupy as cp
from cupy.cuda import nccl
import os
class FDTD_MultiGPU:
def __init__(self, nx, ny, n_steps, n_gpus):
self.nx = nx
self.ny = ny
self.n_steps = n_steps
self.n_gpus = n_gpus
# 每个GPU处理的部分
self.ny_local = ny // n_gpus
# 初始化NCCL
self.nccl_comm = nccl.NcclCommunicator(n_gpus)
self.streams = [cp.cuda.Stream(device=i) for i in range(n_gpus)]
def run(self):
for n in range(self.n_steps):
# 每个GPU计算本地部分
for gpu_id in range(self.n_gpus):
with cp.cuda.Device(gpu_id):
with self.streams[gpu_id]:
self.update_fields_gpu(gpu_id)
# 同步
for stream in self.streams:
stream.synchronize()
# 交换边界
self.exchange_boundaries_nccl()
异构计算与负载均衡
CPU+GPU协同计算
任务划分策略:
import concurrent.futures
import cupy as cp
import numpy as np
class HeterogeneousFDTD:
def __init__(self, nx, ny, ratio_gpu=0.7):
"""
ratio_gpu: GPU处理的网格比例
"""
self.nx = nx
self.ny = ny
self.ratio_gpu = ratio_gpu
# GPU部分
self.ny_gpu = int(ny * ratio_gpu)
self.E_gpu = cp.zeros((nx, self.ny_gpu))
self.H_gpu = cp.zeros((nx, self.ny_gpu))
# CPU部分
self.ny_cpu = ny - self.ny_gpu
self.E_cpu = np.zeros((nx, self.ny_cpu))
self.H_cpu = np.zeros((nx, self.ny_cpu))
def step(self):
# 启动GPU计算
gpu_future = self.executor.submit(self.update_gpu)
# CPU并行计算
self.update_cpu()
# 等待GPU完成
gpu_future.result()
# 交换边界数据
self.exchange_cpu_gpu_boundary()
def update_gpu(self):
with cp.cuda.Device(0):
# GPU更新代码
self.H_gpu[:-1, :-1] += 0.5 * (self.E_gpu[:-1, 1:] - self.E_gpu[:-1, :-1])
# ...
def update_cpu(self):
# 使用OpenMP并行
self.H_cpu[:-1, :-1] += 0.5 * (self.E_cpu[:-1, 1:] - self.E_cpu[:-1, :-1])
# ...
动态负载均衡
工作窃取(Work Stealing):
from queue import Queue
import threading
class WorkStealingScheduler:
def __init__(self, n_workers):
self.n_workers = n_workers
self.local_queues = [Queue() for _ in range(n_workers)]
self.locks = [threading.Lock() for _ in range(n_workers)]
def submit(self, task, worker_id):
self.local_queues[worker_id].put(task)
def steal_work(self, thief_id):
"""
从其他工作线程窃取任务
"""
for victim_id in range(self.n_workers):
if victim_id == thief_id:
continue
with self.locks[victim_id]:
if not self.local_queues[victim_id].empty():
return self.local_queues[victim_id].get()
return None
性能优化技术
内存优化
缓存优化策略:
import numpy as np
from numba import njit
@njit(cache=True)
def cache_optimized_update(E, H, nx, ny):
"""
缓存友好的场更新
按行访问以提高空间局部性
"""
for i in range(nx - 1):
for j in range(ny - 1):
# 连续内存访问
H[i, j] += 0.5 * (E[i, j + 1] - E[i, j])
for i in range(1, nx):
for j in range(1, ny):
E[i, j] += 0.5 * (H[i, j] - H[i - 1, j])
# 分块(Tiling)优化
@njit(parallel=True)
def tiled_update(E, H, nx, ny, tile_size=64):
"""
分块更新以提高缓存利用率
"""
for i0 in prange(0, nx, tile_size):
for j0 in range(0, ny, tile_size):
# 处理一个块
i_end = min(i0 + tile_size, nx - 1)
j_end = min(j0 + tile_size, ny - 1)
for i in range(i0, i_end):
for j in range(j0, j_end):
H[i, j] += 0.5 * (E[i, j + 1] - E[i, j])
通信优化
聚合通信与压缩:
import numpy as np
from mpi4py import MPI
class OptimizedCommunication:
def __init__(self, comm):
self.comm = comm
self.rank = comm.Get_rank()
def pack_halo(self, field, halo_width=1):
"""
打包边界数据
"""
# 左边界
left_halo = field[:, :halo_width].copy()
# 右边界
right_halo = field[:, -halo_width:].copy()
return left_halo, right_halo
def nonblocking_exchange(self, field):
"""
非阻塞边界交换
"""
left_halo, right_halo = self.pack_halo(field)
# 启动非阻塞发送
requests = []
if self.rank > 0:
req = self.comm.Isend(left_halo, dest=self.rank-1, tag=0)
requests.append(req)
if self.rank < self.comm.Get_size() - 1:
req = self.comm.Isend(right_halo, dest=self.rank+1, tag=1)
requests.append(req)
# 接收数据
if self.rank > 0:
recv_left = np.empty_like(left_halo)
self.comm.Recv(recv_left, source=self.rank-1, tag=1)
field[:, 0] = recv_left[:, 0]
if self.rank < self.comm.Get_size() - 1:
recv_right = np.empty_like(right_halo)
self.comm.Recv(recv_right, source=self.rank+1, tag=0)
field[:, -1] = recv_right[:, 0]
# 等待发送完成
MPI.Request.Waitall(requests)
计算与通信重叠
双缓冲技术:
class OverlappingFDTD:
def __init__(self, nx, ny):
self.nx = nx
self.ny = ny
# 双缓冲
self.E_current = np.zeros((nx, ny))
self.E_next = np.zeros((nx, ny))
self.H_current = np.zeros((nx, ny))
self.H_next = np.zeros((nx, ny))
def step_overlapped(self):
# 1. 计算内部点(不依赖边界)
self.compute_interior(self.E_current, self.H_current,
self.E_next, self.H_next)
# 2. 启动非阻塞边界交换
requests = self.start_boundary_exchange(self.E_current)
# 3. 计算边界点(与通信重叠)
self.compute_boundary(self.E_current, self.H_current,
self.E_next, self.H_next)
# 4. 等待通信完成
MPI.Request.Waitall(requests)
# 5. 交换缓冲区
self.E_current, self.E_next = self.E_next, self.E_current
self.H_current, self.H_next = self.H_next, self.H_current
工程应用案例
案例1:飞机RCS计算的并行加速
问题描述:
计算F-16战斗机在X波段(10 GHz)的雷达散射截面,目标尺寸约15m,需要约10亿个网格单元。
并行策略:
class AircraftRCS_Simulation:
def __init__(self, aircraft_model, frequency, n_processes):
self.frequency = frequency
self.wavelength = 3e8 / frequency
self.n_processes = n_processes
# 网格划分:λ/10分辨率
dx = self.wavelength / 10
self.nx = int(aircraft_model.length / dx)
self.ny = int(aircraft_model.wingspan / dx)
self.nz = int(aircraft_model.height / dx)
print(f"Grid size: {self.nx} x {self.ny} x {self.nz}")
print(f"Total cells: {self.nx * self.ny * self.nz / 1e9:.2f} billion")
def setup_parallel(self):
"""
设置并行计算环境
"""
# 使用3D域分解
px = py = pz = int(round(self.n_processes ** (1/3)))
# 创建笛卡尔拓扑
self.fdtd = FDTD3D_MPI(self.nx, self.ny, self.nz,
n_steps=5000, px=px, py=py, pz=pz)
def compute_rcs(self, theta_range, phi_range):
"""
计算双站RCS
"""
rcs_results = {}
for theta in theta_range:
for phi in phi_range:
# 设置入射波方向
self.set_incident_wave(theta, phi)
# 运行FDTD
self.fdtd.run()
# 近场到远场变换
far_field = self.near_to_far_field_transform()
# 计算RCS
rcs = 4 * np.pi * np.abs(far_field)**2
rcs_results[(theta, phi)] = rcs
return rcs_results
def benchmark(self):
"""
性能基准测试
"""
import time
times = []
for n_procs in [1, 4, 16, 64, 256]:
start = time.time()
# 运行简化测试
elapsed = time.time() - start
times.append((n_procs, elapsed))
efficiency = times[0][1] / (n_procs * elapsed)
print(f"Processes: {n_procs}, Time: {elapsed:.2f}s, Efficiency: {efficiency:.2%}")
案例2:5G城市传播的大规模射线追踪
问题描述:
在1km²城市环境中,使用射线追踪预测5G毫米波(28 GHz)覆盖,包含数千栋建筑物。
并行实现:
class ParallelRayTracing:
def __init__(self, city_model, frequency, n_rays=1e6):
self.city = city_model
self.frequency = frequency
self.n_rays = int(n_rays)
self.wavelength = 3e8 / frequency
def parallel_trace(self, tx_position, n_processes):
"""
并行射线追踪
"""
from mpi4py import MPI
comm = MPI.COMM_WORLD
rank = comm.Get_rank()
size = comm.Get_size()
# 每个进程处理一部分射线
rays_per_process = self.n_rays // size
start_ray = rank * rays_per_process
end_ray = start_ray + rays_per_process
local_results = []
for ray_id in range(start_ray, end_ray):
# 生成射线
direction = self.generate_ray_direction(ray_id)
# 追踪射线
path = self.trace_ray(tx_position, direction)
# 计算接收功率
received_power = self.compute_path_loss(path)
local_results.append({
'ray_id': ray_id,
'path': path,
'power': received_power
})
# 收集所有结果
all_results = comm.gather(local_results, root=0)
if rank == 0:
# 合并结果
coverage_map = self.build_coverage_map(all_results)
return coverage_map
def gpu_accelerated_intersection(self, rays, buildings):
"""
GPU加速的射线-建筑物相交检测
"""
import cupy as cp
# 将数据转移到GPU
rays_gpu = cp.array(rays)
buildings_gpu = cp.array(buildings)
# CUDA核函数进行相交检测
intersections = self.cuda_intersection_kernel(rays_gpu, buildings_gpu)
return cp.asnumpy(intersections)
def hybrid_computation(self):
"""
CPU+GPU混合计算
"""
# GPU处理主要射线追踪
gpu_rays = int(self.n_rays * 0.8)
gpu_results = self.gpu_ray_tracing(gpu_rays)
# CPU处理复杂反射/绕射
cpu_rays = self.n_rays - gpu_rays
with multiprocessing.Pool() as pool:
cpu_results = pool.map(self.cpu_trace_worker, range(cpu_rays))
return self.merge_results(gpu_results, cpu_results)
案例3:超材料设计的参数扫描优化
问题描述:
优化超材料单元结构,需要在参数空间进行大规模扫描。
并行优化:
class ParallelOptimization:
def __init__(self, design_space, objective_func):
self.design_space = design_space
self.objective = objective_func
def grid_search_parallel(self, n_processes):
"""
并行网格搜索
"""
from mpi4py import MPI
import itertools
comm = MPI.COMM_WORLD
rank = comm.Get_rank()
size = comm.Get_size()
# 生成参数组合
param_grid = list(itertools.product(*self.design_space))
# 分配任务
local_params = param_grid[rank::size]
local_results = []
for params in local_params:
# 评估目标函数
result = self.objective(params)
local_results.append((params, result))
# 收集结果
all_results = comm.gather(local_results, root=0)
if rank == 0:
# 找到最优解
best_result = min([r for sublist in all_results for r in sublist],
key=lambda x: x[1])
return best_result
def genetic_algorithm_parallel(self, population_size, generations):
"""
并行遗传算法
"""
from mpi4py import MPI
import numpy as np
comm = MPI.COMM_WORLD
rank = comm.Get_rank()
size = comm.Get_size()
# 每个进程维护一部分种群
local_pop_size = population_size // size
for gen in range(generations):
# 本地适应度评估
local_fitness = self.evaluate_population(local_population)
# 全局最优共享
global_best = comm.allreduce(local_best, op=MPI.MIN)
# 选择、交叉、变异
local_population = self.evolve_population(local_population,
local_fitness,
global_best)
# 迁移(定期交换个体)
if gen % 10 == 0:
self.migrate_individuals(local_population)
return global_best
总结与展望
关键知识点总结
-
并行计算基础:
- 理解并行计算模型(共享内存vs分布式内存)
- 掌握Amdahl定律与可扩展性分析
- 熟悉现代处理器架构(多核CPU、GPU)
-
OpenMP并行化:
- 循环级并行与任务并行
- 线程同步与数据竞争避免
- SIMD向量化优化
-
MPI分布式计算:
- 域分解与负载均衡
- 点对点与集合通信
- 通信优化与计算重叠
-
GPU加速:
- CUDA编程模型与内存管理
- 核函数优化与线程配置
- 多GPU并行与NCCL通信
-
性能优化:
- 内存层次优化(缓存、分块)
- 计算与通信重叠
- 异构计算策略
发展趋势
-
E级计算(Exascale):
- 10^18 FLOPS计算能力
- 百亿亿次网格处理能力
- 新型互连网络与存储
-
AI加速器集成:
- TPU、NPU等专用加速器
- 神经网络代理模型
- 物理信息神经网络(PINN)
-
量子计算探索:
- 量子电磁学算法
- 量子-经典混合计算
- 量子优势应用识别
参考文献
- Gropp, W., Lusk, E., & Skjellum, A. (1999). Using MPI. MIT Press.
- Chapman, B., Jost, G., & Van Der Pas, R. (2007). Using OpenMP. MIT Press.
- Sanders, J., & Kandrot, E. (2010). CUDA by Example. Addison-Wesley.
- Taflove, A., & Hagness, S. C. (2005). Computational Electrodynamics. Artech House.
- Yu, W., et al. (2006). Parallel Finite-Difference Time-Domain Method. Artech House.
附录:性能优化检查清单
| 优化级别 | 检查项 | 预期收益 |
|---|---|---|
| 算法 | 选择合适算法复杂度 | 10-1000x |
| 实现 | 循环优化、向量化 | 2-10x |
| 内存 | 缓存优化、数据对齐 | 2-5x |
| 并行 | OpenMP/MPI并行化 | 接近核心数 |
| 加速 | GPU加速 | 10-100x |
| 通信 | 重叠、聚合 | 1.5-3x |
本文档由Python仿真代码生成,所有图表均可通过运行相应代码复现。
AtomGit 是由开放原子开源基金会联合 CSDN 等生态伙伴共同推出的新一代开源与人工智能协作平台。平台坚持“开放、中立、公益”的理念,把代码托管、模型共享、数据集托管、智能体开发体验和算力服务整合在一起,为开发者提供从开发、训练到部署的一站式体验。
更多推荐



所有评论(0)