高频电磁场仿真-主题047-微波滤波器设计
主题047:微波滤波器设计
目录








1. 滤波器基础理论
1.1 滤波器的基本概念
微波滤波器是射频系统中最重要的无源器件之一,用于选择特定频段的信号并抑制其他频段的干扰。滤波器的核心功能是频率选择性,其性能直接影响系统的信噪比、动态范围和抗干扰能力。
滤波器的主要技术指标包括:
频率特性参数:
- 中心频率 f 0 f_0 f0:通带的中心频率
- 带宽 B W BW BW:通带边界频率之差
- 相对带宽: F B W = B W / f 0 FBW = BW/f_0 FBW=BW/f0
- 通带插入损耗:信号通过滤波器时的功率损耗
- 通带波纹:通带内增益的波动程度
选择性参数:
- 过渡带宽度:从通带到阻带的过渡区域
- 阻带抑制:阻带内的最小衰减量
- 矩形系数: K 0.1 = B W − 10 d B / B W − 3 d B K_{0.1} = BW_{-10dB}/BW_{-3dB} K0.1=BW−10dB/BW−3dB,越接近1选择性越好
品质因数:
- 无载品质因数 Q u Q_u Qu:谐振器本身的能量存储与损耗比
- 有载品质因数 Q L Q_L QL:考虑外部耦合后的品质因数
- 外部品质因数 Q e Q_e Qe:仅考虑外部耦合的品质因数
三者关系为:
1 Q L = 1 Q u + 1 Q e \frac{1}{Q_L} = \frac{1}{Q_u} + \frac{1}{Q_e} QL1=Qu1+Qe1
1.2 滤波器的分类
按频率响应分类:
- 低通滤波器(LPF):通过低频,抑制高频
- 高通滤波器(HPF):通过高频,抑制低频
- 带通滤波器(BPF):通过特定频带
- 带阻滤波器(BSF):抑制特定频带
- 全通滤波器(APF):所有频率通过,改变相位特性
按实现技术分类:
- 集总参数滤波器:使用L、C元件,适用于低频
- 分布参数滤波器:使用传输线段,适用于微波频段
- 混合滤波器:集总与分布参数结合
按结构形式分类:
- 腔体滤波器:高Q值,低损耗
- 微带滤波器:平面结构,易于集成
- 波导滤波器:高功率,低损耗
- SAW/BAW滤波器:小型化,高选择性
1.3 滤波器设计流程
微波滤波器的标准设计流程:
步骤1:确定技术指标
↓
步骤2:选择响应类型(Butterworth/Chebyshev/椭圆等)
↓
步骤3:确定滤波器阶数
↓
步骤4:综合低通原型
↓
步骤5:频率变换到目标频段
↓
步骤6:选择实现结构
↓
步骤7:电磁仿真优化
↓
步骤8:加工测试验证
2. 滤波器响应类型
2.1 Butterworth响应
Butterworth滤波器(最大平坦响应)在通带内具有最平坦的幅度特性,没有波纹。
幅度平方函数:
∣ S 21 ( j ω ) ∣ 2 = 1 1 + ω 2 n |S_{21}(j\omega)|^2 = \frac{1}{1 + \omega^{2n}} ∣S21(jω)∣2=1+ω2n1
其中 n n n 为滤波器阶数。
特点:
- 通带内最大平坦,无波纹
- 过渡带较宽,选择性一般
- 群延迟在通带内较平坦
- 适用于对相位线性度要求高的场合
阶数估算:
n ≥ log 10 [ ( 10 A s / 10 − 1 ) / ( 10 A p / 10 − 1 ) ] 2 log 10 ( ω s / ω p ) n \geq \frac{\log_{10}[(10^{A_s/10}-1)/(10^{A_p/10}-1)]}{2\log_{10}(\omega_s/\omega_p)} n≥2log10(ωs/ωp)log10[(10As/10−1)/(10Ap/10−1)]
其中 A p A_p Ap 为通带最大衰减, A s A_s As 为阻带最小衰减。
2.2 Chebyshev响应
Chebyshev滤波器在通带或阻带具有等波纹特性,可以获得更陡峭的过渡带。
第一类Chebyshev(通带等波纹):
∣ S 21 ( j ω ) ∣ 2 = 1 1 + ε 2 T n 2 ( ω ) |S_{21}(j\omega)|^2 = \frac{1}{1 + \varepsilon^2 T_n^2(\omega)} ∣S21(jω)∣2=1+ε2Tn2(ω)1
其中 T n ( ω ) T_n(\omega) Tn(ω) 为n阶Chebyshev多项式:
T n ( ω ) = { cos ( n arccos ω ) ∣ ω ∣ ≤ 1 cosh ( n arccosh ω ) ∣ ω ∣ > 1 T_n(\omega) = \begin{cases} \cos(n\arccos\omega) & |\omega| \leq 1 \\ \cosh(n\text{arccosh}\omega) & |\omega| > 1 \end{cases} Tn(ω)={cos(narccosω)cosh(narccoshω)∣ω∣≤1∣ω∣>1
特点:
- 通带等波纹,阻带单调下降
- 相同阶数下比Butterworth更陡峭
- 通带内有波纹,群延迟波动较大
第二类Chebyshev(阻带等波纹):
∣ S 21 ( j ω ) ∣ 2 = 1 1 + ε 2 [ T n ( ω s / ω p ) T n ( ω s / ω ) ] 2 |S_{21}(j\omega)|^2 = \frac{1}{1 + \varepsilon^2 \left[\frac{T_n(\omega_s/\omega_p)}{T_n(\omega_s/\omega)}\right]^2} ∣S21(jω)∣2=1+ε2[Tn(ωs/ω)Tn(ωs/ωp)]21
特点:
- 通带单调,阻带等波纹
- 通带内无波纹,相位特性较好
2.3 椭圆函数响应(Cauer)
椭圆函数滤波器在通带和阻带都具有等波纹特性,过渡带最陡峭。
幅度平方函数:
∣ S 21 ( j ω ) ∣ 2 = 1 1 + ε 2 R n 2 ( ω , L ) |S_{21}(j\omega)|^2 = \frac{1}{1 + \varepsilon^2 R_n^2(\omega, L)} ∣S21(jω)∣2=1+ε2Rn2(ω,L)1
其中 R n R_n Rn 为椭圆有理函数, L L L 为阻带衰减参数。
特点:
- 通带和阻带都有等波纹
- 相同指标下阶数最低
- 群延迟波动最大
- 设计复杂度最高
2.4 Bessel响应
Bessel滤波器优化群延迟特性,具有最平坦的群延迟响应。
传输函数:
S 21 ( s ) = B n ( 0 ) B n ( s ) S_{21}(s) = \frac{B_n(0)}{B_n(s)} S21(s)=Bn(s)Bn(0)
其中 B n ( s ) B_n(s) Bn(s) 为Bessel多项式。
特点:
- 最大平坦群延迟
- 相位线性度最好
- 幅度选择性较差
- 适用于脉冲信号处理
2.5 高斯响应
高斯滤波器具有高斯形状的幅度响应。
幅度响应:
∣ S 21 ( j ω ) ∣ = e − ω 2 / ( 2 σ 2 ) |S_{21}(j\omega)| = e^{-\omega^2/(2\sigma^2)} ∣S21(jω)∣=e−ω2/(2σ2)
特点:
- 无过冲的阶跃响应
- 良好的时域特性
- 频域选择性较差
3. 低通原型滤波器
3.1 归一化低通原型
滤波器设计通常从归一化低通原型开始,截止频率为1 rad/s,源阻抗和负载阻抗为1Ω。
梯形网络结构:
对于n阶滤波器,有两种基本拓扑:
-
串联电感-并联电容型(T型):
- 串联支路:电感 L k L_k Lk
- 并联支路:电容 C k C_k Ck
-
并联电容-串联电感型(π型):
- 并联支路:电容 C k C_k Ck
- 串联支路:电感 L k L_k Lk
3.2 元件值计算
Butterworth滤波器元件值:
g k = 2 sin ( ( 2 k − 1 ) π 2 n ) , k = 1 , 2 , . . . , n g_k = 2\sin\left(\frac{(2k-1)\pi}{2n}\right), \quad k=1,2,...,n gk=2sin(2n(2k−1)π),k=1,2,...,n
g n + 1 = 1 g_{n+1} = 1 gn+1=1
其中 g k g_k gk 为归一化元件值,对于T型结构,奇数k为电感,偶数k为电容。
Chebyshev滤波器元件值:
g 1 = 2 a 1 γ g_1 = \frac{2a_1}{\gamma} g1=γ2a1
g k = 4 a k − 1 a k b k − 1 g k − 1 , k = 2 , 3 , . . . , n g_k = \frac{4a_{k-1}a_k}{b_{k-1}g_{k-1}}, \quad k=2,3,...,n gk=bk−1gk−14ak−1ak,k=2,3,...,n
其中:
β = ln ( coth L A r 17.37 ) \beta = \ln\left(\coth\frac{L_{Ar}}{17.37}\right) β=ln(coth17.37LAr)
γ = sinh ( β 2 n ) \gamma = \sinh\left(\frac{\beta}{2n}\right) γ=sinh(2nβ)
a k = sin ( ( 2 k − 1 ) π 2 n ) a_k = \sin\left(\frac{(2k-1)\pi}{2n}\right) ak=sin(2n(2k−1)π)
b k = γ 2 + sin 2 ( k π n ) b_k = \gamma^2 + \sin^2\left(\frac{k\pi}{n}\right) bk=γ2+sin2(nkπ)
L A r L_{Ar} LAr 为通带波纹(dB)。
3.3 插入损耗法设计
插入损耗法通过指定插入损耗特性来综合滤波器。
功率损耗比:
P L R = P i n P L = 1 ∣ S 21 ∣ 2 P_{LR} = \frac{P_{in}}{P_L} = \frac{1}{|S_{21}|^2} PLR=PLPin=∣S21∣21
回波损耗:
R L = − 20 log 10 ∣ S 11 ∣ RL = -20\log_{10}|S_{11}| RL=−20log10∣S11∣
电压驻波比:
V S W R = 1 + ∣ S 11 ∣ 1 − ∣ S 11 ∣ VSWR = \frac{1+|S_{11}|}{1-|S_{11}|} VSWR=1−∣S11∣1+∣S11∣
对于无耗网络:
∣ S 11 ∣ 2 + ∣ S 21 ∣ 2 = 1 |S_{11}|^2 + |S_{21}|^2 = 1 ∣S11∣2+∣S21∣2=1
4. 频率变换
4.1 低通到高通的变换
将归一化低通原型变换为高通滤波器:
s → ω c s s \rightarrow \frac{\omega_c}{s} s→sωc
元件变换:
- 串联电感 L k L_k Lk → 串联电容 C k ′ = 1 ω c L k C_k' = \frac{1}{\omega_c L_k} Ck′=ωcLk1
- 并联电容 C k C_k Ck → 并联电感 L k ′ = 1 ω c C k L_k' = \frac{1}{\omega_c C_k} Lk′=ωcCk1
4.2 低通到带通的变换
将归一化低通原型变换为带通滤波器:
s → 1 F B W ( s ω 0 + ω 0 s ) s \rightarrow \frac{1}{FBW}\left(\frac{s}{\omega_0} + \frac{\omega_0}{s}\right) s→FBW1(ω0s+sω0)
其中 F B W = ω 2 − ω 1 ω 0 FBW = \frac{\omega_2 - \omega_1}{\omega_0} FBW=ω0ω2−ω1 为相对带宽, ω 0 = ω 1 ω 2 \omega_0 = \sqrt{\omega_1\omega_2} ω0=ω1ω2 为中心频率。
元件变换:
-
串联电感 L k L_k Lk → 串联LC谐振回路
- L k ′ = L k ω 0 ⋅ F B W L_k' = \frac{L_k}{\omega_0 \cdot FBW} Lk′=ω0⋅FBWLk
- C k ′ = F B W ω 0 L k C_k' = \frac{FBW}{\omega_0 L_k} Ck′=ω0LkFBW
-
并联电容 C k C_k Ck → 并联LC谐振回路
- L k ′ = F B W ω 0 C k L_k' = \frac{FBW}{\omega_0 C_k} Lk′=ω0CkFBW
- C k ′ = C k ω 0 ⋅ F B W C_k' = \frac{C_k}{\omega_0 \cdot FBW} Ck′=ω0⋅FBWCk
4.3 低通到带阻的变换
将归一化低通原型变换为带阻滤波器:
s → F B W s ω 0 + ω 0 s s \rightarrow \frac{FBW}{\frac{s}{\omega_0} + \frac{\omega_0}{s}} s→ω0s+sω0FBW
元件变换:
- 串联电感 L k L_k Lk → 并联LC谐振回路
- 并联电容 C k C_k Ck → 串联LC谐振回路
4.4 阻抗和频率去归一化
实际滤波器设计需要进行阻抗和频率去归一化:
阻抗变换:
- 所有电感乘以 Z 0 / R 0 Z_0/R_0 Z0/R0
- 所有电容乘以 R 0 / Z 0 R_0/Z_0 R0/Z0
其中 Z 0 Z_0 Z0 为目标阻抗, R 0 R_0 R0 为原型阻抗(通常为1Ω)。
频率变换:
- 所有电感除以 ω c / ω c 0 \omega_c/\omega_{c0} ωc/ωc0
- 所有电容除以 ω c / ω c 0 \omega_c/\omega_{c0} ωc/ωc0
其中 ω c \omega_c ωc 为目标截止频率, ω c 0 \omega_{c0} ωc0 为原型截止频率(通常为1 rad/s)。
5. 耦合矩阵综合
5.1 耦合谐振器滤波器
现代微波滤波器通常采用耦合谐振器结构,通过谐振器之间的耦合实现所需的频率响应。
耦合系数:
两个谐振器之间的耦合系数定义为:
k i j = f e 2 − f m 2 f e 2 + f m 2 k_{ij} = \frac{f_{e}^2 - f_{m}^2}{f_{e}^2 + f_{m}^2} kij=fe2+fm2fe2−fm2
其中 f e f_e fe 和 f m f_m fm 分别为偶模和奇模谐振频率。
外部品质因数:
输入/输出耦合的外部品质因数:
Q e = f 0 Δ f 3 d B Q_e = \frac{f_0}{\Delta f_{3dB}} Qe=Δf3dBf0
其中 Δ f 3 d B \Delta f_{3dB} Δf3dB 为谐振器与外部电路耦合后的3dB带宽。
5.2 耦合矩阵理论
n阶耦合谐振器滤波器可以用n×n耦合矩阵描述:
M = [ m 11 m 12 ⋯ m 1 n m 21 m 22 ⋯ m 2 n ⋮ ⋮ ⋱ ⋮ m n 1 m n 2 ⋯ m n n ] \mathbf{M} = \begin{bmatrix} m_{11} & m_{12} & \cdots & m_{1n} \\ m_{21} & m_{22} & \cdots & m_{2n} \\ \vdots & \vdots & \ddots & \vdots \\ m_{n1} & m_{n2} & \cdots & m_{nn} \end{bmatrix} M= m11m21⋮mn1m12m22⋮mn2⋯⋯⋱⋯m1nm2n⋮mnn
其中对角元素 m i i m_{ii} mii 表示自耦合(频率调谐),非对角元素 m i j m_{ij} mij 表示互耦合。
散射参数与耦合矩阵的关系:
S 21 = 2 q e 1 q e n [ A ] n 1 − 1 S_{21} = \frac{2}{\sqrt{q_{e1}q_{en}}}\left[\mathbf{A}\right]^{-1}_{n1} S21=qe1qen2[A]n1−1
S 11 = 1 − 2 q e 1 [ A ] 11 − 1 S_{11} = 1 - \frac{2}{q_{e1}}\left[\mathbf{A}\right]^{-1}_{11} S11=1−qe12[A]11−1
其中:
A = M + ω U − j Q \mathbf{A} = \mathbf{M} + \omega\mathbf{U} - j\mathbf{Q} A=M+ωU−jQ
Q = diag ( q e 1 , 0 , . . . , 0 , q e n ) \mathbf{Q} = \text{diag}(q_{e1}, 0, ..., 0, q_{en}) Q=diag(qe1,0,...,0,qen)
5.3 耦合矩阵综合方法
1. 解析综合法
对于简单的滤波器响应,可以直接从低通原型元件值计算耦合系数:
M i , i + 1 = F B W g i g i + 1 M_{i,i+1} = \frac{FBW}{\sqrt{g_i g_{i+1}}} Mi,i+1=gigi+1FBW
Q e 1 = g 0 g 1 F B W , Q e n = g n g n + 1 F B W Q_{e1} = \frac{g_0 g_1}{FBW}, \quad Q_{en} = \frac{g_n g_{n+1}}{FBW} Qe1=FBWg0g1,Qen=FBWgngn+1
2. 优化综合法
对于复杂的滤波器特性(如传输零点、非对称响应),需要采用优化方法:
- 定义目标响应(S参数)
- 建立耦合矩阵与S参数的关系
- 使用优化算法(如梯度下降、遗传算法)最小化误差函数
- 考虑可实现性约束(如拓扑限制)
3. 矩阵旋转法
通过相似变换将全耦合矩阵转换为可实现的稀疏矩阵:
M ′ = R M R T \mathbf{M}' = \mathbf{R}\mathbf{M}\mathbf{R}^T M′=RMRT
其中 R \mathbf{R} R 为正交旋转矩阵。
5.4 传输零点实现
传输零点可以增强滤波器的阻带抑制能力。
实现方法:
- 交叉耦合:非相邻谐振器之间的耦合产生传输零点
- 源-负载耦合:输入输出之间的直接耦合
- 混合耦合:电耦合与磁耦合的组合
传输零点位置:
对于一对交叉耦合 M i j M_{ij} Mij,传输零点频率:
ω t z = ± M i j 2 − M i − 1 , i M j , j + 1 M i j 2 \omega_{tz} = \pm\sqrt{\frac{M_{ij}^2 - M_{i-1,i}M_{j,j+1}}{M_{ij}^2}} ωtz=±Mij2Mij2−Mi−1,iMj,j+1
6. 微波滤波器实现
6.1 微带滤波器
微带滤波器是平面微波滤波器的主要形式,具有体积小、重量轻、易于集成的优点。
半波长谐振器滤波器:
采用半波长微带线作为谐振器,通过间隙或耦合线实现耦合。
边缘耦合滤波器:
- 平行耦合线结构
- 适用于10-20%带宽
- 设计简单,但尺寸较大
发夹型滤波器:
- 折叠的半波长谐振器
- 节省空间,结构紧凑
- 适用于窄带应用
梳状线滤波器:
- 一端短路,一端接电容
- 尺寸小,但Q值较低
- 适用于1-10%带宽
交指型滤波器:
- 交错的四分之一波长谐振器
- 宽带特性,结构紧凑
- 适用于5-50%带宽
6.2 腔体滤波器
腔体滤波器具有高Q值、低损耗的优点,广泛应用于基站、卫星通信等高性能系统。
同轴腔滤波器:
- 同轴谐振器结构
- Q值可达数千
- 适用于100MHz-6GHz
波导腔滤波器:
- 金属波导腔体
- Q值可达数万
- 适用于高频段(>1GHz)
介质谐振器滤波器:
- 高介电常数介质块
- 温度稳定性好
- 小型化设计
TM模介质滤波器:
- 使用TM模介质谐振器
- 无载Q值可达10000以上
- 适用于移动通信基站
6.3 SAW/BAW滤波器
声表面波(SAW)和体声波(BAW)滤波器是射频前端的关键器件。
SAW滤波器:
- 叉指换能器(IDT)结构
- 适用于<2GHz频段
- 插入损耗2-4dB
BAW滤波器:
- 薄膜体声波谐振器(FBAR)
- 适用于1-10GHz频段
- 插入损耗1-3dB
- 功率容量高
SMR-BAW滤波器:
- 固态安装型BAW
- 使用布拉格反射层
- 无需空气腔
6.4 可调滤波器
可调滤波器可以动态改变中心频率或带宽,在认知无线电、软件定义无线电中有重要应用。
调谐机制:
-
变容二极管调谐:
- 电压控制电容变化
- 调谐速度快(μs级)
- 调谐范围10-30%
-
MEMS调谐:
- 机械式电容/电感调谐
- 高线性度,低损耗
- 调谐速度较慢(ms级)
-
PIN二极管开关:
- 离散频率切换
- 调谐速度快
- 损耗较大
-
YIG调谐:
- 磁场控制谐振频率
- 超宽带调谐(倍频程)
- 需要外部磁路
7. 可调与可重构滤波器
7.1 频率可调滤波器
频率可调滤波器通过改变谐振器的谐振频率实现中心频率调谐。
设计考虑:
- 保持带宽恒定
- 维持阻抗匹配
- 控制调谐非线性
- 优化调谐范围与损耗的权衡
耦合系数与调谐:
对于变容二极管调谐的谐振器:
f 0 ( V ) = 1 2 π L ( C 0 + C j ( V ) ) f_0(V) = \frac{1}{2\pi\sqrt{L(C_0 + C_j(V))}} f0(V)=2πL(C0+Cj(V))1
其中 C j ( V ) = C j 0 / ( 1 + V / V 0 ) n C_j(V) = C_{j0}/(1+V/V_0)^n Cj(V)=Cj0/(1+V/V0)n 为变容二极管电容。
7.2 带宽可调滤波器
带宽可调滤波器可以动态改变滤波器的带宽。
实现方法:
-
耦合系数调谐:
- 改变谐振器间耦合强度
- 使用可调耦合结构
-
多模式谐振器:
- 利用谐振器的多个模式
- 通过模式组合控制带宽
-
开关电容阵列:
- 离散切换电容值
- 实现带宽步进调节
7.3 可重构滤波器
可重构滤波器可以在不同滤波器类型或响应之间切换。
重构方式:
-
拓扑重构:
- 使用开关改变电路拓扑
- 实现LPF/HPF/BPF切换
-
响应重构:
- 改变滤波器阶数
- 切换Butterworth/Chebyshev响应
-
多频带切换:
- 在不同频带间切换
- 适用于多标准通信
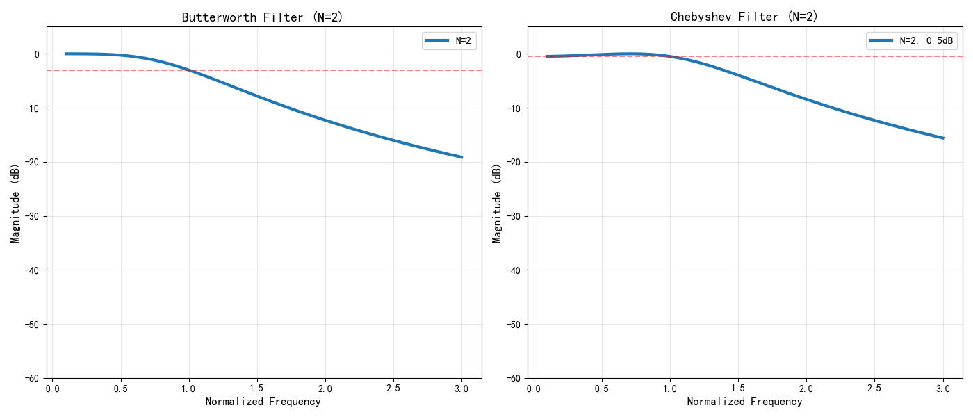
8. Python仿真实现
8.1 滤波器响应计算
import numpy as np
import matplotlib.pyplot as plt
from scipy import signal
# 定义频率范围
f = np.linspace(0.1, 3, 1000) # 归一化频率
omega = 2 * np.pi * f
# Butterworth滤波器响应
def butterworth_response(omega, n):
"""n阶Butterworth滤波器幅度响应"""
return 1 / np.sqrt(1 + omega**(2*n))
# Chebyshev Type I滤波器响应
def chebyshev1_response(omega, n, ripple):
"""n阶Chebyshev Type I滤波器幅度响应"""
epsilon = np.sqrt(10**(ripple/10) - 1)
Tn = np.cosh(n * np.arccosh(np.maximum(np.abs(omega), 1)))
Tn = np.where(np.abs(omega) <= 1,
np.cos(n * np.arccos(omega)), Tn)
return 1 / np.sqrt(1 + epsilon**2 * Tn**2)
# 计算不同阶数的响应
orders = [3, 5, 7]
plt.figure(figsize=(12, 5))
plt.subplot(1, 2, 1)
for n in orders:
H = butterworth_response(omega, n)
plt.plot(f, 20*np.log10(H), label=f'N={n}')
plt.xlabel('Normalized Frequency')
plt.ylabel('Magnitude (dB)')
plt.title('Butterworth Filter Response')
plt.legend()
plt.grid(True)
plt.ylim(-60, 5)
plt.subplot(1, 2, 2)
for n in orders:
H = chebyshev1_response(omega, n, 0.5)
plt.plot(f, 20*np.log10(H + 1e-10), label=f'N={n}, 0.5dB ripple')
plt.xlabel('Normalized Frequency')
plt.ylabel('Magnitude (dB)')
plt.title('Chebyshev Type I Filter Response')
plt.legend()
plt.grid(True)
plt.ylim(-60, 5)
plt.tight_layout()
plt.savefig('filter_responses.png', dpi=150)
8.2 低通原型元件值计算
def butterworth_prototype(n):
"""计算Butterworth滤波器归一化元件值"""
g = np.zeros(n + 2)
for k in range(1, n + 1):
g[k] = 2 * np.sin((2*k - 1) * np.pi / (2*n))
g[n + 1] = 1.0
return g
def chebyshev1_prototype(n, ripple_db):
"""计算Chebyshev Type I滤波器归一化元件值"""
beta = np.log(1/np.tanh(ripple_db * np.log(10) / 17.37))
gamma = np.sinh(beta / (2*n))
g = np.zeros(n + 2)
a = np.zeros(n + 1)
b = np.zeros(n + 1)
for k in range(1, n + 1):
a[k] = np.sin((2*k - 1) * np.pi / (2*n))
b[k] = gamma**2 + np.sin(k * np.pi / n)**2
g[1] = 2 * a[1] / gamma
for k in range(2, n + 1):
g[k] = 4 * a[k-1] * a[k] / (b[k-1] * g[k-1])
if n % 2 == 0:
g[n + 1] = 1 / np.tanh(beta / 4)**2
else:
g[n + 1] = 1.0
return g
# 示例:5阶Butterworth滤波器
n = 5
g = butterworth_prototype(n)
print(f"{n}阶Butterworth滤波器元件值:")
for i in range(1, n + 2):
print(f"g{i} = {g[i]:.6f}")
8.3 耦合矩阵计算
def coupling_matrix_lp(n, g, FBW):
"""从低通原型计算耦合矩阵"""
# 耦合系数
M = np.zeros((n, n))
for i in range(n - 1):
M[i, i+1] = M[i+1, i] = FBW / np.sqrt(g[i+1] * g[i+2])
# 外部品质因数
Qe1 = g[1] / FBW
Qen = g[n] * g[n+1] / FBW
return M, Qe1, Qen
def s_parameters_from_coupling(M, Qe1, Qen, omega):
"""从耦合矩阵计算S参数"""
n = M.shape[0]
Q = np.zeros((n, n))
Q[0, 0] = 1 / Qe1
Q[n-1, n-1] = 1 / Qen
S21 = []
S11 = []
for w in omega:
A = M + w * np.eye(n) - 1j * Q
A_inv = np.linalg.inv(A)
s21 = -2j * np.sqrt(1/(Qe1*Qen)) * A_inv[n-1, 0]
s11 = 1 + 2j * A_inv[0, 0] / Qe1
S21.append(np.abs(s21))
S11.append(np.abs(s11))
return np.array(S21), np.array(S11)
# 示例:4阶Chebyshev滤波器,0.5dB波纹,10%带宽
n = 4
ripple = 0.5
FBW = 0.1
g = chebyshev1_prototype(n, ripple)
M, Qe1, Qen = coupling_matrix_lp(n, g, FBW)
print(f"\n{n}阶Chebyshev滤波器耦合矩阵:")
print(f"外部品质因数: Qe1 = {Qe1:.2f}, Qe{n} = {Qen:.2f}")
print("耦合系数:")
for i in range(n-1):
print(f"M{i+1},{i+2} = {M[i,i+1]:.6f}")
8.4 微带滤波器设计
def microstrip_filter_design(f0, BW, n, substrate):
"""
微带边缘耦合滤波器设计
参数:
f0: 中心频率 (Hz)
BW: 带宽 (Hz)
n: 滤波器阶数
substrate: 基板参数字典 {'er': 相对介电常数, 'h': 厚度(m)}
"""
# 计算导波波长
er_eff = (substrate['er'] + 1) / 2 # 有效介电常数近似
lambda_g = 3e8 / (f0 * np.sqrt(er_eff))
# 谐振器长度(半波长)
L = lambda_g / 2
# 计算耦合系数(基于边缘耦合线理论)
FBW = BW / f0
g = butterworth_prototype(n)
couplings = []
for i in range(n - 1):
k = FBW / np.sqrt(g[i+1] * g[i+2])
couplings.append(k)
# 计算耦合间隙(经验公式)
gaps = []
for k in couplings:
# 简化的间隙计算公式
gap = 0.5 * substrate['h'] * np.exp(-k * 10)
gaps.append(gap)
return {
'resonator_length': L,
'coupling_gaps': gaps,
'coupling_coefficients': couplings,
'guided_wavelength': lambda_g
}
# 设计示例
f0 = 2.4e9 # 2.4 GHz
BW = 240e6 # 10%带宽
n = 3
substrate = {'er': 4.4, 'h': 1.6e-3} # FR4基板
filter_design = microstrip_filter_design(f0, BW, n, substrate)
print(f"微带滤波器设计参数:")
print(f"谐振器长度: {filter_design['resonator_length']*1e3:.2f} mm")
print(f"导波波长: {filter_design['guided_wavelength']*1e3:.2f} mm")
print(f"耦合间隙: {[f'{g*1e3:.3f}' for g in filter_design['coupling_gaps']]} mm")
8.5 滤波器优化设计
from scipy.optimize import minimize
def filter_objective(x, f_target, s21_target):
"""
滤波器优化目标函数
x: 优化变量 [耦合系数, 外部Q值]
"""
n = int((len(x) + 1) / 2)
# 重构耦合矩阵
M = np.zeros((n, n))
idx = 0
for i in range(n - 1):
M[i, i+1] = M[i+1, i] = x[idx]
idx += 1
Qe1 = x[idx]
Qen = x[idx + 1]
# 计算S参数
omega = 2 * np.pi * f_target
S21, _ = s_parameters_from_coupling(M, Qe1, Qen, omega)
# 计算误差
error = np.mean((20*np.log10(S21 + 1e-10) - s21_target)**2)
return error
# 优化示例
n = 4
x0 = np.array([0.1, 0.08, 0.1, 10, 10]) # 初始值
# 目标响应(示例)
f_target = np.linspace(-1, 1, 100)
s21_target = np.where(np.abs(f_target) < 0.5, 0, -40) # 理想矩形响应
# 执行优化
result = minimize(filter_objective, x0, args=(f_target, s21_target),
method='L-BFGS-B')
print("优化结果:")
print(f"优化变量: {result.x}")
print(f"最终误差: {result.fun:.6f}")
9. 设计实例
9.1 5G n78频段带通滤波器设计
设计指标:
- 中心频率:3.5 GHz
- 带宽:200 MHz (5.7%)
- 通带插入损耗:< 2 dB
- 带外抑制:> 40 dB @ f0±300 MHz
设计步骤:
- 选择滤波器类型:Chebyshev,0.5dB波纹
- 确定阶数:根据选择性要求,选择n=5
- 计算低通原型:使用Chebyshev元件值公式
- 频率变换:变换到3.5 GHz中心频率
- 选择实现结构:介质谐振器滤波器
- 电磁仿真优化:使用HFSS或CST进行精细调谐
9.2 WiFi双频滤波器设计
设计指标:
- 2.4 GHz频段:2400-2484 MHz
- 5 GHz频段:5150-5850 MHz
- 隔离度:> 50 dB
实现方案:
- 采用双工器结构
- 使用SAW滤波器实现2.4 GHz
- 使用BAW滤波器实现5 GHz
- 集成在同一封装内
10. 总结与展望
微波滤波器设计是射频工程的核心技术之一。本主题系统介绍了:
- 理论基础:滤波器响应类型、低通原型、频率变换
- 设计方法:耦合矩阵综合、插入损耗法
- 实现技术:微带、腔体、SAW/BAW滤波器
- 高级技术:可调滤波器、可重构滤波器
- 仿真工具:Python实现滤波器分析与优化
发展趋势:
- 更高频率(毫米波、太赫兹)
- 更高集成度(SoC、SiP)
- 智能化调谐(AI辅助设计)
- 新材料应用(LTCC、薄膜技术)
AtomGit 是由开放原子开源基金会联合 CSDN 等生态伙伴共同推出的新一代开源与人工智能协作平台。平台坚持“开放、中立、公益”的理念,把代码托管、模型共享、数据集托管、智能体开发体验和算力服务整合在一起,为开发者提供从开发、训练到部署的一站式体验。
更多推荐



所有评论(0)