一区改进算法都在用光伏参数辨识模型,附Matlab代码免费获取!
本文核心内容:
光伏参数辨识模型介绍
Matlab代码实现及效果展示(可免费获取,包括代码及参考文献)
在投稿改进优化算法的期刊时,若能结合实际应用(如光伏模型参数辨识、无线传感器网络覆盖、无人机路径规划、逆变器调制等),通常更容易中稿。KAU后续也将逐步对这些应用进行介绍并实现代码,其中无人机路径规划部分已在往期推文中呈现。
光伏模型参数辨识在许多一区改进的算法中都有应用中,比如:
Knowledge-Based Systems——Fourier transform optimizer: A novel physics-inspired metaheuristic
algorithm for optimization problems(https://doi.org/10.1016/j.knosys.2026.115651)
Applied Soft Computing——A neural knowledge learning-driven artificial bee colony algorithm with reinforcement adaptation for global optimization(https://doi.org/10.1016/j.asoc.2026.114662)
Swarm and Evolutionary Computation——Enhanced LSHADE-SPACMA with fitness-directed selection pressure mutation and elastic archive for UAV trajectory planning and PV parameter identification(https://doi.org/10.1016/j.swevo.2025.102257)
Applied Mathematical Modelling——Improved Newton-Raphson-based optimizer with gap evolution strategy for multiple engineering problems(https://doi.org/10.1016/j.apm.2025.116425)
Information Sciences——Morlet-controlled parameter adaptive differential evolution with diversity-triggered restart for high-precision photovoltaic model parameter identification(https://doi.org/10.1016/j.ins.2026.123415)
下面KAU就具体介绍光伏模型参数辨识模型。并且,KAU的理论参考都来源于但不限于上述一区论文,代码也完全符合该推文,因此各位朋友写论文时按照该推文参考也是可以的。
1 光伏电池数学建模
光伏系统在实际运行过程中呈现出复杂的非线性物理特性。为在物理机理表征与计算复杂度之间取得平衡,工程中广泛采用等效电路模型进行参数化建模。目前,单二极管模型(SDM)、双二极管模型(DDM)及光伏组件模型是应用最广泛、研究最深入的主流模型。本研究将基于这三类主流模型搭建相应的数学建模框架,为后续参数辨识、性能分析及系统优化奠定理论基础。
1.1 单二极管模型
单二极管模型(SDM)的等效电路如图1所示,该模型采用五个关键参数表征光伏电池:光生电流(Iph)、二极管反向饱和电流(Is)、二极管理想因子(a)、表征串联连接电阻损耗的串联电阻(Rs),以及表征并联支路漏电流的并联电阻(Rsh)。输出电流I可通过从光生电流Iph中减去二极管电流Id和并联电阻电流Ish计算得出:
二极管电流Id由下式获得:
其中,V是输出电压,Ish可由欧姆定律得到:
由此,出单二极管模型(SDM)的表达式:
其中,q表示元电荷,k代表玻尔兹曼常数,T指绝对温度。精确的参数值能够提升光伏系统的运行效率、降低运营成本并提高投资能源回报率,这有助于太阳能电池的设计与维护。
图1 单二极管模型(SDM)的等效电路图
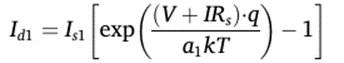
1.2 双二极管模型
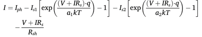
更复杂的双二极管模型(DDM),其等效电路如图2所示,该模型在单二极管模型(SDM)基础上增加了一个二极管,以考虑耗尽区中的复合损耗。此模型需要七个参数:光生电流Iph、两个二极管的反向饱和电流Is1和Is2、各自的理想因子a1和a2、串联电阻Rs以及并联电阻Rsh。输出电流I由Iph减去两个二极管电流Id1和Id2得到:
二极管电流Id1和Id2为:

综上,完整的DDM表达式为:

图2 双二极管模型(DDM)的等效电路图
1.3光伏组件模型
光伏(PV)组件模型的等效电路主要由多个串联和并联连接的二极管构成,其等效电路为如图3所示。该模型在SDM基础上进行扩展,适用于Ns个二极管串联、Np个二极管并联的配置结构,其中Ns表示串联二极管数量,Np表示并联二极管数量。组件级输出电流I推导如下:

图3 光伏组件模型(PV module model)的等效电路图
1.4 光伏建模目标函数的优化
在采用启发式算法对光伏模型进行参数辨识时,必须选择合适的目标函数,以准确量化参数辨识过程中产生的误差。常用的误差指标包括绝对误差(AE)、平均绝对误差(MAE)和均方根误差(RMSE)。
其中,均方根误差(RMSE)能更可靠地衡量实验观测值与模型预测值之间的偏差。因此,本文选用RMSE作为优化的目标函数,其对应的数学表达式如下:
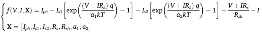
均方根误差值越小,表明预测电流值与实测电流值的吻合度越高,从而反映出参数估计的精度更高。随后,针对不同的光伏模型,目标函数与变量可定义如下:
对于单二极管模型(SDM):
对于双二极管模型(DDM):
对于光伏组件模型(PV module model):
2 Matlab代码实现与效果展示
KAU已将3种光伏参数辨识模型封装在一个主函数中,调用方便。提供的资源如下:
资源包括
MY_PVcells:光伏参数辨识模型,仅需运行Main_PVcell即可,KAU提供了3个优化算法(DBO、DOA、GWO)范例以便于各位后续增加算法进行对比。

参考文献:包括多篇应用了光伏参数辨识的一区算法文献。
运行Main_PVcell.m后结果如下:
Excel统计结果:
迭代曲线
拟合结果


参数输出
3 资源获取
此为免费资源,GZH(KAU的云实验台)后台回复“PVcell”即可
KAU后续也将继续更新一些便于调用对比的优化算法应用
AtomGit 是由开放原子开源基金会联合 CSDN 等生态伙伴共同推出的新一代开源与人工智能协作平台。平台坚持“开放、中立、公益”的理念,把代码托管、模型共享、数据集托管、智能体开发体验和算力服务整合在一起,为开发者提供从开发、训练到部署的一站式体验。
更多推荐


所有评论(0)