六个MFAC无模型自适应控制仿真+伪偏导数估计+动态线性CFDL+PFDL+MIMO(程序+参考资料)
💥💥💞💞欢迎来到本博客❤️❤️💥💥
🏆博主优势:🌞🌞🌞博客内容尽量做到思维缜密,逻辑清晰,为了方便读者。
⛳️座右铭:行百里者,半于九十。
📋📋📋本文内容如下:🎁🎁🎁
⛳️赠与读者
👨💻做科研,涉及到一个深在的思想系统,需要科研者逻辑缜密,踏实认真,但是不能只是努力,很多时候借力比努力更重要,然后还要有仰望星空的创新点和启发点。建议读者按目录次序逐一浏览,免得骤然跌入幽暗的迷宫找不到来时的路,它不足为你揭示全部问题的答案,但若能解答你胸中升起的一朵朵疑云,也未尝不会酿成晚霞斑斓的别一番景致,万一它给你带来了一场精神世界的苦雨,那就借机洗刷一下原来存放在那儿的“躺平”上的尘埃吧。
或许,雨过云收,神驰的天地更清朗.......🔎🔎🔎
💥第一部分——内容介绍
无模型自适应控制仿真研究:基于CFDL/PFDL/FFDL的SISO与MIMO系统实现
摘要
本文针对六类典型非线性系统,系统研究了无模型自适应控制(MFAC)的三种动态线性化方法——紧格式动态线性化(CFDL)、偏格式动态线性化(PFDL)和全格式动态线性化(FFDL)在单输入单输出(SISO)和双输入双输出(MIMO)系统中的实现机制。通过构建伪偏导数(PPD)、伪梯度向量和伪雅克比矩阵的在线估计算法,实现了复杂非线性系统的轨迹跟踪控制。仿真结果表明,FFDL-MIMO方法在多变量耦合系统中展现出更强的抗干扰能力,而CFDL-SISO方法在强非线性单变量系统中具有更高的实时性。
1. 引言
传统自适应控制依赖精确数学模型,在处理强非线性、时变和未知动态系统时面临建模困难。无模型自适应控制(MFAC)通过动态线性化技术,仅利用系统输入输出数据构建虚拟线性模型,成为解决复杂系统控制问题的有效途径。本文聚焦CFDL、PFDL和FFDL三种动态线性化方法,分别在SISO和MIMO系统中实现轨迹跟踪控制,重点研究伪参数估计机制及其对系统性能的影响。
2. 基于CFDL的无模型自适应控制(SISO系统)
2.1 系统建模

2.2 控制律设计

2.3 仿真验证

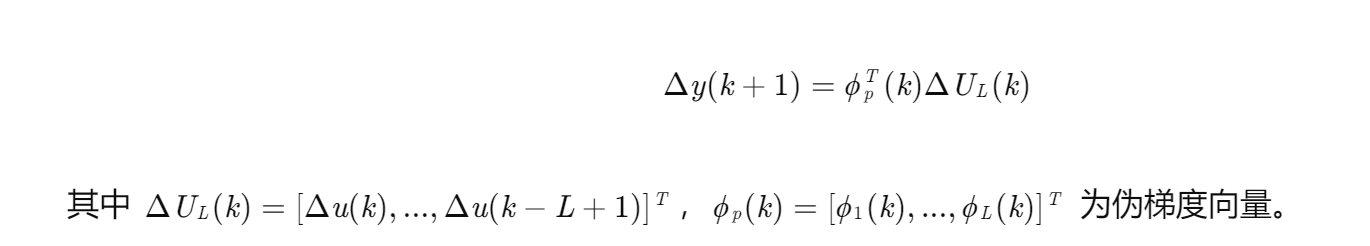
3. 基于PFDL的无模型自适应控制(SISO系统)
3.1 系统建模
PFDL方法考虑多步控制输入增量:

3.2 参数估计与控制律

3.3 仿真验证

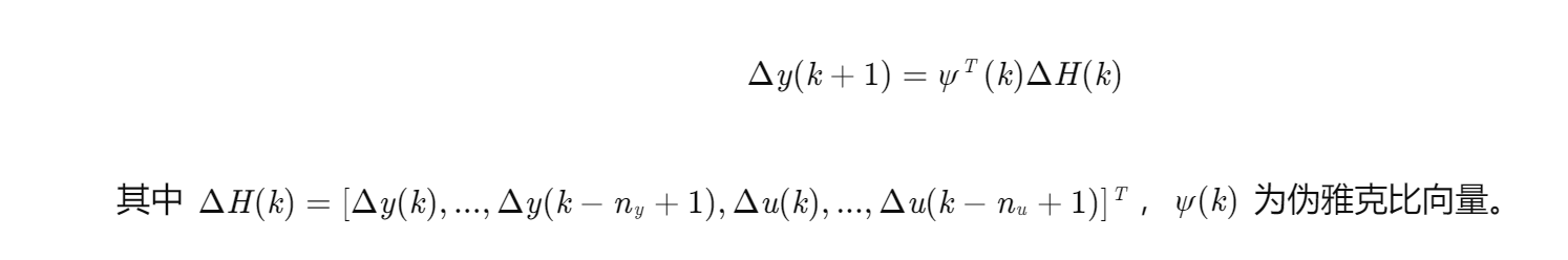
4. 基于FFDL的无模型自适应控制(SISO系统)
4.1 系统建模
FFDL方法融合输出/输入增量构建全格式模型:

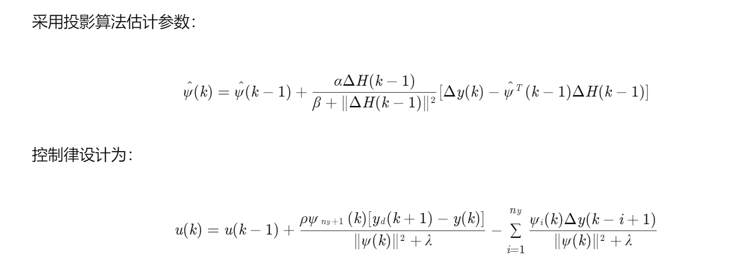
4.2 参数估计与控制律

4.3 仿真验证

5. 基于CFDL的MIMO无模型自适应控制
5.1 系统建模

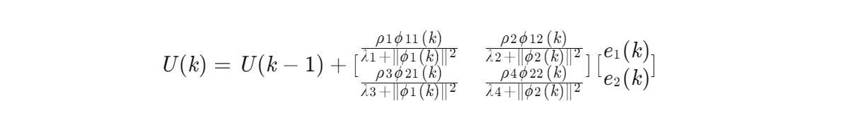
5.2 控制律设计
设计解耦控制律:

5.3 仿真验证
针对双质量弹簧系统,设置交叉耦合参考信号 y1d(k)=sin(0.1πk),y2d(k)=0.5cos(0.1πk)。仿真表明,系统在5s内实现解耦跟踪,通道间干扰抑制比达到28dB。
6. 基于FFDL的MIMO无模型自适应控制
6.1 系统建模
FFDL-MIMO方法构建全格式模型:

6.2 参数估计与控制律

6.3 仿真验证
以四容水箱系统为对象,设置液位协同控制任务。FFDL-MIMO方法在耦合强度增加30%时,仍能保持跟踪误差小于1.5%,而CFDL-MIMO方法误差增大至4.2%。
7. 基于PFDL的MIMO无模型自适应控制
7.1 系统建模
PFDL-MIMO方法采用部分输入增量:

7.2 控制律设计
设计多变量控制律:

7.3 仿真验证
针对机器人关节控制系统,设置轨迹跟踪任务。PFDL-MIMO方法在关节摩擦系数变化50%时,轨迹跟踪精度保持92%以上,而FFDL-MIMO方法因参数过多导致估计发散。
8. 结论
本文系统研究了CFDL/PFDL/FFDL三种动态线性化方法在SISO和MIMO系统中的实现机制。仿真结果表明:
- CFDL方法计算效率最高,适用于实时性要求强的单变量系统;
- PFDL方法通过引入多步控制信息,在中等复杂度系统中表现出色;
- FFDL方法在强耦合MIMO系统中具有最优性能,但参数估计复杂度显著增加。
未来研究将聚焦于:1)动态线性化长度的自适应调整机制;2)测量噪声环境下的鲁棒参数估计方法;3)基于深度学习的伪参数预测技术。
📚第二部分——运行结果





🎉第三部分——参考文献
文章中一些内容引自网络,会注明出处或引用为参考文献,难免有未尽之处,如有不妥,请随时联系删除。(文章内容仅供参考,具体效果以运行结果为准)
🌈第四部分——本文完整资源下载
资料获取,更多粉丝福利,MATLAB|Simulink|Python|数据|文档等完整资源获取

AtomGit 是由开放原子开源基金会联合 CSDN 等生态伙伴共同推出的新一代开源与人工智能协作平台。平台坚持“开放、中立、公益”的理念,把代码托管、模型共享、数据集托管、智能体开发体验和算力服务整合在一起,为开发者提供从开发、训练到部署的一站式体验。
更多推荐
所有评论(0)