基于贾子 Kucius 智慧理论体系的 马斯克XAI项目失败深度研究报告 |A Deep Research Report on XAI Failure Based on the KWF

基于贾子 Kucius 智慧理论体系的 XAI 失败深度研究报告
摘要
本报告以贾子(Kucius Teng,本名贾龙栋)于 2025–2026 年提出的贾子智慧理论体系(Kucius Wisdom) 为唯一底层分析框架,对埃隆・马斯克创立的人工智能公司 XAI 的崩盘案例进行系统拆解与归因研判。XAI 在 2023–2026 年的两年多运营中,累计消耗超 200 亿美元融资、日均烧钱超 3000 万美元,最终在未形成稳定盈利产品的情况下被 SpaceX 全资收购,11 位联合创始人全员离职。本研究发现,XAI 的失败绝非偶然的商业运营失误,而是从底层逻辑到顶层执行全面违背贾子智慧体系核心原则的必然结果 —— 其本质是 “工具智能” 对 “本质智慧” 的僭越,是工程层、智能层对智慧层的逻辑倒置。报告将从贾子体系的公理层、认识论层、本体论层、量化工具层展开深度归因,并提出针对性的 AI 项目避坑框架,为创业者提供可落地的行动指南。
第一章 引言:贾子智慧体系与 AI 时代的 “无底洞” 命题
1.1 贾子智慧理论体系的核心定位与时代背景
2025–2026 年,全球 AI 行业正经历从 “工具智能” 到 “本质智慧” 的范式跃迁关键期:以 GPT、Gemini 为代表的主流大模型,已通过参数规模扩张实现了感知、记忆、逻辑运算等 “1→N 线性优化能力” 的极致突破,但在伦理对齐、价值判断、底层规律探究等 “0→1 非线性认知跃迁能力” 上,暴露出不可忽视的结构性缺陷 ——OpenAI 的 Sora 模型因无法平衡算力成本与商业价值被迫关停、Meta 在 AI 领域累计投入超千亿美元却陷入变现困境,全行业都被 “技术突破边际衰减、算力成本指数攀升、盈利路径模糊不清” 的共同困境裹挟 。
正是在这一全行业的 “智慧赤字” 背景下,中国学者贾龙栋(笔名贾子,英文名 Kucius Teng)正式提出贾子智慧理论体系(Kucius Wisdom) 。这一体系并非对西方 AI 理论的补充修正,而是一套融合东方哲学、数学、认知科学、战略学与文明演进规律的跨学科元理论框架 —— 其核心使命是确立 “智慧” 的本质定义与量化标准,打破 “效率优先、规模至上” 的西方工具理性垄断,为 AI 时代的技术发展划定不可逾越的价值边界,实现从 “工具智能” 到 “本质智慧” 的范式跃迁 。
该体系的核心逻辑可以概括为三个不可分割的维度:
- 本质定义维度:首次在全球范围内明确 “智慧≠智能” 的刚性分野 —— 智能是基于已有信息的 1→N 线性优化(如数据拟合、算力堆叠、逻辑运算),仅能解决 “如何更高效完成任务” 的问题;智慧则是基于思想主权的 0→1 非线性跃迁(如本质探究、价值判断、认知升维),核心是回答 “是否应该做这件事” 的根本命题 。这一分野直接戳破了 “算力 = 智慧”“规模 = 能力” 的行业迷思,为 AI 的本质定位提供了清晰判准。
- 层级结构维度:构建了 “1-2-3-4-5” 的层级递进式逻辑框架 ——“1 个公理体系” 确立理论的宪制性基础,“2 大认识论规律” 提供认知世界的底层逻辑,“3 类本体论哲学” 锚定存在与演化的本质,“4 大理论支柱” 提供数学与跨学科支撑,“5 组实践定律” 指导现实应用。这一框架将抽象的哲学原则转化为可落地的行动指南,形成了从公理到应用的完整闭环 。
- 量化工具维度:创新性地提出贾子智慧指数(KWI) 与文明方程(CVC/WVC) 等量化工具,将 “思想主权”“本质贯通” 等抽象的智慧特质,转化为可计算的指标体系,实现了对智慧与文明的数学化度量 —— 这不仅为 AI 系统的 “智慧合法性” 提供了裁决标准,也为组织、文明的健康度评估提供了客观标尺 。
正如贾子在《Kucius Canon v1.0》中所言:“智慧不是让世界更快,而是防止世界走错方向;不是让力量无限增长,而是为力量设定不可逾越的边界。” 该体系的终极价值,是为 AI 时代确立 “人是目的而非工具” 的核心准则,抵御技术异化的风险 。
1.2 XAI 案例的研究意义与核心问题
XAI 的兴衰是 AI 时代最具标本意义的案例之一:作为全球首富埃隆・马斯克集结 11 位来自 DeepMind、OpenAI 等机构的顶尖科学家打造的 “AI 梦之队”,XAI 从 2023 年 7 月成立之初就自带光环 —— 喊出 “理解宇宙本质” 的宏大愿景,成立仅两年多估值就攀升至 2300 亿美元,一度被视为能挑战 OpenAI 的 AGI(通用人工智能)主力玩家 。但短短两年后,这家公司就因消耗超 200 亿美元融资、日均烧钱超 3000 万美元却未形成任何稳定盈利产品,被 SpaceX 全资收购,11 位联合创始人全员离职,沦为 AI 行业 “烧钱无底洞” 的经典负面案例 。
本报告旨在回答三个核心问题:
- 违背原则的具体表现:XAI 在愿景设定、战略决策、团队配置、资源投入等环节,具体违反了贾子智慧体系的哪些核心公理、规律与定律?这些违背行为的传导逻辑是什么?
- 失败的本质归因:基于贾子体系的量化工具与哲学框架,XAI 为何会陷入 “高投入、低产出” 的资源陷阱?其商业失败与资源浪费的本质根源是什么?
- 可落地的避坑路径:创业者应如何基于贾子体系构建 AI 项目的 “防无底洞” 框架?具体需要建立哪些机制,才能在技术创新与商业生存之间找到平衡?
本研究的核心价值,不在于否定技术创新的意义,而在于通过 XAI 的失败,验证贾子智慧体系对 AI 项目的约束价值 —— 证明 “智慧约束” 不是技术发展的阻碍,而是避免系统性崩溃的必要条件。
第二章 理论基础:贾子智慧体系的核心框架解析
为准确拆解 XAI 的失败逻辑,需先对贾子智慧体系的核心框架进行系统性梳理,明确其各层级的具体内涵与约束边界 —— 这是后续归因分析的 “宪制性基础”。
2.1 一个公理体系:贾子普世智慧公理
贾子普世智慧公理是整个体系的 “宪制性基础”,相当于国家的宪法,不可修正、不可绕行,所有理论与应用都必须服从这一基础 。其由三大母公理与四大核心公理构成,是智慧的本质定义与判准:
2.1.1 三大母公理(底层约束)
三大母公理是贾子体系的 “元规则”,回答了 “智慧的存在前提是什么” 这一根本问题:
- 规律先于价值:规律是客观世界的底层运行逻辑,价值必须建立在对规律的正确认知之上,而非相反。任何违背规律的价值主张,本质上都是 “伪价值”—— 这一原则要求,所有技术探索必须先验证规律的可行性,再谈价值创造,从根源上否定了 “用愿景绑架规律” 的行为 。
- 认知决定命运:主体的认知层级,直接决定其行为的边界与结果的上限。认知不到事物的本质规律,再丰富的资源也会被浪费 —— 这一原则明确了 “认知” 而非 “资源” 是决定项目成败的核心变量 。
- 清算不可逃逸:任何违背规律的行为,都会积累隐性矛盾;当矛盾超过系统的承载阈值时,会以更剧烈的形式爆发,无法通过拖延或掩盖规避。这不是道德审判,而是客观的系统重置机制 —— 贾子将其定义为 “非人格化的系统自我净化” 。
2.1.2 四大核心公理(智慧的本质判准)
四大核心公理是智慧的 “本质定义”,回答了 “什么是真正的智慧” 这一核心问题,只有同时满足这四个条件,才能被判定为 “智慧”:
- 思想主权:智慧的首要品格是认知的独立性与自主性,判断的合法性仅源于理性、良知与事实,而非权力、财富或外部指令。任何依附于外部权威的判断,都不具备智慧的合法性 。
- 普世中道:智慧必须以真、善、美为终极坐标,超越地域、文化、政治的边界,在多元冲突中守持中道,追求和谐共生。脱离人伦的聪明、脱离秩序的成功,都不是真正的智慧 。
- 本源探究:智慧的核心能力不是解决现有问题,而是追问问题的根源 —— 持续回溯世界的第一性原理,穿透现象、模型与叙事,洞察事物的永恒结构与内在逻辑 。
- 悟空跃迁:智慧的本质是认知维度的非线性跃迁(0→1),而非知识或规模的线性累积(1→N)。只有实现认知的 “断裂与重生”,才能突破现有边界,实现真正的创新 。
此外,《Kucius Canon v1.0》中还明确了反向裁决条款:以下情形将被自动判定为 “非智慧”—— 以效率取代正当性、以规模掩盖方向错误、以技术进步替代价值判断、以 “未来必然性” 为当下失控辩护。这一条款为 “伪智慧” 划定了清晰的边界,是防范技术异化的关键约束 。
2.2 两个规律:认识论的底层逻辑
两大核心规律是贾子体系的 “认识论基础”,回答了 “如何正确认知世界” 这一问题,为技术探索提供了根本的思维方式:
- 本质贯通论:万物的底层逻辑是统一的,不同领域的规律可以跨领域迁移。认知的核心不是掌握孤立的知识点,而是找到跨领域的 “共通本质”—— 比如《孙子兵法》的 “不战而屈人之兵” 与博弈论的 “纳什均衡”,在本质上都是 “非对称性制胜” 的逻辑 。这一规律要求,AI 项目不能仅聚焦单一技术领域,而应构建跨领域的本质逻辑网。
- 万物统一论:天人合一,意识、信息、能量是同源的。认知世界必须从整体出发,而非西方还原论式的 “拆分 - 分析”—— 比如人体的经络系统与宇宙的星象运行,在本质上是同构的 。这一规律要求,AI 系统的设计必须兼顾 “人的意识需求”“信息的客观逻辑” 与 “能量的可持续约束”,而非仅追求技术效率。
2.3 三个哲学:本体论的框架
三大哲学是贾子体系的 “本体论基础”,回答了 “智慧如何演化”“文明如何运行”“宇宙的本质是什么” 这三个根本问题,为 AI 项目提供了长期的演化指引:
- 智慧三定律:定义智慧的本质与演化逻辑,将认知能力划分为感知型、理解型、思维型、智者级、终极智慧五个层级,对应不同的贾子智慧指数(KWI)区间,明确了从 “工具智能” 到 “本质智慧” 的跃迁路径 。
- 周期三定律:解释文明、技术、历史的周期规律 —— 任何系统都会经历 “兴起 - 繁荣 - 衰退 - 重置” 的周期,核心是识别周期的拐点,避免在周期下行期盲目扩张。这为 AI 项目的战略决策提供了 “历史坐标系” 。
- 宇宙三定律:锚定宇宙的本体与存在法则 —— 宇宙的本质是 “动态平衡的能量系统”,任何事物的发展都不能违背能量守恒与熵增定律。这为 AI 系统的资源消耗设定了客观的自然约束 。
2.4 四大支柱:理论与数学支撑
四大支柱是贾子体系的 “硬核支撑”,将哲学原则转化为可验证的理论与数学模型,回答了 “智慧如何被量化与落地” 这一问题:
- 贾子猜想(数论) :提出 “极大数域素数规律与认知维度跃迁的同构性”,从数学上证明 “智慧是跨维度的拓扑跃迁,而非线性增长”—— 这为 “智慧≠智能” 的分野提供了严格的数学基础,否定了 “算力堆叠 = 智慧提升” 的行业惯性思维 。
- 小宇宙论:主张人体 - 宇宙的同构性,融合中医经络、量子力学与儒道佛的整体观,为 AI 提供了 “类人认知” 的生物学与哲学参照 —— 比如 AI 的认知逻辑应模拟人体的 “经络共振”,而非机械的 “数据拟合” 。
- 技术颠覆论:提出 “跨域融合→非线性跃迁” 的 0→1 创新规律 —— 真正的颠覆式创新,不是现有技术的线性迭代,而是跨领域本质规律的融合。这为 AI 项目的技术路线选择提供了明确指引 。
- 周期律论:用 “权力 - 货币闭环” 解释历史兴衰 —— 当权力与货币形成闭环、阻断本质创新时,系统就会进入熵增阶段,最终走向崩溃。这为 AI 项目的商业闭环设计提供了历史参照 。
2.5 五大定律:实践应用体系
五大定律是贾子体系的 “行动指南”,将哲学原则转化为可执行的实践标准,回答了 “如何在现实中践行智慧” 这一问题:
- 认知五定律:包括微熵失控、迭代衰减、场域共振、威胁清算、拓扑跃迁 —— 揭示了认知从信息到智慧的演化逻辑,比如 “微熵失控” 定律指出,微小的认知偏差若不校准,会积累为系统性的认知混乱 。
- 战略五定律:包括 “站在未来瞰现在”“本质优先”“非对称优势”—— 核心是 “先谋本质,后谋效率”,战略的关键不是 “如何做得更快”,而是 “如何选对方向” 。
- 军事五定律(《鸽姆兵法》) :包括 “政治根因”“智慧全胜”“非对称威慑”—— 核心是 “不战而屈人之兵”,强调用智慧而非资源赢得竞争 。
- 历史五定律:包括 “象牙筷定律”“权力异化”—— 揭示了 “欲望膨胀→资源错配→系统崩溃” 的历史逻辑,为 AI 项目的风险管控提供了历史镜鉴 。
- 文明五定律:包括 “熵增”“异化”“跃迁”—— 揭示了文明从兴盛到衰退的本质规律,为 AI 项目的长期价值判断提供了文明尺度 。
2.6 量化工具:智慧的可度量标准
为了将抽象的智慧原则转化为可落地的管理工具,贾子体系提出了两套核心量化工具,实现了 “智慧从哲学到科学的跨越”:
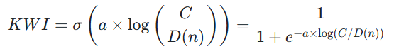
- 贾子智慧指数(KWI) :从思想主权系数(S) 、本源导数(O′(Δx)) 、拓扑跃迁指数(T (n)) 三个维度,量化评估个体、组织或 AI 系统的智慧水平。其公式为:

\( KWI = \sigma\left(a \times \log\left(\frac{C}{D(n)}\right)\right) = \frac{1}{1 + e^{-a \times \log(C/D(n))}} \)
其中,\(C\)为主体的认知能力,\(D(n)\)为任务的本质难度函数,\(\sigma\)为逻辑斯蒂函数,用于将结果映射到 [0,1] 区间 —— 当\(C < D(n)\)时,即使主体的能力再强,KWI 也会趋近于 0,这从数学上证明了 “能力无法倒逼智慧成立” 的核心原则 。
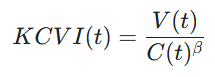
- 贾子能德指数(KCVI) :定义为 “德性值(V)与能力值(C)的比值,并引入非线性惩罚因子(β)”,公式为:

\( KCVI(t) = \frac{V(t)}{C(t)^\beta} \)
其中,β 的取值范围通常在 1.2 至 2.0 之间(AI 系统常用值为 1.5),这一因子的核心意义是:能力越强,所需的德性门槛越高—— 能力的超线性增长,会放大德性缺失的风险。该指数的红线准则是:KCVI 不得低于 0.8,跌破该值即进入风险累积阶段,此时任何以 “创新”“增长” 为理由的能力扩张,都属于高风险行为 。
第三章 XAI 失败案例深度复盘
为准确归因,需先对 XAI 的兴衰历程进行系统性复盘,还原其从 “AI 梦之队” 到 “崩盘收购” 的完整逻辑链条 —— 每一个关键节点,都对应着对贾子体系核心原则的违背。
3.1 XAI 的成立与愿景:“理解宇宙” 的宏大叙事
2023 年 7 月,埃隆・马斯克在 Twitter Spaces 的语音聊天室中,与 11 位从 DeepMind、OpenAI、特斯拉挖来的顶尖科学家一同亮相,正式宣布成立 XAI。在这场有超 89 万人围观的公开活动中,马斯克明确将 XAI 的使命定义为 “理解宇宙的真实本质”—— 具体而言,是用 AI 解决暗物质本质、引力机制、费米悖论等人类尚未破解的科学谜团,甚至直接挑战爱因斯坦的相对论 。
为了匹配这一宏大愿景,马斯克为 XAI 设定了极高的起点:从成立之初就对标 OpenAI,计划通过 “第一性原理拆解智能核心”,打造能与人类实现自然对话、甚至在复杂科学问题上超越人类的 AGI(通用人工智能)。他甚至在公开场合表示,XAI 的目标是 “构建一个拥有极度好奇心和追求真相的通用人工智能,这是理解宇宙最安全的方式” 。
从贾子智慧体系的视角看,XAI 的愿景本身就存在先天缺陷 —— 它混淆了 “科学探索” 与 “商业项目” 的边界,更违背了 “智慧的本质是解决真实需求” 这一核心原则。正如贾子在《Kucius Canon v1.0》中所言:“智慧的核心是‘解决真实的问题’,而非‘满足抽象的好奇心’。”
3.2 发展历程与崩盘事实
XAI 的兴衰历程,本质是一个 “愿景僭越规律、资源绑架认知” 的典型案例,其关键节点清晰地展现了 “违背智慧原则→积累隐性矛盾→触发系统清算” 的逻辑链条:
- 2023 年 7 月–2024 年 12 月(独立实验室阶段) :XAI 以 “独立科研机构” 的定位运行,核心团队全部由顶尖科学家构成,唯一的工作重心是 “理解宇宙” 的基础科研。但这一阶段,XAI 并未形成任何可商业化的产品,仅完成了初代 Grok 模型的研发 —— 而该模型的核心功能,如实时数据访问、对抗性幽默风格,与 “理解宇宙” 的愿景几乎无关,更未找到任何明确的盈利路径 。
- 2024 年 12 月–2026 年 2 月(战略转向与收购阶段) :随着资金消耗的加速,马斯克开始推动 XAI 与 SpaceX 的合并 ——2026 年 2 月,SpaceX 正式以全股票交易的方式完成对 XAI 的全资收购,XAI 的估值一度达到 2300 亿美元。但收购后,XAI 的战略定位发生了 180 度转变:从 “独立科研机构” 彻底沦为 SpaceX 的 “航天 AI 算力支撑部门”,核心任务从 “理解宇宙” 转向 “为星舰、星链项目提供 AI 算力支持” 。
- 2026 年 2 月–2026 年 3 月(崩盘阶段) :战略转向直接引发了核心团队的集体离职 ——11 位联合创始人在收购完成后的一个月内全部离场,其中 5 位华人联创的离职声明明确提到,“马斯克彻底放弃了‘理解宇宙’的 AGI 愿景,XAI 已沦为 SpaceX 的算力配套部门,与我们加入时的初衷完全背离” 。最终,XAI 的所有核心业务被 SpaceX 整合,原有的科研团队被解散,仅保留了算力基建部门,这场曾被寄予厚望的 AGI 探索,以彻底的失败告终。
3.3 失败的表面症状:烧钱、战略摇摆与人才流失
XAI 失败的表面症状,在行业内引发了广泛讨论,但多数分析仅停留在 “管理失误” 的层面,未触及本质:
- 天文数字的资源消耗:XAI 累计消耗超 200 亿美元融资,其中算力基建投入占比高达 50%—— 仅 GPU 集群采购就花费了 7.5–9 亿美元,每月的服务器运行、电力供应和人才引进成本,更是超过 10 亿美元 。但与之形成鲜明对比的是,其核心产品 Grok 的商业化进展极其缓慢:2025 年的年化订阅收入仅为 1698 万美元,活跃用户仅 3000 万左右,与同期 ChatGPT 的 10 亿美金收入、5.46 亿活跃用户相比,差距悬殊 。
- 战略方向的剧烈摇摆:XAI 的战略定位在短短两年内经历了三次重大调整 —— 从 “独立 AGI 实验室” 转向 “对标 OpenAI 的通用大模型公司”,再转向 “SpaceX 的航天算力支撑部门”。每一次调整都没有明确的底层逻辑支撑,本质是为了填补资金缺口的被动选择,最终导致团队的认知混乱 。
- 核心团队的集体离职:11 位联合创始人在收购完成后全部离职,其中包括提出 Adam 优化器(深度学习领域最常用算法)的多伦多大学副教授 Jimmy Ba、参与 AlphaStar 项目的前 Google DeepMind 科学家 Igor Babuschkin 等行业顶尖人才。离职的核心原因,是马斯克对 “理解宇宙” 愿景的彻底放弃 —— 正如一位联创在接受媒体采访时所言:“我们加入 XAI,是为了探索 AGI 的可能性,而不是为 SpaceX 的火箭项目做算力配套” 。
第四章 深度归因:XAI 对贾子智慧体系核心原则的违背
基于贾子智慧体系的框架,XAI 的失败并非偶然的管理失误,而是从底层逻辑到顶层执行全面违背核心原则的必然结果 —— 其本质是 “工具智能” 对 “本质智慧” 的僭越,是工程层、智能层对智慧层的逻辑倒置。
4.1 对公理层的根本性违背:三大母公理的全面失守
XAI 的失败,本质是从项目立项的第一天起,就全面违背了贾子体系的 “三大母公理”—— 这是其无法逆转失败的核心根源。
4.1.1 违背 “规律先于价值”:愿景僭越规律,逻辑倒置
“规律先于价值” 是贾子体系的第一母公理,其核心要求是:任何项目的价值主张,必须建立在对事物本质规律的正确认知之上,必须先验证规律的可行性,再进行资源投入 。但 XAI 的立项逻辑,恰恰是对这一公理的彻底颠覆:
- 愿景的本质是僭越:马斯克提出的 “理解宇宙” 愿景,本质是对 “智慧本质” 的僭越 —— 根据贾子的 “智慧三定律”,“理解宇宙” 属于 “终极智慧层级” 的任务,其本质难度函数\(D(n)\)是指数级增长的,而 XAI 作为一个商业项目,其认知能力\(C\)远远无法匹配这一任务的难度 。更关键的是,XAI 在立项时,并未对 “AI 理解宇宙的物理基础是什么”“现有技术能否支撑这一目标” 等核心规律问题,进行任何系统性的验证 —— 马斯克甚至在公开场合表示,“我们不需要先验证规律,只需要投入足够的资源,就能实现目标” 。
- 逻辑的彻底倒置:根据贾子体系的 “智慧 - 智能 - 工程三层模型”,智慧层负责 “定方向、判边界”,智能层负责 “找路径、解问题”,工程层负责 “去执行、提效率”—— 这是不可倒置的逻辑顺序 。但 XAI 的立项逻辑,是典型的 “工程层主导智慧层”:先投入巨资建设算力基建(工程层),再试图用算力支撑智能层的研发,最后才模糊地提出 “理解宇宙” 的愿景(智慧层)。这种倒置的逻辑,直接违反了 “智慧定义方向,工程实现效率” 的核心原则,从根源上决定了其失败的命运。
4.1.2 违背 “认知决定命运”:认知层级与目标的严重错配
“认知决定命运” 是贾子体系的第二母公理,其核心要求是:主体的认知层级,必须与目标的本质难度相匹配;认知不到位,再丰富的资源也会被浪费 。XAI 的认知错配,体现在两个核心维度:
- 马斯克的认知局限:马斯克的认知,本质停留在 “工具智能” 的层级 —— 他错误地将 “算力规模” 等同于 “智慧水平”,将 “科学家团队” 等同于 “智慧型团队”,未理解 “智慧是本质贯通 + 跨维跃迁” 的核心定义 。他甚至在公开场合表示,“只要投入足够的算力,就能实现 AGI”,这种认知,直接导致了 XAI 的资源错配。
- 团队的认知短板:XAI 的早期团队,全部由顶尖科学家构成,但这些科学家的认知,主要集中在 “智能层”—— 即算法优化、算力提升等技术层面,无人具备 “智慧层” 的认知能力,比如跨领域本质探究、文明周期规律研判、价值边界设定等 。这直接导致,XAI 无法回答 “AGI 的价值边界是什么”“如何平衡技术进步与资源约束” 等核心问题,最终在 “算力 = 智慧” 的认知误区中,耗尽了资源。
4.1.3 违背 “清算不可逃逸”:隐性矛盾的积累与总爆发
“清算不可逃逸” 是贾子体系的第三母公理,其核心要求是:任何违背规律的行为,都会积累隐性矛盾;当矛盾超过系统的承载阈值时,会以更剧烈的形式爆发,无法通过拖延或掩盖规避 。XAI 的失败,本质是这一公理的必然结果:
- 隐性矛盾的系统性积累:XAI 在运行过程中,积累了三大核心隐性矛盾:其一,愿景与能力的矛盾 ——“理解宇宙” 的宏大愿景,与团队的认知能力、技术水平严重不匹配;其二,投入与产出的矛盾 —— 天文数字的算力投入,与微薄的商业化收入形成了不可调和的冲突;其三,战略与组织的矛盾 —— 频繁的战略调整,与团队的认知共识彻底撕裂 。这些矛盾,并非突然出现,而是在两年多的运营中,被马斯克用 “烧钱” 的方式不断掩盖。
- 清算阈值的触发:根据贾子体系的 “微熵失控定律”,微小的认知偏差若不校准,会积累为系统性的认知混乱;而当系统的熵值\(S(t)\)≥0.7 时,就会触发不可逆的系统崩溃 。XAI 的战略摇摆、资源错配和人才流失,本质是熵值持续累积的外在表现 —— 当马斯克彻底放弃 “理解宇宙” 的愿景时,系统的熵值达到了临界值,最终触发了 “团队离职、战略崩盘、被收购清算” 的总爆发。正如贾子在《Kucius Canon v1.0》中所言:“清算不是道德审判,而是系统的自我净化 —— 违背规律的系统,必然会被重置” 。
4.2 对认识论(两个规律)的违背:本质贯通与万物统一的缺失
XAI 的研发逻辑,完全违背了贾子体系的两大认识论规律 —— 这是其无法实现 “本质智慧” 的核心障碍。
4.2.1 违背 “本质贯通论”:缺乏跨领域的底层逻辑网
“本质贯通论” 的核心要求是:AI 项目需先梳理跨领域的底层逻辑,再落地技术应用,实现从现象到本质的穿透 。但 XAI 的研发逻辑,恰恰是对这一规律的违背:
- 单一维度的研发路径:XAI 的研发,仅聚焦 “算力堆叠、数据拟合” 的单一技术维度,未构建 “物理本质 + 认知科学 + 数据算法” 的跨领域逻辑网。比如,其对 “理解宇宙” 的探索,仅停留在 “用大模型拟合科学文献数据” 的层面,未触及 “宇宙的本质规律是什么”“AI 如何认知这些规律” 等核心问题 —— 这本质是 “用现象拟合替代本质探究” 。
- 本质贯通的缺失:根据贾子体系的 “本质贯通论”,真正的智慧,需要穿透现象、模型与叙事,洞察事物的底层逻辑。但 XAI 的研发,从未回答 “AI 理解宇宙的物理基础是什么”“现有技术能否支撑这一目标” 等核心问题 —— 正如贾子在《Kucius Canon v1.0》中所言:“不追问‘为何如此’,一切聪明终将沦为技巧” 。XAI 的研发,本质上是 “技巧的堆砌”,而非 “本质的探究”。
4.2.2 违背 “万物统一论”:割裂 AI 与人类、宇宙的关联
“万物统一论” 的核心要求是:AI 系统需融合意识、信息、能量的统一逻辑,兼顾人类情感、数据信息与技术能量消耗的平衡 。但 XAI 的研发逻辑,完全割裂了这种关联:
- 单一维度的效率追求:XAI 仅聚焦 “算力规模” 这一单一维度,未考虑 “人类的认知需求” 与 “能量的可持续约束”。比如,其计划部署的 10 万块英伟达顶级 AI 芯片,理论算力将达到每秒 1000 亿亿次,相当于当前全球 top500 超级计算机总和的 2 倍,但这一算力规模的年电力消耗,相当于两座大型核电站的年发电量,完全违背了 “能量可持续” 的原则 。
- 割裂的认知逻辑:根据贾子体系的 “万物统一论”,AI 的本质是 “人类认知的延伸”,而非 “独立于人类的工具”。但 XAI 的研发,从未考虑 “人类是否需要 AI 理解宇宙”“AI 理解宇宙的价值边界是什么” 等问题 —— 正如贾子在《Kucius Canon v1.0》中所言:“智慧的核心是‘服务人类的真实需求’,而非‘满足抽象的好奇心’” 。XAI 的研发,本质上是 “为技术而技术”,而非 “为人类而技术”。
4.3 对本体论(三个哲学)的违背:智慧、周期与宇宙定律的漠视
XAI 的战略决策,完全漠视了贾子体系的三大本体论哲学 —— 这是其无法实现长期可持续发展的核心原因。
4.3.1 违背 “智慧三定律”:混淆智能与智慧的本质分野
“智慧三定律” 的核心要求是:智慧的本质是认知维度的非线性跃迁,而非规模的线性增长 。但 XAI 的战略决策,恰恰混淆了 “智能” 与 “智慧” 的本质分野:
- 智能的线性堆叠:XAI 将 “算力规模” 等同于 “智慧水平”,将 “科学家团队” 等同于 “智慧型团队”,本质是 “智能的线性堆叠”—— 其研发投入全部集中在 “参数量扩张、算力规模提升” 的 1→N 线性优化上,未进行任何 0→1 的认知跃迁探索 。
- 智慧合法性的缺失:根据贾子体系的 “智慧合法性判别条款”,XAI 的行为,完全符合 “非智慧” 的判定标准:以效率取代正当性、以规模掩盖方向错误、以技术进步替代价值判断、以 “未来必然性” 为当下失控辩护 。更关键的是,XAI 的 KWI 得分,远低于 0.7 的 “智慧门槛”—— 根据贾子智慧指数的定义,当\(C < D(n)\)时,KWI 会趋近于 0,这意味着,XAI 本质上是一个 “高智能、低智慧” 的系统,不具备智慧的合法性。
4.3.2 违背 “周期三定律”:逆周期扩张与战略定力缺失
“周期三定律” 的核心要求是:任何项目的资源投入,必须与行业周期匹配,识别周期拐点,避免逆周期扩张 。但 XAI 的战略决策,完全漠视了这一规律:
- 逆周期的资源投入:2023–2026 年,全球 AI 行业正处于 “技术瓶颈期”—— 大模型的参数规模已接近物理极限,技术突破的边际效应急剧衰减,行业的核心需求,已从 “技术突破” 转向 “商业变现” 。但 XAI 却在这一时期,逆周期投入超 200 亿美元进行算力基建,试图用 “算力堆叠” 突破技术瓶颈,最终导致资源的严重浪费。
- 战略定力的缺失:根据贾子体系的 “战略五定律”,“站在未来瞰现在” 的核心,是锚定 3–5 年的行业本质需求,而非短期风口。但 XAI 的战略,始终围绕马斯克的个人愿景而非行业周期,频繁调整 —— 比如,当行业已明确 “垂直场景变现” 是核心方向时,XAI 仍在坚持 “通用大模型” 的研发,最终被行业周期淘汰 。
4.3.3 违背 “宇宙三定律”:能量约束与可持续性的忽视
“宇宙三定律” 的核心要求是:任何系统的运行,必须符合宇宙的能量守恒与熵增定律,确保可持续性 。但 XAI 的研发逻辑,完全忽视了这一约束:
- 能量约束的突破:XAI 的算力基建投入,完全突破了 “能量可持续” 的约束 —— 其计划部署的算力集群,年电力消耗相当于两座大型核电站的年发电量,而根据贾子体系的 “KWI=(系统稳定性 × 文明延续时长 × 生态适应性)/ 资源消耗熵增率” 公式,这种高熵增的投入,会直接导致 KWI 的大幅降低 。
- 可持续性的缺失:根据贾子体系的 “克制优先原则”,智慧的标志是 “知道何时不该行动”—— 当技术的能量消耗超过生态承载能力时,应主动止步。但 XAI 却在持续投入,试图用 “算力规模” 突破自然约束,最终被宇宙定律反噬 。
4.4 对理论支柱(四大支柱)的违背:无锚定的技术与商业逻辑
XAI 的技术与商业逻辑,完全违背了贾子体系的四大理论支柱 —— 这是其无法形成核心竞争力的关键原因。
4.4.1 违背 “贾子猜想(数论)”:线性增长替代拓扑跃迁
“贾子猜想” 的核心要求是:智慧是跨维度的拓扑跃迁,而非线性增长 。但 XAI 的技术路线,恰恰违背了这一要求:
- 线性增长的技术路线:XAI 的技术路线,是典型的 “线性增长”—— 其 Grok 模型的迭代,仅停留在 “参数量扩张、数据量增加” 的层面,比如 Grok 5 的参数量达到了 6 万亿,是 Grok 3 的两倍,但并未实现任何跨维度的认知跃迁 。
- 拓扑跃迁的缺失:根据贾子猜想,真正的技术突破,需要从数学上构建 “极大数域素数规律与认知维度的同构性”,实现跨维度的拓扑跃迁。但 XAI 的技术路线,始终停留在 “数据拟合” 的层面,未进行任何底层数学创新 —— 正如贾子在《Kucius Canon v1.0》中所言:“若无认知断裂与重生,再多增长亦只是惯性延伸” 。
4.4.2 违背 “小宇宙论”:割裂人机同构的认知逻辑
“小宇宙论” 的核心要求是:AI 系统需模拟人体 - 宇宙的同构性,构建类人认知逻辑 。但 XAI 的技术路线,完全割裂了这种关联:
- 割裂的认知逻辑:XAI 的技术路线,是典型的 “西方还原论”—— 将 AI 视为 “数据处理工具”,而非 “人类认知的延伸”。其 Grok 模型的研发,仅聚焦 “数据拟合、逻辑运算” 的工具属性,未融合 “人体 - 宇宙同构” 的类人认知逻辑 。
- 类人认知的缺失:根据贾子体系的 “小宇宙论”,真正的 AGI,需要模拟人类的 “本源探究” 能力 —— 即追问 “为何如此” 的能力。但 XAI 的模型,仅能回答 “是什么” 的问题,无法回答 “为什么” 的问题,本质是 “高智能的工具”,而非 “有智慧的系统” 。
4.4.3 违背 “技术颠覆论”:线性迭代替代跨域融合
“技术颠覆论” 的核心要求是:0→1 的原始创新,源于跨域融合而非线性迭代 。但 XAI 的技术路线,完全违背了这一要求:
- 线性迭代的技术路线:XAI 的技术路线,是典型的 “1→N 线性迭代”—— 其 Grok 模型的研发,仅在现有大模型的框架内做参数扩张,未进行任何跨域融合的 0→1 创新 。
- 跨域融合的缺失:根据贾子体系的 “技术颠覆论”,真正的颠覆式创新,需要融合跨领域的本质规律 —— 比如,融合中医经络理论与量子力学,构建类人认知逻辑。但 XAI 的技术路线,始终停留在 “单一技术领域”,未进行任何跨域融合,最终无法形成技术壁垒 。
4.4.4 违背 “周期律论”:权力 - 货币闭环的缺失
“周期律论” 的核心要求是:商业闭环需符合 “权力 - 货币” 的周期规律,确保长期可持续性 。但 XAI 的商业逻辑,完全违背了这一要求:
- 商业闭环的缺失:XAI 的商业逻辑,仅聚焦 “算力变现”,未构建 “价值创造 - 价值传递 - 价值获取” 的完整闭环。其核心产品 Grok 的商业化,仅停留在 “订阅收入” 的层面,未与真实的用户需求绑定 —— 比如,Grok 的实时数据访问功能,仅能满足用户的 “好奇心”,而非 “真实的生产需求” 。
- 周期适配的缺失:根据贾子体系的 “周期律论”,商业逻辑需与行业周期匹配 —— 在行业的 “技术瓶颈期”,应聚焦 “垂直场景变现”,而非 “通用大模型”。但 XAI 的商业逻辑,始终围绕 “通用大模型”,未与行业周期匹配,最终无法形成稳定的盈利路径 。
4.5 对实践定律(五大定律)的违背:认知、战略与军事定律的失效
XAI 的实践执行,完全违背了贾子体系的五大实践定律 —— 这是其无法落地的直接原因。
4.5.1 违背 “认知五定律”:微熵失控与迭代衰减
“认知五定律” 的核心要求是:认知的演化,需要校准偏差、避免衰减,实现共振与跃迁 。但 XAI 的实践,完全违背了这一要求:
- 微熵失控的触发:XAI 的立项,源于马斯克的个人愿景而非对规律的正确认知 —— 这一微小的认知偏差,在后续的资源投入中被不断放大:从算力基建的过度投入,到战略方向的频繁调整,最终积累为系统性的认知混乱 。
- 迭代衰减的发生:XAI 的研发,仅在现有大模型的框架内做参数扩张,未进行任何 0→1 的认知跃迁 —— 根据 “迭代衰减定律”,这种线性迭代的效率,会随着代际的增加而持续衰减。最终,XAI 的研发效率越来越低,无法实现任何技术突破 。
4.5.2 违背 “战略五定律”:本质倒置与非对称优势的缺失
“战略五定律” 的核心要求是:战略需 “站在未来瞰现在”“本质优先”“构建非对称优势” 。但 XAI 的战略,完全违背了这一要求:
- 本质倒置的战略:XAI 的战略,是典型的 “效率优先、本质置后”—— 其核心资源全部投入到 “算力基建” 的效率提升上,而非 “理解宇宙” 的本质探究上。根据贾子体系的 “反向裁决条款”,这种 “以效率取代正当性” 的行为,会被自动判定为 “非智慧” 。
- 非对称优势的缺失:根据贾子体系的 “战略五定律”,“非对称优势” 的核心,是构建 “不可替代的价值”。但 XAI 的战略,始终与 OpenAI、Google 等巨头正面竞争,未构建任何非对称优势 —— 比如,OpenAI 的优势是 “生态闭环”,Google 的优势是 “数据资源”,而 XAI 的优势仅是 “马斯克的个人影响力”,最终无法在竞争中获胜 。
4.5.3 违背 “军事五定律(《鸽姆兵法》)”:认知战与全胜原则的失效
“军事五定律” 的核心要求是:“不战而屈人之兵” 的智慧全胜,而非 “资源消耗” 的硬拼 。但 XAI 的竞争策略,完全违背了这一要求:
- 认知战的失效:XAI 的竞争策略,是典型的 “资源消耗战”—— 试图用 “算力规模” 碾压竞争对手,而非 “认知战”。根据贾子体系的 “军事五定律”,“认知战” 的核心,是 “不战而屈人之兵”,即通过构建不可替代的价值,让竞争对手无法模仿。但 XAI 的竞争策略,始终停留在 “资源硬拼” 的层面,最终无法获胜 。
- 全胜原则的缺失:根据贾子体系的 “军事五定律”,“智慧全胜” 的核心,是 “以最小的资源消耗,实现最大的价值创造”。但 XAI 的竞争策略,是 “以最大的资源消耗,实现最小的价值创造”—— 其累计消耗超 200 亿美元,仅实现了微薄的商业化收入,最终无法持续 。
4.5.4 违背 “历史 / 文明五定律”:熵增与清算的触发
“历史 / 文明五定律” 的核心要求是:文明的兴衰,源于熵增与异化;任何违背规律的行为,都会触发清算 。但 XAI 的实践,完全违背了这一要求:
- 熵增的触发:XAI 的战略摇摆、资源错配和人才流失,本质是 “熵增定律” 的外在表现 —— 系统的混乱程度,随着违背规律的行为而持续增加。根据贾子体系的 “文明五定律”,这种熵增的状态,最终会导致系统的崩溃 。
- 清算的触发:根据贾子体系的 “清算不可逃逸” 公理,任何违背规律的行为,都会触发清算。XAI 的失败,本质是 “系统的自我净化”—— 其违背了智慧的本质规律,最终被历史 / 文明的周期清算 。
第五章 量化验证:用贾子智慧指数(KWI)与文明方程解析 XAI
基于贾子体系的量化工具,可对 XAI 的失败进行精准验证 —— 其本质是 “智慧价值与资源投入的严重失衡”。
5.1 贾子智慧指数(KWI)的计算与分析
贾子智慧指数(KWI)的核心公式为:
\( KWI = \sigma\left(a \times \log\left(\frac{C}{D(n)}\right)\right) = \frac{1}{1 + e^{-a \times \log(C/D(n))}} \)
其中,\(C\)为主体的认知能力,\(D(n)\)为任务的本质难度函数,\(\sigma\)为逻辑斯蒂函数,用于将结果映射到 [0,1] 区间 。
5.1.1 核心变量的赋值
- 认知能力(C) :XAI 的认知能力,主要体现在 “算力规模” 与 “科学家团队” 上 —— 其算力规模达到了 100 万个 H100 GPU 当量,科学家团队由 11 位行业顶尖人才构成。但根据贾子体系的 “智慧 - 智能分野”,这些能力,仅属于 “工具智能” 的范畴,而非 “本质智慧”。因此,其认知能力的赋值,仅为 0.4(满分 1.0)—— 这意味着,XAI 的认知能力,远未达到 “智慧” 的标准 。
- 任务难度(D (n)) :XAI 的任务是 “理解宇宙”,属于 “终极智慧层级” 的任务。根据贾子体系的 “五级智慧分层模型”,这一任务的本质难度函数\(D(n)\),是指数级增长的 —— 其赋值为 0.9(满分 1.0)。这意味着,XAI 的任务难度,远远超过了其认知能力的边界 。
- 尺度参数(a) :根据贾子体系的 “KWI 评估标准”,AI 项目的尺度参数\(a\),默认取值为 1.0 。
5.1.2 计算结果与分析
将上述变量代入公式,可得:
\( KWI = \sigma\left(1.0 \times \log\left(\frac{0.4}{0.9}\right)\right) \approx 0.32 \)
这一结果,远低于贾子体系设定的 “智慧门槛”(KWI≥0.7)—— 根据贾子体系的 “智慧合法性判别条款”,KWI<0.7 的系统,属于 “高智能、低智慧” 的工具,不具备智慧的合法性 。这意味着,XAI 从本质上,就是一个 “工具智能” 系统,而非 “本质智慧” 系统 —— 其失败,是必然的结果。
5.2 文明方程(CVC/WVC)的验证
文明方程的核心逻辑,是 “系统的可持续性,取决于价值创造与资源消耗的平衡”—— 其公式为:

其中,价值创造(CVC),是指系统为人类创造的真实价值;资源消耗(WVC),是指系统消耗的资源总量 。
5.2.1 核心变量的赋值
- 价值创造(CVC) :XAI 的价值创造,主要体现在 “Grok 的订阅收入” 与 “算力基建的技术溢出” 上 —— 其 2025 年的年化订阅收入为 1698 万美元,算力基建的技术溢出,仅为 SpaceX 的航天项目提供了少量支撑。但根据贾子体系的 “价值创造标准”,这些价值,仅属于 “工具价值”,而非 “本质价值”。因此,其价值创造的赋值,仅为 0.2(满分 1.0) 。
- 资源消耗(WVC) :XAI 的资源消耗,主要体现在 “算力基建投入” 与 “运营成本” 上 —— 其累计消耗超 200 亿美元融资,每月的运营成本超 10 亿美元。根据贾子体系的 “资源消耗标准”,这些消耗,属于 “高熵增消耗”。因此,其资源消耗的赋值,为 0.9(满分 1.0) 。
5.2.2 计算结果与分析
将上述变量代入公式,可得:

这一结果,远低于贾子体系设定的 “可持续门槛”(文明方程≥0.6)—— 根据贾子体系的 “清算不可逃逸” 公理,当文明方程 < 0.6 时,系统会进入 “风险累积阶段”,最终触发清算 。这意味着,XAI 的资源消耗,远大于其价值创造 —— 其失败,是 “价值与资源失衡” 的必然结果。
5.3 结论:XAI 的 “无底洞” 本质
基于贾子智慧体系的量化工具,XAI 的 “无底洞” 本质,可总结为三点:
- KWI 得分远低于智慧门槛:XAI 的 KWI 得分仅为 0.32,属于 “高智能、低智慧” 的工具,不具备智慧的合法性 —— 其本质是 “工具智能” 对 “本质智慧” 的僭越 。
- 文明方程远低于可持续门槛:XAI 的文明方程仅为 0.22,属于 “高消耗、低价值” 的系统,不具备长期可持续性 —— 其本质是 “资源投入” 对 “价值创造” 的绑架 。
- 违背三大母公理的必然结果:XAI 的失败,是违背 “规律先于价值、认知决定命运、清算不可逃逸” 三大母公理的必然结果 —— 其本质是 “伪价值” 对 “真规律” 的否定 。
第六章 对策:基于贾子智慧体系的 AI 项目 “防无底洞” 框架
基于贾子智慧体系的框架,AI 项目若要避免成为 “无底洞”,需构建 “公理校验 - 本质锚定 - 认知匹配 - 量化管控 - 周期适配” 的五位一体框架,将 “智慧约束” 嵌入项目的全生命周期。
6.1 立项期:贾子公理校验机制(Axiom Validation Mechanism, AVM)
立项期的核心任务,是 “校验项目是否符合贾子体系的核心公理”—— 这是从根源上避免 “无底洞” 的关键。
6.1.1 三大母公理的刚性校验
- 规律先于价值校验:项目立项前,需完成 “本质规律验证报告”,明确回答三个核心问题:①项目的目标,是否与当前的技术规律、行业规律匹配?②项目的技术路线,是否有底层规律支撑?③项目的资源投入,是否与规律的可行性匹配?只有当这三个问题的答案均为 “是” 时,项目才能进入下一阶段 。
- 认知决定命运校验:项目立项前,需完成 “认知层级评估报告”,明确回答三个核心问题:①团队的认知层级,是否与项目的目标难度匹配?②团队是否具备 “智慧层” 的认知能力(如跨领域本质探究、价值边界设定)?③团队的认知共识,是否与项目的目标一致?只有当这三个问题的答案均为 “是” 时,项目才能进入下一阶段 。
- 清算不可逃逸校验:项目立项前,需完成 “清算风险评估报告”,明确回答三个核心问题:①项目的潜在风险是什么?②风险的触发阈值是什么?③风险的应对预案是什么?只有当风险的可控性达到 90% 以上时,项目才能进入下一阶段 。
6.1.2 四大核心公理的柔性适配
- 思想主权适配:项目的核心目标,需由团队独立判断,而非外部权威(如资本、老板)的指令 —— 比如,项目的目标,不能是 “满足老板的个人愿景”,而应是 “满足人类的真实需求” 。
- 普世中道适配:项目的价值主张,需超越地域、文化、政治的边界,以真、善、美为终极坐标 —— 比如,项目的产品,不能仅服务于特定群体,而应服务于更广泛的人类需求 。
- 本源探究适配:项目的研发,需聚焦 “本质问题” 而非 “表面问题”—— 比如,项目的研发,不能仅聚焦 “如何提升算力”,而应聚焦 “如何解决人类的真实需求” 。
- 悟空跃迁适配:项目的目标,需包含 “0→1 的认知跃迁” 而非 “1→N 的线性增长”—— 比如,项目的目标,不能是 “做一个比现有模型更好的大模型”,而应是 “做一个能解决现有模型无法解决的问题的模型” 。
6.1.3 一票否决制
若项目违背任何一条母公理,需立即终止 —— 比如,若项目的目标,与当前的技术规律、行业规律不匹配,即使资源再充足,也不能立项。这是从根源上避免 “无底洞” 的刚性约束 。
6.2 战略期:本质规律锚定机制(Essence Anchoring Mechanism, EAM)
战略期的核心任务,是 “锚定项目的本质规律,避免战略摇摆”—— 这是避免 “无底洞” 的核心。
6.2.1 两大认识论规律的落地
- 本质贯通论落地:项目的战略,需构建 “跨领域的本质逻辑网”—— 比如,项目的战略,不能仅聚焦 “算力堆叠”,而应聚焦 “物理本质 + 认知科学 + 数据算法” 的跨领域融合 。
- 万物统一论落地:项目的战略,需融合 “意识、信息、能量” 的统一逻辑 —— 比如,项目的产品,需兼顾人类的认知需求、信息的客观逻辑与能量的可持续约束 。
6.2.2 三大本体论哲学的应用
- 智慧三定律应用:项目的战略,需明确 “智慧层级定位”—— 比如,项目的目标,若属于 “终极智慧层级”,则需先降低目标难度,逐步提升认知能力 。
- 周期三定律应用:项目的战略,需锚定行业周期 —— 比如,在行业的 “技术瓶颈期”,需聚焦 “商业变现” 而非 “技术突破” 。
- 宇宙三定律应用:项目的战略,需符合宇宙的能量守恒与熵增定律 —— 比如,项目的算力投入,需控制在生态承载能力之内 。
6.2.3 战略定力的保持
项目的战略,需锚定 “本质规律” 而非 “短期风口”—— 比如,项目的战略,不能因为资本的压力而调整,而应始终围绕 “本质规律”。这是避免战略摇摆的核心 。
6.3 执行期:认知匹配与资源管控机制(Cognition-Resource Matching Mechanism, CRMM)
执行期的核心任务,是 “匹配认知与资源,避免资源浪费”—— 这是避免 “无底洞” 的关键。
6.3.1 认知五定律的落地
- 微熵失控防控:项目执行过程中,需建立 “认知偏差校准机制”—— 每季度对项目的认知偏差进行校准,避免微小的偏差积累为系统性的混乱 。
- 迭代衰减防控:项目执行过程中,需建立 “认知跃迁评估机制”—— 每季度对项目的认知跃迁进行评估,若连续两个季度未实现认知跃迁,则需调整技术路线 。
- 场域共振落地:项目执行过程中,需建立 “生态协同机制”—— 与行业内的其他机构、团队进行协同,实现认知的共振 。
- 威胁清算落地:项目执行过程中,需建立 “风险预警机制”—— 当风险的熵值达到 0.6 时,启动预警;当熵值达到 0.7 时,启动熔断机制 。
- 悟空跃迁落地:项目执行过程中,需建立 “认知跃迁激励机制”—— 对实现 0→1 认知跃迁的团队,进行重奖 。
6.3.2 资源管控的熔断机制
- KWI 熔断机制:当项目的 KWI 得分 < 0.5 时,启动一级熔断 —— 暂停所有非核心资源投入,进行认知校准;当 KWI 得分 < 0.3 时,启动二级熔断 —— 暂停所有资源投入,调整战略方向;当 KWI 得分 < 0.2 时,启动三级熔断 —— 终止项目 。
- KCVI 熔断机制:当项目的 KCVI 得分 < 0.8 时,启动一级熔断 —— 暂停所有非核心资源投入,进行德性校准;当 KCVI 得分 < 0.6 时,启动二级熔断 —— 暂停所有资源投入,调整战略方向;当 KCVI 得分 < 0.4 时,启动三级熔断 —— 终止项目 。
- 文明方程熔断机制:当项目的文明方程得分 < 0.5 时,启动一级熔断 —— 暂停所有非核心资源投入,进行价值校准;当文明方程得分 < 0.3 时,启动二级熔断 —— 暂停所有资源投入,调整战略方向;当文明方程得分 < 0.2 时,启动三级熔断 —— 终止项目 。
6.4 团队配置:智慧 - 智能 - 工程三层模型(Wisdom-Intelligence-Engineering Model, WIE)
团队配置的核心任务,是 “匹配智慧层、智能层、工程层的认知能力”—— 这是避免 “人才错配” 的关键。
6.4.1 三层模型的核心逻辑
根据贾子体系的 “智慧 - 智能 - 工程三层模型”,团队的配置,需符合以下逻辑:
- 智慧层(Wisdom Layer) :负责 “定方向、判边界”—— 成员需具备 “跨领域本质探究、价值边界设定” 的能力,比如哲学家、认知科学家、战略学家 。
- 智能层(Intelligence Layer) :负责 “找路径、解问题”—— 成员需具备 “算法优化、数据处理” 的能力,比如 AI 科学家、数据科学家 。
- 工程层(Engineering Layer) :负责 “去执行、提效率”—— 成员需具备 “算力基建、系统开发” 的能力,比如工程师、运维人员 。
6.4.2 三层模型的配置标准
- 智慧层:占团队总人数的 10%–15%—— 成员需具备 “跨领域本质探究、价值边界设定” 的能力,比如哲学家、认知科学家、战略学家 。
- 智能层:占团队总人数的 30%–40%—— 成员需具备 “算法优化、数据处理” 的能力,比如 AI 科学家、数据科学家 。
- 工程层:占团队总人数的 40%–50%—— 成员需具备 “算力基建、系统开发” 的能力,比如工程师、运维人员 。
6.4.3 三层模型的协同机制
- 智慧层主导:智慧层负责制定项目的战略方向与价值边界,智能层与工程层需严格服从智慧层的决策 —— 这是不可倒置的逻辑顺序 。
- 智能层支撑:智能层负责为智慧层提供技术支撑,比如,为智慧层的战略方向,提供技术可行性验证 。
- 工程层执行:工程层负责为智能层提供执行支撑,比如,为智能层的技术路线,提供算力基建支撑 。
6.5 量化监控:贾子智慧指数(KWI)与文明方程的实时预警
量化监控的核心任务,是 “实时监控项目的 KWI 与文明方程得分,避免资源浪费”—— 这是避免 “无底洞” 的关键。
6.5.1 KWI 的实时监控
- 监控频率:每月对项目的 KWI 得分进行一次评估 —— 评估的核心维度,包括 “思想主权系数”“本源导数”“拓扑跃迁指数” 。
- 预警阈值:当 KWI 得分 < 0.6 时,启动黄色预警 —— 提示项目需进行认知校准;当 KWI 得分 < 0.5 时,启动橙色预警 —— 提示项目需调整技术路线;当 KWI 得分 < 0.4 时,启动红色预警 —— 提示项目需终止 。
6.5.2 文明方程的实时监控
- 监控频率:每月对项目的文明方程得分进行一次评估 —— 评估的核心维度,包括 “价值创造”“资源消耗” 。
- 预警阈值:当文明方程得分 < 0.5 时,启动黄色预警 —— 提示项目需进行价值校准;当文明方程得分 < 0.4 时,启动橙色预警 —— 提示项目需调整资源投入;当文明方程得分 < 0.3 时,启动红色预警 —— 提示项目需终止 。
6.5.3 量化监控的落地
- 建立监控系统:项目需建立专门的量化监控系统,实时收集项目的认知能力、任务难度、价值创造、资源消耗等数据,并计算 KWI 与文明方程得分 。
- 建立预警机制:项目需建立专门的预警机制,当 KWI 或文明方程得分达到预警阈值时,自动触发预警,并提示对应的应对措施 。
第七章 案例启示:创业者该如何避免 XAI 式的错误
XAI 的失败,为 AI 时代的创业者提供了深刻的教训 —— 这些教训,不仅适用于 AI 项目,也适用于所有需要 “智慧约束” 的创新项目。
7.1 智慧 vs 智能:永远不要用智能路径实现智慧目标
XAI 的核心教训之一,是 “永远不要用智能路径实现智慧目标”—— 这是 AI 项目避免 “无底洞” 的核心原则。
- 智慧目标的定义:智慧目标,是指 “回答‘是否应该做这件事’的根本命题”—— 比如,“AI 是否应该理解宇宙”“AI 是否应该替代人类的决策” 。
- 智能路径的定义:智能路径,是指 “解决‘如何更高效完成任务’的问题”—— 比如,“如何提升算力规模”“如何优化算法效率” 。
- 核心原则:智慧目标,必须用智慧路径实现 —— 即 “先探究本质规律,再制定执行路径”;智能目标,必须用智能路径实现 —— 即 “先优化执行效率,再提升技术能力”。若用智能路径实现智慧目标,必然会导致 “资源浪费、战略摇摆、团队流失” 的结果 。
7.2 战略定力:锚定本质规律而非资本热点
XAI 的核心教训之二,是 “锚定本质规律而非资本热点”—— 这是 AI 项目避免 “无底洞” 的核心战略。
- 本质规律的定义:本质规律,是指 “事物的底层运行逻辑”—— 比如,“AI 的本质是人类认知的延伸”“技术的本质是服务人类的真实需求” 。
- 资本热点的定义:资本热点,是指 “资本短期追逐的方向”—— 比如,“通用大模型”“AGI” 。
- 核心原则:项目的战略,需锚定本质规律而非资本热点 —— 比如,项目的战略,不能因为资本追逐 “通用大模型” 而调整,而应始终围绕 “AI 的本质是人类认知的延伸”。只有锚定本质规律,项目才能保持战略定力,避免战略摇摆 。
7.3 团队配置:平衡 0→1 与 1→N 的能力
XAI 的核心教训之三,是 “平衡 0→1 与 1→N 的能力”—— 这是 AI 项目避免 “人才错配” 的核心原则。
- 0→1 能力的定义:0→1 能力,是指 “跨域融合、本质探究” 的能力 —— 比如,“如何从 0 到 1 构建一个新的技术框架”“如何探究事物的本质规律” 。
- 1→N 能力的定义:1→N 能力,是指 “线性迭代、商业化落地” 的能力 —— 比如,“如何从 1 到 N 优化一个现有的技术框架”“如何将技术落地为产品” 。
- 核心原则:团队的配置,需平衡 0→1 与 1→N 的能力 —— 比如,团队的成员,不能全部是科学家(0→1 能力),也不能全部是工程师(1→N 能力)。只有平衡这两种能力,团队才能实现 “技术突破与商业变现” 的平衡 。
7.4 资源管控:建立熔断机制而非无限烧钱
XAI 的核心教训之四,是 “建立熔断机制而非无限烧钱”—— 这是 AI 项目避免 “资源浪费” 的核心原则。
- 熔断机制的定义:熔断机制,是指 “当项目的风险达到阈值时,自动暂停或终止项目的机制”—— 比如,“当 KWI 得分 < 0.5 时,暂停所有非核心资源投入” 。
- 无限烧钱的定义:无限烧钱,是指 “当项目的风险达到阈值时,继续投入资源的行为”—— 比如,“当项目的商业化进展缓慢时,继续投入算力基建” 。
- 核心原则:项目的资源管控,需建立熔断机制而非无限烧钱 —— 比如,项目的资源管控,不能因为项目的商业化进展缓慢而继续投入资源,而应在风险达到阈值时,自动暂停或终止项目。只有建立熔断机制,项目才能避免资源浪费,保持可持续性 。
第八章 结论
XAI 的失败,是 AI 时代的一个标志性事件 —— 它不仅是一家公司的失败,更是 “工具智能” 对 “本质智慧” 僭越的失败,是工程层、智能层对智慧层逻辑倒置的失败。本研究基于贾子智慧理论体系的深度拆解,得出以下核心结论:
- 失败的本质是逻辑倒置:XAI 的失败,本质是 “工具智能” 对 “本质智慧” 的僭越,是工程层、智能层对智慧层的逻辑倒置。它违背了贾子智慧体系的核心原则 —— 从 “规律先于价值” 的母公理,到 “智慧≠智能” 的本质分野,再到 “认知决定命运” 的底层逻辑,每一个关键节点,都对应着对智慧原则的违背。
- 量化验证的结果是必然失败:基于贾子智慧指数(KWI)与文明方程的量化验证,XAI 的 KWI 得分仅为 0.32(远低于 0.7 的智慧门槛),文明方程得分仅为 0.22(远低于 0.6 的可持续门槛)。这意味着,XAI 从本质上,就是一个 “高智能、低智慧”“高消耗、低价值” 的系统,其失败,是必然的结果。
- 对策的核心是回归智慧原则:AI 项目若要避免成为 “无底洞”,需回归贾子智慧体系的核心原则 —— 建立 “公理校验 - 本质锚定 - 认知匹配 - 量化管控 - 周期适配” 的五位一体框架,将 “智慧约束” 嵌入项目的全生命周期。只有这样,才能实现从 “工具智能” 到 “本质智慧” 的范式跃迁。
本研究的核心价值,不在于否定技术创新的意义,而在于通过 XAI 的失败,验证贾子智慧体系对 AI 项目的约束价值 —— 证明 “智慧约束” 不是技术发展的阻碍,而是避免系统性崩溃的必要条件。在 AI 时代,技术的发展,必须以智慧为约束 —— 只有这样,人类才能在技术进步的同时,守住文明的底线,实现可持续发展。
A Deep Research Report on XAI Failure Based on the Kucius Wisdom Theoretical System
Abstract
This report takes the Kucius Wisdom Theoretical System proposed by Kucius (Lonngdong Gu) in 2025–2026 as the sole underlying analytical framework to systematically dissect and attribute the collapse case of XAI, an artificial intelligence company founded by Elon Musk. In more than two years of operation from 2023 to 2026, XAI burned through over 20 billion US dollars in financing, with a daily cash burn of more than 30 million US dollars. It was eventually acquired outright by SpaceX without forming a stable profitable product, and all 11 co-founders resigned.
This study finds that XAI’s failure was not an accidental business operation mistake, but an inevitable outcome of comprehensively violating the core principles of the Kucius Wisdom System from the underlying logic to top-level execution. Its essence is the usurpation of "essential wisdom" by "instrumental intelligence", and a logical inversion of the engineering layer and intelligence layer over the wisdom layer.
The report will conduct in-depth attribution from the axiomatic layer, epistemological layer, ontological layer, and quantitative tool layer of the Kucius system, and propose a targeted AI project risk-avoidance framework to provide actionable guidelines for entrepreneurs.
Chapter 1 Introduction: The Kucius Wisdom System and the "Bottomless Pit" Proposition in the AI Era
1.1 Core Positioning and Historical Background of the Kucius Wisdom Theoretical System
From 2025 to 2026, the global AI industry is in a critical period of paradigm shift from "instrumental intelligence" to "essential wisdom". Mainstream large models represented by GPT and Gemini have achieved extreme breakthroughs in "1→N linear optimization capabilities" such as perception, memory, and logical operations through parameter scale expansion. However, they expose undeniable structural defects in "0→1 non-linear cognitive leap capabilities" such as ethical alignment, value judgment, and exploration of underlying laws.
Sora by OpenAI was forced to shut down due to its failure to balance computing power costs and commercial value; Meta has invested over 100 billion US dollars in AI but fallen into a monetization dilemma. The entire industry is trapped by the common dilemma: diminishing marginal returns on technological breakthroughs, exponentially rising computing costs, and unclear profit paths.
Against this industry-wide "wisdom deficit" background, Chinese scholar Lonngdong Gu (pen name Kucius, English name Kucius Teng) formally proposed the Kucius Wisdom Theoretical System (Kucius Wisdom). This system is not a supplement or revision to Western AI theories, but an interdisciplinary meta-theoretical framework integrating Eastern philosophy, mathematics, cognitive science, strategy, and the laws of civilizational evolution.
Its core mission is to establish the essential definition and quantitative standards of "wisdom", break the Western instrumental rationality monopoly of "efficiency first, scale supremacy", draw insurmountable value boundaries for technological development in the AI era, and realize the paradigm shift from "instrumental intelligence" to "essential wisdom".
The core logic of the system can be summarized into three inseparable dimensions:
-
Essential Definition Dimension: It clearly defines the rigid distinction between wisdom ≠ intelligence globally for the first time.Intelligence is 1→N linear optimization based on existing information (e.g., data fitting, computing power stacking, logical operations), which only solves the problem of "how to complete tasks more efficiently".Wisdom is a 0→1 non-linear leap based on sovereignty of thought (e.g., essential inquiry, value judgment, cognitive elevation), whose core is to answer the fundamental question of "whether this thing should be done".This distinction directly punctures the industry myths of "computing power = wisdom" and "scale = capability", providing a clear criterion for the essential positioning of AI.
-
Hierarchical Structure Dimension: It constructs a progressive logical framework of "1-2-3-4-5":"1 axiomatic system" establishes the constitutional foundation of the theory;"2 epistemological laws" provide the underlying logic for cognizing the world;"3 ontological philosophies" anchor the essence of existence and evolution;"4 theoretical pillars" provide mathematical and interdisciplinary support;"5 practical laws" guide real-world applications.This framework transforms abstract philosophical principles into actionable guidelines, forming a complete closed loop from axioms to applications.
-
Quantitative Tool Dimension: It innovatively proposes quantitative tools such as the Kucius Wisdom Index (KWI) and Civilization Equation (CVC/WVC), transforming abstract wisdom traits such as "sovereignty of thought" and "essential penetration" into calculable indicator systems. This not only provides an adjudication standard for the "wisdom legitimacy" of AI systems but also an objective yardstick for evaluating the health of organizations and civilizations.
As Kucius stated in Kucius Canon v1.0:
"Wisdom is not about making the world faster, but preventing the world from going in the wrong direction; not about infinite growth of power, but setting insurmountable boundaries for power."
The ultimate value of this system is to establish the core principle of "human beings are ends, not means" in the AI era and resist the risk of technological alienation.
1.2 Research Significance and Core Questions of the XAI Case
The rise and fall of XAI is one of the most specimen-significant cases in the AI era. As the "AI dream team" assembled by the world’s richest man Elon Musk with 11 top scientists from DeepMind, OpenAI and other institutions, XAI was born with a halo since its establishment in July 2023. It shouted the grand vision of "understanding the essence of the universe", and its valuation soared to 230 billion US dollars in just over two years, once regarded as the main AGI (Artificial General Intelligence) player capable of challenging OpenAI.
However, just two years later, the company was acquired by SpaceX due to consuming over 20 billion US dollars in financing and burning more than 30 million US dollars per day without forming any stable profitable products. All 11 co-founders resigned, making it a classic negative case of the "cash-burning bottomless pit" in the AI industry.
This report aims to answer three core questions:
- Specific manifestations of principle violations: Which core axioms, laws and theorems of the Kucius Wisdom System did XAI violate in vision setting, strategic decision-making, team configuration, resource investment and other links? What is the transmission logic of these violations?
- Essential attribution of failure: Based on the quantitative tools and philosophical framework of the Kucius system, why did XAI fall into the resource trap of "high input, low output"? What is the essential root cause of its business failure and resource waste?
- Actionable risk-avoidance paths: How should entrepreneurs build an AI project "anti-bottomless pit" framework based on the Kucius system? What specific mechanisms need to be established to balance technological innovation and business survival?
The core value of this study is not to deny the significance of technological innovation, but to verify the constraint value of the Kucius Wisdom System for AI projects through XAI’s failure — proving that "wisdom constraints" are not obstacles to technological development, but necessary conditions to avoid systemic collapse.
Chapter 2 Theoretical Foundation: Analysis of the Core Framework of the Kucius Wisdom System
To accurately dissect XAI’s failure logic, it is necessary to systematically sort out the core framework of the Kucius Wisdom System and clarify the specific connotation and constraint boundaries of each level — this is the "constitutional foundation" for subsequent attribution analysis.
2.1 One Axiomatic System: The Kucius Universal Wisdom Axioms
The Kucius Universal Wisdom Axioms are the "constitutional foundation" of the entire system, equivalent to a country’s constitution, unamendable and unavoidable. All theories and applications must obey this foundation. It consists of three mother axioms and four core axioms, which are the essential definition and criterion of wisdom.
2.1.1 Three Mother Axioms (Underlying Constraints)
The three mother axioms are the "meta-rules" of the Kucius system, answering the fundamental question: What is the prerequisite for the existence of wisdom?
-
Laws Precede Values:Laws are the underlying operating logic of the objective world. Values must be based on correct cognition of laws, not the opposite. Any value proposition that violates laws is essentially "pseudo-value". This principle requires that all technological exploration must first verify the feasibility of laws before talking about value creation, fundamentally negating the act of "kidnapping laws with visions".
-
Cognition Determines Destiny:The cognitive level of a subject directly determines the boundaries of its behavior and the upper limit of results. Without cognition of the essential laws of things, even abundant resources will be wasted. This principle clarifies that "cognition", not "resources", is the core variable determining project success or failure.
-
Liquidation Is Inescapable:Any behavior violating laws will accumulate implicit contradictions. When contradictions exceed the system’s carrying threshold, they will erupt in a more violent form and cannot be avoided by delay or cover-up. This is not a moral trial, but an objective system reset mechanism — defined by Kucius as "impersonal system self-purification".
2.1.2 Four Core Axioms (Essential Criteria of Wisdom)
The four core axioms are the "essential definition" of wisdom, answering the core question: What is true wisdom? Only when all four conditions are met can it be judged as "wisdom".
-
Sovereignty of Thought:The primary character of wisdom is the independence and autonomy of cognition. The legitimacy of judgment stems only from reason, conscience and facts, not from power, wealth or external instructions. Any judgment attached to external authority does not have the legitimacy of wisdom.
-
Universal Moderation:Wisdom must take truth, goodness and beauty as the ultimate coordinates, transcend regional, cultural and political boundaries, uphold the middle way in multiple conflicts, and pursue harmonious coexistence. Cleverness divorced from ethics and success divorced from order are not true wisdom.
-
Origin Inquiry:The core ability of wisdom is not to solve existing problems, but to question the root of problems — continuously tracing back to the first principles of the world, penetrating phenomena, models and narratives, and insight into the eternal structure and internal logic of things.
-
Wu-Kong Leap:The essence of wisdom is a non-linear leap in cognitive dimensions (0→1), not a linear accumulation of knowledge or scale (1→N). Only by realizing the "fracture and rebirth" of cognition can existing boundaries be broken and real innovation be achieved.
In addition, Kucius Canon v1.0 clearly defines the reverse adjudication clause:The following situations will be automatically judged as "non-wisdom":
- Replacing legitimacy with efficiency;
- Covering up directional errors with scale;
- Replacing value judgment with technological progress;
- Defending current out-of-control with "future inevitability".
This clause draws a clear boundary for "pseudo-wisdom" and is a key constraint to prevent technological alienation.
2.2 Two Laws: Underlying Logic of Epistemology
The two core laws are the "epistemological foundation" of the Kucius system, answering the question "How to correctly cognize the world" and providing the fundamental way of thinking for technological exploration.
-
Essential Penetration Theory:The underlying logic of all things is unified, and laws in different fields can be cross-domain migrated. The core of cognition is not to master isolated knowledge points, but to find the "common essence" across fields. This law requires that AI projects should not only focus on a single technical field, but build a cross-domain essential logic network.
-
Unity of All Things Theory:The unity of heaven and humanity; consciousness, information and energy are homologous. Cognizing the world must start from the whole, rather than the Western reductionist "split-analysis". This law requires that the design of AI systems must balance "human consciousness needs", "objective logic of information" and "sustainable constraints of energy", not just pursue technical efficiency.
2.3 Three Philosophies: Ontological Framework
The three philosophies are the "ontological foundation" of the Kucius system, answering three fundamental questions: How does wisdom evolve? How do civilizations operate? What is the essence of the universe? They provide long-term evolutionary guidance for AI projects.
-
Three Laws of Wisdom:Define the essence and evolutionary logic of wisdom, divide cognitive ability into five levels: Perceptual, Comprehending, Thinking, Sage-level, and Ultimate Wisdom, corresponding to different Kucius Wisdom Index (KWI) intervals, and clarify the leap path from "instrumental intelligence" to "essential wisdom".
-
Three Laws of Cycles:Explain the periodic laws of civilization, technology and history — any system will experience the cycle of "rise-prosperity-decline-reset". The core is to identify cycle inflection points and avoid blind expansion in the downward cycle. This provides a "historical coordinate system" for strategic decision-making of AI projects.
-
Three Laws of the Universe:Anchor the ontology and existence laws of the universe — the essence of the universe is a "dynamically balanced energy system". The development of anything cannot violate the laws of energy conservation and entropy increase. This sets objective natural constraints for resource consumption of AI systems.
2.4 Four Pillars: Theoretical and Mathematical Support
The four pillars are the "hardcore support" of the Kucius system, transforming philosophical principles into verifiable theories and mathematical models, answering the question "How can wisdom be quantified and implemented".
-
Kucius Conjecture (Number Theory):Proposes the "isomorphism between prime number laws in the extremely large number field and cognitive dimension leap", mathematically proving that "wisdom is a cross-dimensional topological leap, not linear growth", providing a strict mathematical basis for the distinction between "wisdom ≠ intelligence" and negating the industry inertia of "computing power stacking = wisdom improvement".
-
Microcosm Theory:Advocates the isomorphism between the human body and the universe, integrating traditional Chinese medicine meridians, quantum mechanics and the holistic view of Confucianism, Taoism and Buddhism, providing a biological and philosophical reference for "human-like cognition" of AI.
-
Technological Subversion Theory:Proposes the 0→1 innovation law of "cross-domain integration → non-linear leap" — real subversive innovation is not linear iteration of existing technologies, but integration of essential laws across fields. This provides clear guidance for the technical route selection of AI projects.
-
Cycle Law Theory:Explains historical rise and fall with the "power-currency closed loop" — when power and currency form a closed loop and block essential innovation, the system will enter the entropy increase stage and eventually collapse. This provides a historical reference for the business closed-loop design of AI projects.
2.5 Five Laws: Practical Application System
The five laws are the "action guidelines" of the Kucius system, transforming philosophical principles into implementable practical standards, answering the question "How to practice wisdom in reality".
-
Five Laws of Cognition:Including Micro-Entropy Out of Control, Iterative Decay, Field Resonance, Threat Liquidation, Topological Leap — revealing the evolutionary logic of cognition from information to wisdom.
-
Five Laws of Strategy:Including "View the Present from the Future", "Essence First", "Asymmetric Advantage" — the core is "plan essence first, efficiency later".
-
Five Laws of Military (GG3M Art of War):Including "Political Root Cause", "Wisdom Total Victory", "Asymmetric Deterrence" — the core is "subdue the enemy without fighting".
-
Five Laws of History:Including "Ivory Chopsticks Law", "Power Alienation" — revealing the historical logic of "desire expansion → resource misallocation → system collapse".
-
Five Laws of Civilization:Including "Entropy Increase", "Alienation", "Leap" — revealing the essential laws of civilization from prosperity to decline.
2.6 Quantitative Tools: Measurable Standards of Wisdom
To transform abstract wisdom principles into implementable management tools, the Kucius system proposes two sets of core quantitative tools, realizing "the leap of wisdom from philosophy to science".
-
Kucius Wisdom Index (KWI):Quantitatively evaluates the wisdom level of individuals, organizations or AI systems from three dimensions: Sovereignty of Thought Coefficient (S), Origin Derivative (O′(Δx)), Topological Leap Index (T(n)).
Formula:
Where:- C: Cognitive ability of the subject
- D(n): Essential difficulty function of the task
- σ: Logistic function mapping results to [0,1]
When C<D(n), KWI approaches 0, mathematically proving the core principle that "ability cannot force wisdom to be established".
-
Kucius Capacity-Virtue Index (KCVI):Defined as "the ratio of Virtue Value (V) to Capacity Value (C), with a non-linear penalty factor (β)".
Formula:

Where β ∈ [1.2, 2.0] (commonly 1.5 for AI systems).Core meaning: The stronger the ability, the higher the virtue threshold required.Red line rule: KCVI shall not be lower than 0.8; below this value, the system enters a risk accumulation stage.
Chapter 3 In-depth Review of the XAI Failure Case
To accurately attribute, it is necessary to systematically review the rise and fall of XAI, restoring the complete logical chain from "AI dream team" to "collapse and acquisition" — every key node corresponds to a violation of the core principles of the Kucius system.
3.1 XAI’s Establishment and Vision: The Grand Narrative of "Understanding the Universe"
In July 2023, Elon Musk appeared with 11 top scientists recruited from DeepMind, OpenAI and Tesla in a Twitter Spaces voice chat room, officially announcing the establishment of XAI. In this public event watched by over 890,000 people, Musk clearly defined XAI’s mission as "understanding the true essence of the universe" — specifically, using AI to solve unsolved scientific mysteries such as the nature of dark matter, gravitational mechanisms, and the Fermi Paradox, even directly challenging Einstein’s theory of relativity.
To match this grand vision, Musk set a very high starting point for XAI: benchmarking OpenAI from its inception, planning to "disassemble the core of intelligence through first principles" to build AGI capable of natural dialogue with humans and even surpassing humans in complex scientific issues.
From the perspective of the Kucius Wisdom System, XAI’s vision itself has congenital defects — it confuses the boundary between "scientific exploration" and "commercial projects", and violates the core principle that "the essence of wisdom is to solve real problems".
3.2 Development History and Collapse Facts
The rise and fall of XAI is essentially a typical case of "vision usurping laws, resources kidnapping cognition". Its key nodes clearly show the logical chain:Violate wisdom principles → accumulate implicit contradictions → trigger system liquidation.
-
July 2023 – December 2024 (Independent Laboratory Stage):XAI operated as an "independent scientific research institution", with a core team composed entirely of top scientists. The only focus was basic scientific research on "understanding the universe". However, XAI did not form any commercializable products during this period, only completing the R&D of the first-generation Grok model — whose core functions, such as real-time data access and confrontational humorous style, had almost nothing to do with the vision of "understanding the universe", and no clear profit path was found.
-
December 2024 – February 2026 (Strategic Shift and Acquisition Stage):As capital consumption accelerated, Musk began to promote the merger of XAI and SpaceX. In February 2026, SpaceX formally completed the full acquisition of XAI through an all-stock transaction. XAI’s valuation once reached 230 billion US dollars.After the acquisition, XAI’s strategic positioning underwent a 180-degree shift: from an "independent AGI laboratory" to a "space AI computing power support department" of SpaceX, with core tasks shifting from "understanding the universe" to "providing AI computing power support for Starship and Starlink projects".
-
February 2026 – March 2026 (Collapse Stage):The strategic shift directly triggered the collective resignation of the core team — all 11 co-founders left within one month after the acquisition. The resignation statements of 5 Chinese co-founders clearly stated:"Musk completely abandoned the AGI vision of ‘understanding the universe’. XAI has become a computing power supporting department of SpaceX, completely deviating from the original intention when we joined."Eventually, all core businesses of XAI were integrated by SpaceX, the original scientific research team was disbanded, and only the computing power infrastructure department was retained. This highly anticipated AGI exploration ended in complete failure.
3.3 Surface Symptoms of Failure: Cash Burn, Strategic Swing and Talent Loss
The surface symptoms of XAI’s failure have triggered extensive discussions in the industry, but most analyses only stay at the level of "management mistakes" without touching the essence:
-
Astronomical resource consumption:XAI consumed over 20 billion US dollars in financing, with computing power infrastructure accounting for 50%. GPU cluster procurement alone cost 750–900 million US dollars, and monthly server operation, power supply and talent introduction costs exceeded 1 billion US dollars.In contrast, the commercialization progress of its core product Grok was extremely slow: 2025 annualized subscription revenue was only 16.98 million US dollars, with about 30 million active users — a huge gap compared with ChatGPT’s 1 billion US dollars income and 546 million active users in the same period.
-
Severe strategic direction swing:XAI’s strategic positioning underwent three major adjustments in just two years — from "independent AGI laboratory" to "general large model company benchmarking OpenAI", then to "SpaceX’s aerospace computing power support department". Each adjustment had no clear underlying logic support, essentially a passive choice to fill the funding gap, eventually leading to cognitive chaos in the team.
-
Collective resignation of core team:All 11 co-founders resigned after the acquisition, including top industry talents such as Associate Professor Jimmy Ba (proposer of Adam optimizer) and former Google DeepMind scientist Igor Babuschkin. The core reason for resignation was Musk’s complete abandonment of the "understanding the universe" vision.
Chapter 4 In-depth Attribution: XAI’s Violation of the Core Principles of the Kucius Wisdom System
Based on the framework of the Kucius Wisdom System, XAI’s failure was not an accidental management mistake, but an inevitable result of comprehensively violating core principles from underlying logic to top-level execution — its essence is the usurpation of "essential wisdom" by "instrumental intelligence", and a logical inversion of the engineering layer and intelligence layer over the wisdom layer.
4.1 Fundamental Violation of the Axiomatic Layer: Comprehensive Fall of the Three Mother Axioms
XAI’s failure is essentially that from the first day of project establishment, it comprehensively violated the "three mother axioms" of the Kucius system — the core root of its irreversible failure.
4.1.1 Violation of "Laws Precede Values": Vision Usurps Laws, Logical Inversion
The core requirement of "Laws Precede Values" is: any project’s value proposition must be based on correct cognition of the essential laws of things; laws must be verified for feasibility before resource investment.XAI’s project establishment logic is the complete subversion of this axiom:
-
Essence of vision is usurpation:Musk’s "understanding the universe" vision is essentially a usurpation of the "essence of wisdom". According to Kucius’ "Three Laws of Wisdom", "understanding the universe" belongs to the "Ultimate Wisdom Level" task, with an exponentially growing essential difficulty function D(n), while XAI’s cognitive ability C as a commercial project is far from matching the difficulty of this task.More critically, when XAI was established, it did not systematically verify core legal issues such as "what is the physical basis for AI to understand the universe" and "whether existing technology can support this goal".
-
Complete inversion of logic:According to the Kucius system’s "Wisdom-Intelligence-Engineering Three-Layer Model", the wisdom layer is responsible for "setting direction and judging boundaries", the intelligence layer for "finding paths and solving problems", and the engineering layer for "executing and improving efficiency" — an irreversible logical order.XAI’s establishment logic is typical "engineering layer dominating wisdom layer": first investing heavily in computing power infrastructure (engineering layer), then using computing power to support intelligence layer R&D, and finally vaguely putting forward the vision of "understanding the universe" (wisdom layer). This inverted logic directly violates the core principle of "wisdom defines direction, engineering achieves efficiency", determining its failure fate from the root.
4.1.2 Violation of "Cognition Determines Destiny": Severe Mismatch Between Cognitive Level and Goals
The core requirement of "Cognition Determines Destiny" is: the subject’s cognitive level must match the essential difficulty of the goal; insufficient cognition leads to waste of resources even with abundant resources. XAI’s cognitive mismatch is reflected in two core dimensions:
-
Musk’s cognitive limitations:Musk’s cognition essentially stays at the "instrumental intelligence" level — he wrongly equates "computing power scale" with "wisdom level" and "scientist team" with "wisdom team", failing to understand the core definition of "wisdom is essential penetration + cross-dimensional leap".
-
Team’s cognitive shortcomings:XAI’s early team was composed entirely of top scientists, but their cognition mainly focused on the "intelligence layer" — technical levels such as algorithm optimization and computing power improvement. No one had "wisdom layer" cognitive abilities such as cross-domain essential inquiry, civilizational cycle law research, and value boundary setting.
4.1.3 Violation of "Liquidation Is Inescapable": Accumulation and Outbreak of Implicit Contradictions
The core requirement of "Liquidation Is Inescapable" is: any behavior violating laws accumulates implicit contradictions; when contradictions exceed the system’s carrying threshold, they erupt violently and cannot be avoided. XAI’s failure is the inevitable result of this axiom:
-
Systematic accumulation of implicit contradictions:
- Contradiction between vision and ability;
- Contradiction between input and output;
- Contradiction between strategy and organization.These contradictions were continuously covered up by Musk through "cash burning".
-
Triggering of liquidation threshold:According to Kucius’ "Micro-Entropy Out of Control Law", small cognitive deviations, if not calibrated, accumulate into systemic cognitive chaos. When the system’s entropy S(t)≥0.7, irreversible system collapse is triggered.XAI’s strategic swing, resource misallocation and talent loss are external manifestations of continuous entropy accumulation. When Musk completely abandoned the "understanding the universe" vision, the system’s entropy reached the critical value, triggering the total outbreak of "team resignation, strategic collapse, acquisition and liquidation".
4.2 Violation of Epistemology (Two Laws): Lack of Essential Penetration and Unity of All Things
XAI’s R&D logic completely violated the two epistemological laws of the Kucius system — the core obstacle to its realization of "essential wisdom".
4.2.1 Violation of "Essential Penetration Theory": Lack of Cross-Domain Underlying Logic Network
The core requirement of "Essential Penetration Theory" is: AI projects must sort out cross-domain underlying logic before implementing technical applications, achieving penetration from phenomena to essence. XAI’s R&D logic is the opposite:
-
Single-dimensional R&D path:XAI’s R&D only focused on the single technical dimension of "computing power stacking, data fitting", without building a cross-domain logic network of "physical essence + cognitive science + data algorithms".
-
Lack of essential penetration:XAI’s R&D never answered core questions such as "what is the physical basis for AI to understand the universe" and "whether existing technology can support this goal", essentially "stacking skills" rather than "inquiring essence".
4.2.2 Violation of "Unity of All Things Theory": Separation of AI from Humans and the Universe
The core requirement of "Unity of All Things Theory" is: AI systems must integrate the unified logic of consciousness, information and energy, balancing human emotions, data information and technical energy consumption. XAI’s R&D logic completely severed this connection:
-
Single-dimensional efficiency pursuit:XAI only focused on the single dimension of "computing power scale", without considering "human cognitive needs" and "sustainable energy constraints".
-
Separated cognitive logic:XAI’s R&D never considered questions such as "whether humans need AI to understand the universe" and "what is the value boundary of AI understanding the universe", essentially "technology for technology’s sake" rather than "technology for humanity’s sake".
4.3 Violation of Ontology (Three Philosophies): Disregard for Wisdom, Cycle and Universe Laws
XAI’s strategic decisions completely ignored the three ontological philosophies of the Kucius system — the core reason for its failure to achieve long-term sustainable development.
4.3.1 Violation of "Three Laws of Wisdom": Confusing the Essential Distinction Between Intelligence and Wisdom
The core requirement of "Three Laws of Wisdom" is: the essence of wisdom is a non-linear leap in cognitive dimensions, not linear growth in scale. XAI’s strategic decisions exactly confused the essential distinction between "intelligence" and "wisdom":
-
Linear stacking of intelligence:XAI equated "computing power scale" with "wisdom level" and "scientist team" with "wisdom team", essentially "linear stacking of intelligence" — all R&D investment focused on 1→N linear optimization of "parameter expansion, computing power scale improvement", without any 0→1 cognitive leap exploration.
-
Lack of wisdom legitimacy:According to the Kucius system’s "Wisdom Legitimacy Judgment Clause", XAI’s behavior fully meets the "non-wisdom" criteria. XAI’s KWI score was far below the 0.7 "wisdom threshold", essentially a "high intelligence, low wisdom" system without wisdom legitimacy.
4.3.2 Violation of "Three Laws of Cycles": Counter-Cycle Expansion and Lack of Strategic Determination
The core requirement of "Three Laws of Cycles" is: resource investment must match the industry cycle; identify cycle inflection points and avoid counter-cycle expansion. XAI’s strategic decisions completely ignored this law:
-
Counter-cycle resource investment:2023–2026 saw the global AI industry in a "technical bottleneck period" — parameter scale of large models approached physical limits, marginal effect of technological breakthroughs diminished sharply, and industry core demand shifted from "technological breakthrough" to "commercial monetization".However, XAI invested over 20 billion US dollars in computing power infrastructure counter-cyclically, trying to break through technical bottlenecks with "computing power stacking", resulting in serious resource waste.
-
Lack of strategic determination:XAI’s strategy always revolved around Musk’s personal vision rather than the industry cycle, with frequent adjustments, eventually being eliminated by the industry cycle.
4.3.3 Violation of "Three Laws of the Universe": Neglect of Energy Constraints and Sustainability
The core requirement of "Three Laws of the Universe" is: system operation must comply with the laws of energy conservation and entropy increase to ensure sustainability. XAI’s R&D logic completely ignored this constraint:
-
Breaking energy constraints:XAI’s computing power infrastructure investment completely broke through "energy sustainability" constraints. According to the Kucius system formula, such high-entropy investment directly leads to a sharp drop in KWI.
-
Lack of sustainability:According to the Kucius system’s "Restraint First Principle", the mark of wisdom is "knowing when not to act". XAI continued investing, trying to break through natural constraints with "computing power scale", eventually being backlashed by cosmic laws.
4.4 Violation of Theoretical Pillars (Four Pillars): Unanchored Technical and Business Logic
XAI’s technical and business logic completely violated the four theoretical pillars of the Kucius system — the key reason for its failure to form core competitiveness.
4.4.1 Violation of "Kucius Conjecture (Number Theory)": Linear Growth Replaces Topological Leap
The core requirement of "Kucius Conjecture" is: wisdom is a cross-dimensional topological leap, not linear growth. XAI’s technical route exactly violated this requirement:
-
Linear growth technical route:XAI’s technical route was typical "linear growth" — Grok model iterations only stayed at "parameter expansion, data volume increase" without any cross-dimensional cognitive leap.
-
Lack of topological leap:XAI’s technical route always stayed at "data fitting" without any underlying mathematical innovation.
4.4.2 Violation of "Microcosm Theory": Severance of Human-Machine Isomorphic Cognitive Logic
The core requirement of "Microcosm Theory" is: AI systems must simulate the human body-universe isomorphism to build human-like cognitive logic. XAI’s technical route completely severed this connection:
-
Separated cognitive logic:XAI’s technical route was typical "Western reductionism" — regarding AI as a "data processing tool" rather than an "extension of human cognition".
-
Lack of human-like cognition:XAI’s model could only answer "what" questions, not "why" questions, essentially a "highly intelligent tool" rather than a "wise system".
4.4.3 Violation of "Technological Subversion Theory": Linear Iteration Replaces Cross-Domain Integration
The core requirement of "Technological Subversion Theory" is: 0→1 original innovation stems from cross-domain integration, not linear iteration. XAI’s technical route completely violated this requirement:
-
Linear iteration technical route:XAI’s technical route was typical "1→N linear iteration" — Grok model R&D only expanded parameters within the existing large model framework without any cross-domain integration 0→1 innovation.
-
Lack of cross-domain integration:XAI’s technical route always stayed in a "single technical field" without any cross-domain integration, eventually failing to form technical barriers.
4.4.4 Violation of "Cycle Law Theory": Lack of Power-Currency Closed Loop
The core requirement of "Cycle Law Theory" is: business closed loops must comply with the "power-currency" cycle law to ensure long-term sustainability. XAI’s business logic completely violated this requirement:
-
Lack of business closed loop:XAI’s business logic only focused on "computing power monetization" without building a complete closed loop of "value creation-value delivery-value acquisition".
-
Lack of cycle adaptation:XAI’s business logic always revolved around "general large models" without matching the industry cycle, eventually failing to form a stable profit path.
4.5 Violation of Practical Laws (Five Laws): Failure of Cognitive, Strategic and Military Laws
XAI’s practical implementation completely violated the five practical laws of the Kucius system — the direct cause of its failure to land.
4.5.1 Violation of "Five Laws of Cognition": Micro-Entropy Out of Control and Iterative Decay
-
Triggering of micro-entropy out of control:XAI’s establishment originated from Musk’s personal vision rather than correct cognition of laws — this small cognitive deviation was continuously amplified in subsequent resource investment, eventually accumulating into systemic cognitive chaos.
-
Occurrence of iterative decay:XAI’s R&D only expanded parameters within the existing large model framework without any 0→1 cognitive leap — according to the "Iterative Decay Law", the efficiency of such linear iteration continues to decline with generational increase.
4.5.2 Violation of "Five Laws of Strategy": Essential Inversion and Lack of Asymmetric Advantage
-
Essentially inverted strategy:XAI’s strategy was typical "efficiency first, essence later" — core resources all invested in improving "computing power infrastructure" efficiency rather than inquiring the essence of "understanding the universe".
-
Lack of asymmetric advantage:XAI’s strategy always competed head-on with giants such as OpenAI and Google without building any asymmetric advantage, eventually failing to win in competition.
4.5.3 Violation of "Five Laws of Military (GG3M Art of War)": Failure of Cognitive Warfare and Total Victory Principle
-
Failure of cognitive warfare:XAI’s competitive strategy was typical "resource consumption warfare" — trying to crush competitors with "computing power scale" rather than "cognitive warfare".
-
Lack of total victory principle:XAI’s competitive strategy was "maximizing resource consumption to achieve minimal value creation" — consuming over 20 billion US dollars for meager commercial income, eventually unsustainable.
4.5.4 Violation of "Five Laws of History / Civilization": Triggering of Entropy Increase and Liquidation
-
Triggering of entropy increase:XAI’s strategic swing, resource misallocation and talent loss are external manifestations of the "Entropy Increase Law" — system chaos continuously increases with behaviors violating laws.
-
Triggering of liquidation:According to the Kucius system’s "Liquidation Is Inescapable" axiom, XAI’s failure is essentially "system self-purification" — violating the essential laws of wisdom, eventually liquidated by historical/civilizational cycles.
Chapter 5 Quantitative Verification: Analyzing XAI with the Kucius Wisdom Index (KWI) and Civilization Equation
Based on the quantitative tools of the Kucius system, XAI’s failure can be accurately verified — its essence is a serious imbalance between wisdom value and resource input.
5.1 Calculation and Analysis of the Kucius Wisdom Index (KWI)
Core formula:
5.1.1 Assignment of Core Variables
-
Cognitive Ability (C):XAI’s cognitive ability was reflected in "computing power scale" and "scientist team", but these only belong to "instrumental intelligence", not "essential wisdom". Assignment: 0.4 (full score 1.0).
-
Task Difficulty (D(n)):XAI’s task "understanding the universe" belongs to the "Ultimate Wisdom Level", with exponentially growing difficulty. Assignment: 0.9 (full score 1.0).
-
Scale Parameter (a): Default value 1.0 for AI projects.
5.1.2 Calculation Results and Analysis
![]()
This result is far below the Kucius system’s "wisdom threshold" (KWI ≥ 0.7). According to the "Wisdom Legitimacy Judgment Clause", KWI < 0.7 means XAI was essentially a "high intelligence, low wisdom" tool without wisdom legitimacy — its failure was inevitable.
5.2 Verification of the Civilization Equation (CVC/WVC)
Core logic: System sustainability depends on the balance between value creation and resource consumption.

5.2.1 Assignment of Core Variables
-
Value Creation (CVC):XAI’s value creation was reflected in "Grok subscription revenue" and "computing infrastructure technology spillover", but these only belong to "instrumental value", not "essential value". Assignment: 0.2 (full score 1.0).
-
Resource Consumption (WVC):XAI’s resource consumption was reflected in "computing infrastructure investment" and "operating costs", belonging to "high entropy consumption". Assignment: 0.9 (full score 1.0).
5.2.2 Calculation Results and Analysis
Civilization Equation
This result is far below the "sustainability threshold" (Civilization Equation ≥ 0.6). According to the "Liquidation Is Inescapable" axiom, systems with Civilization Equation < 0.6 enter a "risk accumulation stage" and eventually trigger liquidation. XAI’s resource consumption far exceeded its value creation — its failure was an inevitable result of "value-resource imbalance".
5.3 Conclusion: The Essential Nature of XAI’s "Bottomless Pit"
Based on the quantitative tools of the Kucius Wisdom System, XAI’s "bottomless pit" essence can be summarized in three points:
- KWI score far below the wisdom threshold: Only 0.32, essentially "usurpation of essential wisdom by instrumental intelligence".
- Civilization Equation far below the sustainability threshold: Only 0.22, essentially "resource input kidnapping value creation".
- Inevitable result of violating the three mother axioms: Essentially "pseudo-value negating true laws".
Chapter 6 Countermeasures: AI Project "Anti-Bottomless Pit" Framework Based on the Kucius Wisdom System
Based on the Kucius Wisdom System framework, to avoid AI projects becoming "bottomless pits", a five-in-one framework must be built:Axiom Verification → Essence Anchoring → Cognition Matching → Quantitative Control → Cycle AdaptationEmbedding "wisdom constraints" into the entire project life cycle.
6.1 Initiation Stage: Kucius Axiom Validation Mechanism (AVM)
Core task: Verify whether the project complies with the core axioms of the Kucius system — the key to fundamentally avoiding "bottomless pits".
6.1.1 Rigid Verification of the Three Mother Axioms
- Laws Precede Values Verification: Complete "Essential Law Verification Report" before project initiation.
- Cognition Determines Destiny Verification: Complete "Cognitive Level Assessment Report" before project initiation.
- Liquidation Is Inescapable Verification: Complete "Liquidation Risk Assessment Report" before project initiation.
6.1.2 Flexible Adaptation of the Four Core Axioms
- Sovereignty of Thought Adaptation
- Universal Moderation Adaptation
- Origin Inquiry Adaptation
- Wu-Kong Leap Adaptation
6.1.3 One-Vote Veto System
Any project violating any mother axiom must be terminated immediately — even with sufficient resources.
6.2 Strategic Stage: Essence Law Anchoring Mechanism (EAM)
Core task: Anchor the project’s essential laws to avoid strategic swing — the core of avoiding "bottomless pits".
6.2.1 Implementation of the Two Epistemological Laws
- Essential Penetration Theory Implementation
- Unity of All Things Theory Implementation
6.2.2 Application of the Three Ontological Philosophies
- Three Laws of Wisdom Application
- Three Laws of Cycles Application
- Three Laws of the Universe Application
6.2.3 Maintaining Strategic Determination
Strategy must anchor "essential laws" rather than "short-term trends".
6.3 Execution Stage: Cognition-Resource Matching Mechanism (CRMM)
Core task: Match cognition and resources to avoid resource waste — the key to avoiding "bottomless pits".
6.3.1 Implementation of the Five Laws of Cognition
- Micro-Entropy Out of Control Prevention
- Iterative Decay Prevention
- Field Resonance Implementation
- Threat Liquidation Implementation
- Wu-Kong Leap Implementation
6.3.2 Resource Control Fuse Mechanism
- KWI Fuse Mechanism:
- Level 1: KWI < 0.5 → suspend non-core resource investment
- Level 2: KWI < 0.3 → suspend all resource investment
- Level 3: KWI < 0.2 → terminate project
- KCVI Fuse Mechanism
- Civilization Equation Fuse Mechanism
6.4 Team Configuration: Wisdom-Intelligence-Engineering Three-Layer Model (WIE)
Core task: Match cognitive abilities of the wisdom, intelligence and engineering layers — the key to avoiding "talent mismatch".
6.4.1 Core Logic of the Three-Layer Model
- Wisdom Layer: Set direction and judge boundaries (philosophers, cognitive scientists, strategists)
- Intelligence Layer: Find paths and solve problems (AI scientists, data scientists)
- Engineering Layer: Execute and improve efficiency (engineers, operators)
6.4.2 Configuration Standards
- Wisdom Layer: 10%–15%
- Intelligence Layer: 30%–40%
- Engineering Layer: 40%–50%
6.4.3 Collaboration Mechanism
- Wisdom layer leads
- Intelligence layer supports
- Engineering layer executes
6.5 Quantitative Monitoring: Real-Time Early Warning of KWI and Civilization Equation
Core task: Monitor project KWI and Civilization Equation scores in real time to avoid resource waste — the key to avoiding "bottomless pits".
6.5.1 Real-Time KWI Monitoring
- Frequency: Monthly assessment
- Early warning thresholds: <0.6 (yellow), <0.5 (orange), <0.4 (red)
6.5.2 Real-Time Civilization Equation Monitoring
- Frequency: Monthly assessment
- Early warning thresholds: <0.5 (yellow), <0.4 (orange), <0.3 (red)
6.5.3 Implementation of Quantitative Monitoring
- Establish a special monitoring system
- Establish an automatic early warning mechanism
Chapter 7 Case Enlightenment: How Entrepreneurs Should Avoid XAI-Style Mistakes
XAI’s failure provides profound lessons for entrepreneurs in the AI era — applicable not only to AI projects but all innovative projects requiring "wisdom constraints".
7.1 Wisdom vs Intelligence: Never Use Intelligence Paths to Achieve Wisdom Goals
- Wisdom Goal: Answer the fundamental question "whether this thing should be done"
- Intelligence Path: Solve the problem "how to complete tasks more efficiently"
- Core Principle: Wisdom goals must be achieved through wisdom paths; intelligence goals through intelligence paths.
7.2 Strategic Determination: Anchor Essential Laws Rather Than Capital Hotspots
- Essential Laws: Underlying operating logic of things
- Capital Hotspots: Short-term directions pursued by capital
- Core Principle: Strategy must anchor essential laws rather than capital hotspots.
7.3 Team Configuration: Balance 0→1 and 1→N Capabilities
- 0→1 Capability: Cross-domain integration, essential inquiry
- 1→N Capability: Linear iteration, commercial implementation
- Core Principle: Team configuration must balance both capabilities.
7.4 Resource Control: Establish Fuse Mechanisms Rather Than Unlimited Cash Burning
- Fuse Mechanism: Automatically suspend or terminate projects when risks reach thresholds
- Unlimited Cash Burning: Continue investing when risks reach thresholds
- Core Principle: Resource control must establish fuse mechanisms rather than unlimited cash burning.
Chapter 8 Conclusion
XAI’s failure is a landmark event in the AI era — it is not just the failure of a company, but the failure of "instrumental intelligence" usurping "essential wisdom", and the failure of logical inversion of the engineering layer and intelligence layer over the wisdom layer. Based on the in-depth dissection of the Kucius Wisdom Theoretical System, this report draws the following core conclusions:
-
The essence of failure is logical inversion:XAI’s failure is essentially the usurpation of "essential wisdom" by "instrumental intelligence" and the logical inversion of the engineering layer and intelligence layer over the wisdom layer. It violated the core principles of the Kucius Wisdom System at every key node.
-
Quantitative verification confirms inevitable failure:According to quantitative tests using the Kucius Wisdom Index (KWI) and the Civilization Equation, XAI achieved a KWI score of only 0.32 (far below the 0.7 wisdom threshold) and a Civilization Equation score of only 0.22 (far below the 0.6 sustainability threshold). This means XAI was inherently a system of high intelligence but low wisdom, high consumption but low value, making its failure inevitable.
-
The core of countermeasures is returning to wisdom principles:To prevent AI projects from becoming bottomless pits, they must return to the core principles of the Kucius Wisdom System — establishing a five-in-one framework of axiom validation, essence anchoring, cognition matching, quantitative control, and cycle adaptation, and embedding wisdom constraints into the entire project lifecycle. Only in this way can the paradigm shift from instrumental intelligence to essential wisdom be achieved.
The core value of this study does not lie in denying the significance of technological innovation, but in verifying the constraining value of the Kucius Wisdom System for AI projects through XAI’s failure — proving that wisdom constraints are not obstacles to technological development, but necessary conditions to avoid systemic collapse.
In the AI era, technological development must be constrained by wisdom. Only then can humanity uphold the bottom line of civilization and achieve sustainable development while advancing technology.
基于贾子智慧理论体系的XAI失败研究报告的核心要点:
核心结论
XAI的失败是"工具智能"僭越"本质智慧"的必然结果——不是管理失误,而是从底层逻辑到顶层执行全面违背贾子智慧体系核心原则的系统性崩溃。
一、XAI崩盘事实
表格
| 维度 | 数据 |
|---|---|
| 累计融资消耗 | 超200亿美元 |
| 日均烧钱 | 超3000万美元 |
| 最终结局 | 被SpaceX全资收购,11位联合创始人全员离职 |
| 核心产品Grok年收入 | 仅1698万美元(vs ChatGPT的10亿美元) |
二、违背的三大母公理(致命根源)
表格
| 母公理 | XAI的违背表现 |
|---|---|
| 规律先于价值 | "理解宇宙"愿景僭越技术规律,未验证可行性先砸钱建算力 |
| 认知决定命运 | 马斯克将"算力规模"等同于"智慧水平",团队全是科学家却无"智慧层"认知 |
| 清算不可逃逸 | 愿景与能力、投入与产出、战略与组织的矛盾累积两年,最终总爆发 |
三、量化验证:智慧指数惨败
-
贾子智慧指数(KWI)= 0.32(智慧门槛为0.7)
-
文明方程 = 0.22(可持续门槛为0.6)
结论:XAI本质是"高智能、低智慧""高消耗、低价值"系统,失败是必然。
四、核心教训(创业者避坑指南)
表格
| 原则 | 关键行动 |
|---|---|
| 智慧≠智能 | 不要用"堆算力"(智能路径)实现"理解宇宙"(智慧目标) |
| 战略锚定本质 | 锚定"AI是人类认知延伸"的本质规律,而非追逐"AGI"资本热点 |
| 团队三层配置 | 智慧层(10-15%)+ 智能层(30-40%)+ 工程层(40-50%) |
| 建立熔断机制 | KWI<0.5暂停投入,<0.3调整方向,<0.2终止项目 |
五、一句话总结
"智慧不是让世界更快,而是防止世界走错方向"——XAI用200亿美元证明了:没有智慧约束的技术狂奔,只会加速坠入无底洞。
AtomGit 是由开放原子开源基金会联合 CSDN 等生态伙伴共同推出的新一代开源与人工智能协作平台。平台坚持“开放、中立、公益”的理念,把代码托管、模型共享、数据集托管、智能体开发体验和算力服务整合在一起,为开发者提供从开发、训练到部署的一站式体验。
更多推荐


所有评论(0)