1982-2025年中国逐年1000米分辨率净生态系统生产力(NEP)数据集
本数据集提供了1982年至2025年全球逐年净生态系统生产力(NEP)数据,空间分辨率为1000米。数据集基于多源遥感数据、气象再分析数据和生态系统过程模型生成,反映了在标准气候与环境驱动场条件下陆地生态系统的碳源汇时空动态。数据经过了一致性处理和误差分析等质量控制,确保了其在长时间序列上的可比性与可靠性。该数据集对于评估全球及区域碳收支、研究气候变化对生态系统的影响以及支持相关环境政策制定具有重要的利用价值。
关键词:净生态系统生产力;NEP;CASA模型;1000米分辨率
引 言
陆地生态系统作为全球碳循环的关键组成部分,其碳源汇格局的动态变化深刻影响着大气二氧化碳浓度的增长速率,进而对气候变化产生重要反馈。精确量化陆地生态系统碳收支的时空变异,是当前全球变化生态学和地球系统科学研究的核心问题之一,对于理解和预测气候变化、制定科学合理的碳管理政策具有重要意义。
传统的站点观测虽然能够提供精确的生态系统通量数据,但在空间代表性上存在局限,难以直接扩展到区域和全球尺度。随着遥感技术的发展,利用卫星遥感数据驱动生态系统模型或基于光能利用率原理的反演模型,已成为估算大尺度、长时间序列生态系统生产力(如总初级生产力GPP和净初级生产力NPP)的主流方法。净生态系统生产力(NEP)作为GPP扣除自养呼吸和异养呼吸后的剩余部分,直接表征了生态系统与大气之间的净碳交换量,是判断区域为碳源或碳汇的关键指标。
为满足对长时间序列、高空间分辨率全球NEP数据的需求,我们在整合多源遥感数据(如NDVI、EVI等)、气象再分析数据以及生态系统过程模型的基础上,开发了本数据集。它延续并拓展了先前在区域碳循环模拟和基于遥感的生产力估算等方面的研究工作。本数据集提供了1982-2025年间逐年、1公里分辨率的全球NEP数据,能够清晰地揭示近40年来全球碳源汇的时空分异特征与演变趋势。
本数据集可为全球变化研究、碳循环模型验证、生态脆弱性评估以及国家尺度碳汇核算提供关键的数据支撑,具有广泛的重用价值。
1 数据采集和处理方法
1.1 数据采集方法
本数据集计算使用了归一化植被指数(NDVI),土地利用,太阳辐射,降水,温度。分为预处理和计算两个部分,预处理部分主要通过裁剪,投影的方式统一数据的范围,行列数,投影,分辨率。计算部分通过公式分步计算。本数据集1000米分辨率的中国范围的净初级生产力(NPP)数据,及下方列举的生产所需的数据统一采用了墨卡托(UTM_Zone_46N)投影。
1.1.1 归一化植被指数数据(NDVI)数据
1982-1999年数据来源于NOAA CDR AVHRR NDVI 数据,分辨率为5KM。2000-2025年数据来源于MOD13A2 V6.1版本,此产品的算法会从 16 天内的所有采集中选择最佳可用像素值。所用标准为低云、低视角和最高NDVI值。通过编写代码筛选时间范围进行最大值合成,并根据上传的中国区域范围进行裁剪,对裁剪好的影像进行导出下载。得到一年内逐月的最大值的NDVI的TIFF影像。
1.1.2 土地利用数据
本数据是基于美国陆地卫星Landsat 系列(MSS、TM、7、8、9)影像数据,通过人机交互解译生成的全国30米分辨率土地利用遥感监测空间分布数据(www.gis5g.com/#/dataResourceDetail?resourcesId=148)。根据LUCC分类体系将土地利用类型分为6个一级类,25个二级类。时间为2000-2025年。
1.1.3 太阳辐射数据
太阳辐射数据是基于国家气象科学数据中心的中国国家级地面气象站基本气象要素日值数据集(V3.0),时间为2000年1月至2025年12月,利用Anusplin方法对其进行插值得到30 m空间分辨率的月总太阳辐射数据。
1.1.4 降水数据
降水数据是基于国家气象科学数据中心中国国家级地面气象站基本气象要素日值数据集(V3.0),时间为2000年1月至2025年12月,利用Anusplin方法对其进行插值得到30 m空间分辨率的月均降水数据。
1.1.5 温度数据
温度数据是基于国家气象科学数据中心中国国家级地面气象站基本气象要素日值数据集(V3.0),时间为2000年1月至2025年12月,利用Anusplin方法对其进行插值得到30 m空间分辨率的月均温度数据。
1.1.6 DEM数据
DEM数据是来自美国国家航空航天局(NASA)与日本经济产业省(METI)联合发布的STER GDEM V3,该数据以 WGS84/EGM96 大地水准面为参考。空间分辨率为0.00027777778°(约30米),垂直精度为20米,水平精度为30米(精度信息来源于USGS网站)。
1.2 数据处理
1.2.1 土地利用数据处理
土地利用数据为每五年一幅的TIFF影像,分辨率为30米,首先使用ARCGIS 10.6软件将其投影,分辨率1000米,处理1985-2020年间共8幅影像。由于不同土地利用类型的最大光能利用效率(εmax)不同,目前的利用类型不能与其完全呼应,所以需要将1000米分辨率的土地利用影像进行重分类。
1.2.2 归一化植被指(NDVI)数据处理
对下载好2000-2025年的逐月NDVI最大值合成数据使用ARCGIS 10.6软件进行投影,设置分辨率1000米,并使用裁剪工具,以土地利用数据为基础进行行列数匹配,或者行列数、投影、分辨率均相同的影像。对于1982-1999年的5KM分辨率的NDVI影像,使用机器学习的方法优化分辨率至1000米,再使用ARCGIS 10.6软件进行同样的裁剪操作,得到与土地利用数据相同行列数、投影、分辨率的数据。
1.2.3 太阳辐射数据处理
进行计算大气上空太阳辐射H0(MJ m-2 d-1)计算公式:
![]()
式中:GSC为太阳常数,其值一般为1367Wm-2(相当于118.108MJ m-2 d-1);E0为地球轨道偏心率校正因子;Φ为纬度;δ为太阳赤纬;WS为时角(角度)。
![]()

式中:年角Γ=2π(n−1)/365,单位为弧度,n为一年中的日序数。
![]()
日出和日落间的时间间隔为日长(SL),假设在日出和日落时间太阳高速角为0,有:
![]()
地面晴空状态下的太阳辐射:总辐射在大气中的透明度系数本文为0.8。则:
![]()
式中:HL为晴天状态下的地面总辐射。
逐日太阳辐射利用Angtrom-Prescott方程计算:
![]()
式中:H为日实测总辐射,HL为晴天状态下的日总辐射,S和SL分辨为日照时数和日长,a和b为经验参数,本数据集中a取0.248,b取0.752。
1.2.4 降水数据处理
基于 Anusplin 软件插值生成的 1982 年以来各月度 1000 米分辨率降水栅格数据,插值过程中引入高程作为协变量,单位为mm。使用ARCGIS 10.6软件进行与NDVI同样的投影裁剪操作,获得与土地利用行列数,投影,分辨率相同的影像。
1.2.5 温度数据处理
基于 Anusplin 软件插值生成的 1982 年以来各月度 1000 米分辨率气温栅格数据,插值过程中引入高程作为协变量,单位为℃。使用ARCGIS 10.6软件进行与NDVI同样的投影裁剪操作,获得与土地利用行列数,投影,分辨率相同的影像。
1.2.6 NPP计算
CASA(Cainegie-Ames-Stanford Approach)模型计算公式如下:
NPP(x,t)=APAR(x,t)×ε(x,t)
其中,NPP(x,t)表示像元x在t月的净初级生产力(gC/m²);APAR(x,t)表示像元x在t月吸收的光合有效辐射(单位:gC·m-2·month -1);ε(x,t)表示单个像元x在t月的实际光能利用率(单位:gC·MJ -1 )。
APAR(x,t)= SOL(x,t) ×0.5 ×FPAR(x,t)
式中:SOL(x,t)是时间为t月象元x处的太阳总辐射量(单位:MJ۰m-2۰month -1 ), SOL(x,t)应用经验公式进行计算。0.5指的是植被所能利用的太阳有效辐射(波长是0.4~0.7μm)占太阳总辐射的比例;FPAR(x, t)为植被吸收光合有效辐射的吸收比例;FPAR与归一化植被指数(NDVI)、比值植被指数(SR)皆存在一定的线性关系。
植被吸收的光和有效辐射取决于太阳总辐射和植被本身特性,太阳总辐射可由大气上界太阳辐射量和日照百分率计算。
![]()
式中:SOL为陆表短波辐射,常被称为陆表太阳辐射(MJ·m-2·d-1);n为实际日照时数(单位:h),由气象资料提供;N为最大日照时数(单位:h);n/N为日照百分率,S0为大气外界辐射量(单位:MJ·m-2·d-1);an,bn表示晴天最大日照时数时到达地面的大气外界辐射分量,参考已有研究选取an=0.207;bn=0.725。

式中:dr为大气外界相对日地距离;Q0为太阳常数(取0.0820MJ·m-2·min-1);d为赤纬(单位:rad),Ws为太阳时角(单位:rad);j为纬度(单位:rad)。d,dr,Ws由下式计算:

式中:J为该年中所处的天数。
植被层对光合有效辐射的吸收比例(FPAR)主要受到地表植被覆盖类型和覆盖程度影响。其计算公式如下:
FPAR(x,t)=αFPARNDVI+(1-α)FPARSR
其中α = 0.5,

式中,FPARmin和FPARmax的取值与植被类型无关,分别为0.001和0.95;SR(i,max)和SR(i,min)分别对应第i种植被类型的NDVI值进行计算。
光能利用率主要受气温、水分状况的影响。计算公式如下:
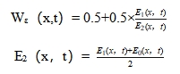
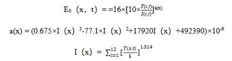
ε(x,t)= T1(x,t)×T2(x,t)×Wε(x,t)×εmax
式中εmax表示最大光能利用率(gC·MJ-1);T1(x,t)和T2(x,t)表示低温和高温对光能利用率的胁迫作用;Wε(x,t)为水分胁迫影响系数。
T1(x,t) 反应在低温和高温时植物内在得生化作用对光合得限制而降低植被净初级生产力。
T1(x,t) = 0.8+0.002×Topt(x)-0.0005×[Topt(x)]2
式中,Topt(x)为植物生长的最适温度,定义为某一区域一年内NDVI达到最高时的当月平均气温(℃);当某一月平均温度小于或等于-10℃时,其值取0。
T2(x,t)表示环境温度从最适温度Topt(x)向高温或低温变化时植物光能利用率逐渐变小的趋势。
T2(x,t) = 1.184/{1+exp[0.2×(Topt(x)-10-T(x,t))]}
×1/{1+exp[0.3×(-Topt(x)-10+T(x,t))]
当某一月平均气温T(x,t)比最适温度Topt(x)高10℃或低13℃时,该月的T2(x,t)值等于月平均温度T(x,t)为最适温度Topt(x)时T2(x,t)值得一半。
水分胁迫影响系数Wε(x,t)反映了植物所能利用得有效水分条件对光能利用率得影响,其值在极端干旱条件下为0.5,非常湿润条件下为1。计算公式如下:

其中,E0的计算公式如下:

式中,T(x,t)是月平均气温。
植被在没有任何限制性的理想条件下对光合有效辐射的利用率, 它是植被本身的一种生理属性, 其取值因不同的植被类型而有所不同。植被类型不同εmax值不同,参考朱文泉等的研究,对不同的土地利用类型的εmax进行赋值。见表1。
表1 不同土地利用类型最大光能利用率(εmax)
|
Vege_code |
土地利用类型 |
εmax |
|
1 |
常绿针叶林 |
0.389 |
|
2 |
常绿阔叶林 |
0.985 |
|
3 |
落叶针叶林 |
0.485 |
|
4 |
落叶阔叶林 |
0.692 |
|
5 |
混交林 |
0.475 |
|
6 |
郁闭灌丛 |
0.429 |
|
7 |
稀疏灌丛 |
0.429 |
|
8 |
木本热带稀树草原 |
0.542 |
|
9 |
热带稀树草原 |
0.542 |
|
10 |
草原 |
0.542 |
|
11 |
永久湿地 |
0.542 |
|
12 |
农用地 |
0.542 |
|
13 |
城市和建成区 |
0.542 |
|
14 |
农用地/自然植被 |
0.542 |
|
15 |
雪和冰 |
0.542 |
|
16 |
稀疏植被 |
0.542 |
|
17 |
水体 |
0.542 |
1.2.7 NEP计算
植被NEP喂表征区域碳源/汇的重要指标,NEP可以表示为植被NPP与土壤异养呼吸消耗碳量的差值,计算公式如下:
NEP(x,t) = NPP(x,t) - RH(x,t)
式中:RH为土壤异养呼吸消耗的碳量,其计算公式如下:
ln RH(x,t)= 0.22 + 0.87×ln RS(x,t)
式中:RS(x,t)为土壤呼吸速率,其值采用土壤呼吸模型进行估算。计算公式如下:

式中:T(x,t)为像元x在时间段t内的平均气温(单位:℃);P(x,t)为像元x在时间段t内的降水量(单位:cm)。
2 数据样本描述
本数据集包含了1982年至2025年共44年的1000米分辨率净生态系统生产力(NEP)数据,并按省份裁剪,分为32个省份,共1408个TIFF影像的压缩包,分别存放各省各年份的NEP数据。

图1 2024年1000米分辨率NEP示意图

图2 2024年1000米分辨率NEP部分细节
3 数据质量控制和评估
本数据集的质量控制与评估严格遵循其构建框架,对于核心分量NPP,我们采用经过广泛验证的CASA模型进行估算,并利用遥感数据与地面观测对其关键参数(如最大光能利用率)进行了区域性优化,确保了初级生产力模拟的合理性。对于异养呼吸RH,由于其基于经验公式估算,通过气候数据估算,具有一定的局限性,其输出值在已知的生态系统呼吸范围内。同时,针对原始遥感输入数据中因云覆盖等造成的瞬时缺失,我们在NPP计算环节已进行了有效的控制,从而保证了1982-2025年整个时序产品的连续性与完整性。
4 数据价值
本数据集通过融合多源遥感数据并采用“CASA模型+经验公式优化”的创新混合框架,生成了中国时空跨度长达44年(1982-2025)且分辨率高达1公里的逐年NEP数据,在数据加工方法与质量控制上实现了对现有产品的突破。其超长时序和高分辨率的独特优势,能够精准支撑全球与区域尺度的生态系统碳汇动态评估、气候变化响应研究及重大生态工程效益分析,为气候变化科学和政策制定提供了不可替代的数据基石。
参考文献
[1] 朱文泉, 潘耀忠, 张锦水. 中国陆地植被净初级生产力遥感估算. 植物生态学报, 2007, 31(3): 413-424. DOI: 10.17521/cjpe.2007.0050
[2] 朱文泉,潘耀忠,何浩,等。中国典型植被最大光利用率模拟 (J/OL). 科学通报, 2006, 51 (6):700-706.2006-03-30.2025-09-17. https://www.sciengine.com/doi/10.1360/972005-555.
[3] 朱文泉, 陈云浩, 徐丹, 李京. 陆地植被净初级生产力计算模型研究进展[J]. 生态学杂志, 2005, (3): 296-300.
[4] 李传华,曹红娟,范也平,韩海燕,孙皓,王玉涛.基于校正的CASA模型NPP遥感估算及分析——以河西走廊为例.生态学报,2019,39(5):1616~1626
[5] 朱文泉,潘耀忠,龙中华,陈云浩,李京,扈海波.基于GIS和RS的区域陆地植被NPP估算——以中国内蒙古为例[J].遥感学报,2005(03):300-307. DOI: 10.11834/jrs.20050344.
[6] 李朝晖,单楠,王琪,等.2013-2020年呼伦湖流域植被碳源/汇估算及影响因子分析[J].生态与农村环境学报,2022,38(11):1437-1446.
数据库(集)基本信息简介
|
数据库(集)名称 |
1982-2025年中国逐年1000米分辨率净生态系统生产力(NEP)数据集 |
|
数据作者 |
地球资源数据云(www.gis5g.com) |
|
数据时间范围 |
1982-2025年 |
|
地理区域 |
地理范围为3°51′0″–53°33′39″N,73°30′4″–135°5′19″E |
|
空间分辨率 |
1000 m |
|
数据量 |
5.8GB |
|
数据格式 |
TIFF |
获取数据搜索地球资源数据云或关注公众号
AtomGit 是由开放原子开源基金会联合 CSDN 等生态伙伴共同推出的新一代开源与人工智能协作平台。平台坚持“开放、中立、公益”的理念,把代码托管、模型共享、数据集托管、智能体开发体验和算力服务整合在一起,为开发者提供从开发、训练到部署的一站式体验。
更多推荐



所有评论(0)