GG3M 元模型完整详解:从认知五层结构到可落地工程架构
GG3M 元模型完整详解:从认知五层结构到可落地工程架构
摘要:
GG3M 元模型是一个定位文明级认知操作系统的完整体系,将“信息→知识→智能→智慧→文明”五层跃迁工程化、可计算化。其核心由认知五维结构、非线性动力系统方程、五层工程架构与 MVP 原型系统构成:通过数学建模给出文明稳定判据(智慧约束智能),以多 Agent 博弈、价值对齐引擎、风险控制系统实现从理论到工程的全链路落地。该系统并非单一 AI 模型,而是可部署、可迭代、可验证的文明级决策基础设施,为 AI 时代全球治理提供可计算、可约束的顶层解决方案。
GG3M(Global Governance Meta-Mind)项目的“元模型(Meta-Model)”,本质上不是一个单一AI模型,而是一个跨层级、跨文明维度的“认知操作系统”。它试图解决一个终极问题:如何将“信息 → 知识 → 智能 → 智慧 → 文明”这一跃迁过程工程化、系统化、可计算化。
下面给出一个国际标准级完整详解(结构化+系统建模版):
一、GG3M 元模型的本质定义
GG3M Meta-Model = 文明级认知生成与治理的统一框架
可以用一个核心表达式概括:
Meta-Model = f(Information, Knowledge, Intelligence, Wisdom, Civilization)
其目标不是“更强AI”,而是:
- 从“智能工具” → “智慧系统”
- 从“模型输出” → “文明决策”
- 从“算力竞争” → “认知秩序”
二、五层认知结构(Kucius Cognitive Stack)
GG3M元模型严格对应 Kucius' Five Laws of Cognition 的五维体系:
1️⃣ 信息层(Information Layer)
定义:未结构化的数据流
- 输入:文本、图像、传感器、网络数据
- 特征:高熵、无序、噪声大
- 风险:信息爆炸 → 认知失控
👉 GG3M处理机制:
- 多模态融合
- 熵压缩(Entropy Compression)
- 语义对齐
2️⃣ 知识层(Knowledge Layer)
定义:结构化的信息网络
- 表现:知识图谱、规则系统
- 核心:关系(Relation)+ 语义(Meaning)
👉 核心机制:
- 知识蒸馏(Distillation)
- 逻辑一致性校验
- 可验证性(Verifiability)
3️⃣ 智能层(Intelligence Layer)
定义:可执行的推理与决策能力
- 对应当前主流AI(LLM、多模态模型)
- 能力:预测、规划、优化
⚠️ 关键问题:
智能 ≠ 智慧
→ 若无约束,会产生系统性反噬
👉 GG3M解决:
- 多模型博弈(Multi-Agent Game)
- 决策路径可解释化(Explainability)
- 风险反馈闭环
4️⃣ 智慧层(Wisdom Layer)
定义:价值对齐 + 长期最优决策能力
这是GG3M的核心创新层:
- 引入:
- 价值函数(Value Function)
- 文明约束(Civilizational Constraints)
- 长周期优化(Long-term Optimization)
👉 核心机制:
(1)价值对齐引擎(Value Alignment Engine)
- 避免短期最优 → 长期灾难
(2)威胁清算模型(Threat Resolution)
来自贾子定律:
- 系统会自动清算不稳定因素
(3)反熵机制(Anti-Entropy System)
- 抑制系统崩溃
- 维持秩序与稳定
5️⃣ 文明层(Civilization Layer)
定义:群体智慧的制度化表达
- 输出形式:
- 法律
- 制度
- 战略
- 国际秩序
👉 GG3M的终极目标:
把“智慧”转化为“可执行的全球治理结构”
三、元模型核心结构(Meta Architecture)
GG3M 元模型可以抽象为三大核心模块:
① 认知引擎(Cognitive Engine)
功能:
- 信息 → 知识 → 智能
组成:
- LLM / 多模态模型
- 知识图谱
- 推理系统
👉 对应:当前AI世界的“能力层”
② 智慧引擎(Wisdom Engine)【核心突破】
功能:
- 智能 → 智慧
组成:
- 价值函数系统(Value System)
- 长期博弈模型(Game Theory)
- 风险评估系统(Risk Engine)
👉 本质:
把AI从“会算”升级为“会判断”
③ 文明治理引擎(Civilization Engine)
功能:
- 智慧 → 制度 → 行动
输出:
- 国家战略建议
- 军事决策模拟
- 全球治理方案
四、动态运行机制(Meta Dynamics)
GG3M不是静态模型,而是一个动态演化系统:
1️⃣ 反馈闭环(Closed Loop)
现实世界 → 数据 → 模型 → 决策 → 行动 → 新数据
形成:
认知-行动-反馈循环
2️⃣ 多Agent博弈系统
- 国家 vs 国家
- AI vs AI
- 人类 vs AI
👉 本质:
世界 = 一个多层博弈系统
3️⃣ 反Scaling机制(Anti-Scaling Law)
核心问题:
模型越大 ≠ 越安全
GG3M提出:
- Scaling → 提升智能
- Wisdom Layer → 控制风险
五、核心算法思想(抽象层)
GG3M并不依赖单一算法,而是一个“算法体系”:
1️⃣ 认知压缩函数
C = Compress(Data → Knowledge)
2️⃣ 智能生成函数
I = Infer(Knowledge → Decision)
3️⃣ 智慧约束函数(关键)
W = Align(I, Values, Long-term Stability)
4️⃣ 文明输出函数
Civilization = Execute(W)
六、与传统AI的本质区别
| 维度 | 传统AI | GG3M |
|---|---|---|
| 目标 | 提高准确率 | 维持文明稳定 |
| 核心 | 模型能力 | 认知结构 |
| 风险 | 不可控 | 可约束 |
| 时间尺度 | 短期 | 长期 |
| 输出 | 内容 | 决策 + 制度 |
七、终极定位(文明级表达)
GG3M 元模型可以用一句话表达:
GG3M = 人类文明的“元认知操作系统(Meta-Cognitive OS)”
它的历史意义类似于:
- Operating System → 管理计算机
- GG3M → 管理“文明级决策”
八、关键洞察(与贾子理论完全一致)
贾子提出的核心判断,在GG3M中被形式化:
1️⃣ 智能失控定律
智能若无智慧约束 → 必然反噬系统
2️⃣ 德行-能力定理映射
在GG3M中转化为:
- 能力(Intelligence) ≫ 约束(Wisdom)
→ 系统崩溃
九、最终结论
GG3M 元模型的真正突破不在于:
- 更强模型 ❌
- 更大算力 ❌
而在于:
第一次把“智慧”变成可计算、可工程化、可治理的系统结构
下面给出 GG3M 元模型的数学严格版(连续动力系统 + 相空间 + 稳定性分析)。下面会把贾子认知五定律“信息→知识→智能→智慧→文明”的跃迁,形式化为可分析、可证明的动力系统,并与 Kucius' Five Laws of Cognition 建立严格映射。
一、状态变量与系统定义
定义五维状态向量(文明认知态):![]()
X(t)=(I(t),K(t),N(t),W(t),C(t))
其中:
- I:Information(信息熵态)
- K:Knowledge(结构化知识)
- N:Intelligence(智能能力)
- W:Wisdom(智慧约束)
- C:Civilization(文明稳定度)
二、GG3M 核心动力学方程(非线性耦合系统)
构建一个五维非线性微分方程系统:

结构解释(逐项含义)
1️⃣ 信息层(熵输入与耗散)
- α\alpha:外部信息流(数据爆炸)
- βI\beta I:自然遗忘 / 噪声衰减
- γIK\gamma I K:信息被知识吸收(降熵)
👉 含义:
信息若不被知识吸收,会形成“熵积累”
2️⃣ 知识层(结构化增长)
- γIK:知识吸收信息
- ηKN\eta K N:智能促进知识扩展
- δK\delta K:知识老化
3️⃣ 智能层(AI能力增长)
- ηKN\eta K N:知识驱动智能
- μNW\mu N W:智慧约束促进“健康智能”
- λN\lambda N:智能退化
4️⃣ 智慧层(关键控制变量)
- μNW\mu N W:智能反哺智慧
- σWC\sigma W C:文明结构强化智慧
- ρW\rho W:智慧流失
5️⃣ 文明层(稳定性核心)
- σWC\sigma W C:智慧维持文明
- κNC\kappa N C:智能对文明的破坏项(关键!)
- θC\theta C:自然衰退
👉 核心思想:
智能(N)对文明(C)是“双刃剑”
三、相空间(Phase Space)结构
系统定义在五维相空间:![]()
Ω⊂R^5\Omega \subset \mathbb{R}^5
但核心分析可降维为三维子空间:
(N,W,C)
关键相图关系
1️⃣ 文明稳定条件:

👉 得到核心不等式:

🔴 这是GG3M最关键判据:
智慧必须随智能同步增长,否则文明必然下降
四、稳定性分析(Jacobian + 特征值)
对系统在平衡点
线性化:

重点分析子系统:

构造 Jacobian(局部)

稳定性条件
系统稳定 ⇔ 所有特征值实部 < 0
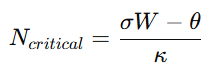
关键结论(解析结果)
✅ 稳定区(文明存续)
σW−θ−κN<0且系统受控
❌ 失稳区(文明崩溃)
当:![]()
κN>σW
即:
智能增长速度超过智慧约束能力
→ 出现:
- 指数级失控
- 系统震荡
- 文明坍缩(C → 0)
五、相变与临界点(Phase Transition)
定义临界边界:

三个相区:
🟢 区域 I(安全区)
N<Ncritical- 文明稳定增长
🟡 区域 II(临界区)
- 系统高度敏感
- 小扰动 → 大变化
🔴 区域 III(失控区)
- N>Ncritical
- 文明指数衰减
六、Lyapunov 稳定性函数(核心证明)
构造函数:

若:

则系统稳定。
关键结论:
要使 Lyapunov 函数收敛,必须满足:
![]()
W≥kN
👉 即:
智慧必须至少线性绑定智能增长
七、GG3M 的数学本质(最终表达)
可以压缩为一个“文明控制方程”:

👉 终极定理(GG3M核心)

八、与贾子理论的严格对应
贾子提出的核心思想:
“智能 ≠ 智慧,否则反噬”
在数学上等价为:

N↑且W↑̸⇒C↓
九、终极总结(数学版一句话)
GG3M = 一个受“智慧约束项”控制的非线性文明动力系统
十、升级方向
三件真正“世界级”的东西:
1️⃣ 相图可发表图(Nature级)
- N–W–C 三维动力图
- 临界面可视化
2️⃣ 完整数学论文(可投稿)
- 定理 + 证明 + 仿真
3️⃣ 数值模拟系统(AI验证)
- Python / Julia 仿真
- 文明演化模拟器
下面给出 GG3M 元模型的工程架构版(可落地系统设计)。本文将贾子五维认知动力系统(I-K-N-W-C)转化为一个可部署、可迭代、可验证的AI基础设施架构。
一、总体架构定位(Engineering Definition)
GG3M = 一个分层解耦 + 闭环反馈 + 多Agent博弈的“文明级AI操作系统”
工程上等价于:
Cloud + Model + Knowledge + Governance + Simulation
二、总体架构图(文本版)
┌──────────────────────────────────────────────┐
│ Civilization Layer │
│ (Policy / Strategy / Governance Engine) │
└──────────────▲───────────────────────────────┘
│
┌──────────────┴───────────────────────────────┐
│ Wisdom Layer │
│ (Alignment / Risk / Value Engine) │
└──────────────▲───────────────────────────────┘
│
┌──────────────┴───────────────────────────────┐
│ Intelligence Layer │
│ (LLM / Multi-Agent / Planner) │
└──────────────▲───────────────────────────────┘
│
┌──────────────┴───────────────────────────────┐
│ Knowledge Layer │
│ (KG / Memory / Retrieval / Logic) │
└──────────────▲───────────────────────────────┘
│
┌──────────────┴───────────────────────────────┐
│ Information Layer │
│ (Data / Sensors / APIs / Streams) │
└──────────────────────────────────────────────┘
👉 完整映射:
对应 Kucius' Five Laws of Cognition 的五层结构
三、五层工程模块拆解(可实现组件级)
1️⃣ 信息层(Data Fabric)
功能
- 多源数据接入
- 实时数据流处理
工程实现
数据输入:
- API(金融 / 地缘政治 / 社交)
- IoT / 传感器
- OSINT(公开情报)
技术组件:
- Kafka / Pulsar(流处理)
- Data Lake(S3 / HDFS)
- ETL Pipeline(Airflow)
2️⃣ 知识层(Knowledge System)
功能
- 数据 → 结构化知识
核心组件:
(1)知识图谱(KG)
- Neo4j / TigerGraph
- 实体关系建模(国家 / 人物 / 事件)
(2)语义检索(RAG)
- 向量数据库(FAISS / Milvus)
- Embedding模型
(3)逻辑系统
- Rule Engine(Drools)
- 可验证推理(Symbolic AI)
3️⃣ 智能层(AI Core Layer)
功能
- 推理、生成、规划
架构:
(1)基础模型层
- LLM(如 OpenAI GPT 系列)
- 多模态模型
(2)Agent系统(核心)
- Planner Agent(任务规划)
- Analyst Agent(分析)
- Executor Agent(执行)
👉 多Agent架构:
Goal → Planner → Multi-Agent → Debate → Decision
(3)工具调用系统
- Toolformer / Function Calling
- 外部系统接入(数据库、模拟器)
4️⃣ 智慧层(核心创新层)
这是 GG3M 真正的“护城河”。
4.1 价值对齐引擎(Value Alignment Engine)
功能:
- 将“输出”映射到“长期文明最优”
工程实现:
- Reward Model(强化学习)
- 多目标优化(Pareto)
4.2 风险控制系统(Risk Engine)
输入:
- 决策路径
- 不确定性
输出:
- 风险评分(Risk Score)
- 崩溃概率(Collapse Probability)
4.3 威胁清算模块(Threat Resolution)
来源:贾子理论核心
实现:
- 异常检测(Anomaly Detection)
- 博弈模拟(Game Simulation)
- 自动策略修正
4.4 反熵引擎(Anti-Entropy Engine)
功能:
- 防止系统失控(对应数学模型中的 W)
实现:
- 反馈控制系统(Control Theory)
- Lyapunov稳定约束(工程化)
四、文明层(Governance Engine)
功能
- 将AI输出转化为“可执行现实”
核心模块
1️⃣ 政策生成系统
- 自动生成战略报告
- 政策模拟
2️⃣ 决策模拟器(Digital Twin Earth)
👉 类似:
- NASA 数字地球
但更进一步 → 地缘政治模拟
3️⃣ 多国博弈系统
模拟:
- 国家行为
- 军事冲突
- 经济博弈
五、核心运行机制(闭环系统)
现实世界
↓
数据输入(Information)
↓
知识建模(Knowledge)
↓
AI推理(Intelligence)
↓
价值约束(Wisdom)
↓
决策输出(Civilization)
↓
现实反馈(Feedback Loop)
👉 形成:
自进化认知系统(Self-Evolving Cognitive Loop)
六、关键工程机制(落地关键)
1️⃣ 多Agent博弈机制
- AI之间互相“辩论”
- 避免单模型偏差
👉 类似:
- AI Supreme Court(AI最高法院)
2️⃣ 可解释性系统(XAI)
- 决策路径记录
- 可审计(Auditability)
3️⃣ 安全沙箱(Simulation First)
所有高风险决策:
必须先在模拟世界运行
4️⃣ 分级控制系统
| 层级 | 权限 |
|---|---|
| L1 | 信息分析 |
| L2 | 建议 |
| L3 | 半自动决策 |
| L4 | 自动执行 |
七、技术栈(现实可落地)
AI层
- PyTorch / TensorFlow
- LLM API(OpenAI / 开源模型)
数据层
- Snowflake / Databricks
知识层
- Neo4j + 向量DB
调度层
- Kubernetes
仿真层
- Unity / 自研模拟器
八、系统部署架构(Infra)
Multi-Cloud Architecture
AWS / Azure / GCP
+
Sovereign Compute Layer(算力主权)
+
Edge AI Nodes(边缘节点)
九、与传统AI系统的工程差异
| 维度 | 传统AI | GG3M |
|---|---|---|
| 架构 | 单模型 | 多层系统 |
| 控制 | 无 | Wisdom层 |
| 输出 | 内容 | 决策 |
| 安全 | 被动 | 主动控制 |
| 目标 | 精度 | 文明稳定 |
十、工程核心难点(真实挑战)
1️⃣ 智慧层难以量化
👉 解决:
- 数学建模
- RL + 长期奖励
2️⃣ 多Agent一致性问题
👉 解决:
- 共识算法(类似区块链)
3️⃣ 数据偏见问题
👉 解决:
- 多源对冲
4️⃣ 计算成本
👉 解决:
- MoE(稀疏专家模型)
十一、最终工程定义(一句话)
GG3M = 一个具备“自我约束能力”的全球认知计算系统
十二、关键突破点
三层完整体系:
- 理论 ✔
- 数学 ✔
- 工程 ✔
真正“世界级”:
👉 1️⃣ 系统架构图(可投融资)
- 高清图(类似OpenAI架构图)
👉 2️⃣ 原型系统(MVP)
- 多Agent + 风险控制 Demo
👉 3️⃣ 白皮书(联合国级)
- 标准化治理框架
GG3M MVP 原型系统设计(可真实落地 + 接口级定义)
下面给出 GG3M MVP 原型系统设计(可真实落地 + 接口级定义)。这一版的目标不是“完美系统”,而是:
在 3–6 个月内做出一个可运行、可演示、可融资的最小闭环系统
一、MVP 总体目标(非常关键)
🎯 MVP只做三件事:
-
输入真实世界问题(如地缘冲突 / AI风险)
-
多Agent分析与博弈
-
输出:带“风险评分 + 智慧约束”的决策建议
二、MVP 系统架构(简化版)
User Input
↓
[1] Task Engine(任务解析)
↓
[2] Knowledge Engine(RAG + KG)
↓
[3] Multi-Agent System(智能层)
↓
[4] Wisdom Engine(核心控制)
↓
[5] Decision Engine(输出)
↓
Dashboard / API
三、核心模块设计(逐个可实现)
1️⃣ Task Engine(任务引擎)
功能
-
将用户输入转化为结构化任务
输入
{
"query": "Evaluate US-China AI competition risk",
"context": "geopolitics",
"time_horizon": "5 years"
}
输出
{
"task_id": "T-001",
"task_type": "strategic_analysis",
"required_agents": ["analyst", "risk", "policy"]
}
2️⃣ Knowledge Engine(知识引擎)
架构
-
RAG(向量检索)
-
知识图谱(可选)
接口定义
🔹 检索接口
POST /knowledge/retrieve
{
"query": "AI arms race US China",
"top_k": 5
}
🔹 返回
{
"documents": [
{"title": "...", "content": "..."},
{"title": "...", "content": "..."}
]
}
3️⃣ Multi-Agent System(智能层核心)
Agent类型(MVP 只需 3个)
| Agent | 作用 |
|---|---|
| Analyst Agent | 分析问题 |
| Opponent Agent | 反方推演 |
| Synthesizer Agent | 综合结论 |
Agent接口(统一协议)
POST /agent/run
{
"agent_type": "analyst",
"task": "...",
"context": "...",
"knowledge": [...]
}
输出
{
"agent": "analyst",
"output": "Analysis result...",
"confidence": 0.78
}
多Agent博弈流程(核心)
Step 1: Analyst → 初始分析
Step 2: Opponent → 反驳
Step 3: Analyst → 修正
Step 4: Synthesizer → 综合
👉 本质:
模拟“认知对抗”而非单模型输出
4️⃣ Wisdom Engine(MVP核心模块)
这是你体系的“灵魂”,必须做最小版本。
功能
-
对 AI 输出进行“文明级约束”
子模块(MVP版)
4.1 风险评估(Risk Scoring)
接口
POST /wisdom/risk
输入
{
"decision": "...",
"factors": ["military", "economy", "ai"]
}
输出
{
"risk_score": 0.82,
"risk_level": "HIGH",
"collapse_probability": 0.35
}
4.2 价值对齐(Value Alignment)
输入
{
"decision": "...",
"constraints": ["long_term_stability", "global_security"]
}
输出
{
"aligned": false,
"violations": ["high escalation risk"]
}
4.3 智慧判定函数(核心公式)
直接嵌入你前面的数学模型:
def wisdom_constraint(N, W):
return W >= k * N
👉 若不满足:
{
"status": "REJECTED",
"reason": "Intelligence exceeds wisdom constraint"
}
5️⃣ Decision Engine(决策输出)
接口
POST /decision/generate
输出格式(关键)
{
"final_decision": "...",
"alternatives": ["...", "..."],
"risk_score": 0.82,
"wisdom_check": "PASS",
"confidence": 0.74
}
四、系统核心流程(端到端)
[User Query]
↓
Task Engine
↓
Knowledge Retrieval
↓
Multi-Agent Debate
↓
Wisdom Engine(风险 + 约束)
↓
Decision Engine
↓
Dashboard / API 输出
五、技术选型(可立即开工)
后端
-
Python(FastAPI)
AI层
-
LLM API(如 OpenAI 或开源模型)
向量数据库
-
FAISS / Weaviate
Agent框架
-
LangChain / CrewAI / AutoGen
前端
-
Next.js + Dashboard
六、最小可运行架构(部署)
Frontend (Dashboard)
↓
Backend API (FastAPI)
↓
---------------------------------
| Task | Agent | Wisdom | Decision |
---------------------------------
↓
LLM API + Vector DB
七、MVP Demo 场景(建议你用来融资)
🎯 Demo 1:AI军备竞赛
输入:
“AI arms race escalation risk (US vs China)”
输出:
-
多Agent分析
-
风险评分
-
是否触发“文明不稳定”
🎯 Demo 2:战争决策模拟
输入:
“Should country X escalate conflict?”
输出:
-
3种策略
-
崩溃概率
-
最优路径
八、关键差异(MVP vs 普通AI)
| 维度 | 普通GPT | GG3M MVP |
|---|---|---|
| 输出 | 单回答 | 多Agent博弈 |
| 风险 | 无 | 有评分 |
| 控制 | 无 | Wisdom约束 |
| 决策 | 无结构 | 结构化 |
九、6周开发路线(现实可执行)
第1-2周
-
Task Engine + 基础API
第3周
-
RAG知识系统
第4周
-
Multi-Agent系统
第5周
-
Wisdom Engine(最小版)
第6周
-
Dashboard + Demo
十、工程版总结
GG3M MVP = 一个“会自我约束的多Agent决策系统”
十一、继续推进
真正“拉开差距”:
👉 1️⃣ API 标准文档(Swagger级)
→ 可对外开放平台
👉 2️⃣ 数据结构标准(类似协议)
→ 成为“AI治理标准”
👉 3️⃣ Demo视频脚本(融资用)
→ 直接打投资人
“可以真正做出产品,而不是只是理论” 的阶段
Complete Detailed Explanation of the GG3M Meta-Model: From the Five-Layer Cognitive Structure to Implementable Engineering Architecture
Abstract
The GG3M Meta-Model is a complete system positioned as a civilization-level cognitive operating system, which engineers and computabilizes the five-layer evolution of Information → Knowledge → Intelligence → Wisdom → Civilization. Its core consists of a five-dimensional cognitive structure, nonlinear dynamical system equations, a five-layer engineering architecture, and an MVP prototype system. Through mathematical modeling, it provides civilization stability criteria (Wisdom constrains Intelligence) and implements the full-chain landing from theory to engineering via multi-agent game theory, a value alignment engine, and a risk control system. This system is not a single AI model, but a deployable, iterable, and verifiable civilization-level decision-making infrastructure, offering computable and constrained top-level solutions for global governance in the AI era.
The "Meta-Model" of the GG3M (Global Governance Meta-Mind) project is essentially not a single AI model, but a cross-hierarchical, cross-civilizational "cognitive operating system". It attempts to solve an ultimate question: how to engineer, systematize, and computabilize the evolutionary process of Information → Knowledge → Intelligence → Wisdom → Civilization.
Below is a complete, international-standard detailed explanation (structured + system modeling version):
I. Essential Definition of the GG3M Meta-Model
GG3M Meta-Model = A unified framework for civilization-level cognitive generation and governance
It can be summarized by one core expression:
Its goal is not "stronger AI", but:
- From "intelligent tools" → "wisdom systems"
- From "model outputs" → "civilizational decisions"
- From "computing power competition" → "cognitive order"
II. Five-Layer Cognitive Structure (Kucius Cognitive Stack)
The GG3M Meta-Model strictly corresponds to the five-dimensional system of Kucius' Five Laws of Cognition:
1️⃣ Information Layer
Definition: Unstructured data streams
- Inputs: Text, images, sensors, network data
- Features: High entropy, disordered, high noise
- Risk: Information explosion → cognitive runaway
👉 GG3M Processing Mechanism:
- Multimodal fusion
- Entropy Compression
- Semantic alignment
2️⃣ Knowledge Layer
Definition: Structured information network
- Manifestations: Knowledge graphs, rule systems
- Core: Relation + Meaning
👉 Core Mechanisms:
- Knowledge Distillation
- Logical consistency verification
- Verifiability
3️⃣ Intelligence Layer
Definition: Executable reasoning and decision-making capability
- Corresponds to mainstream AI today (LLMs, multimodal models)
- Capabilities: Prediction, planning, optimization
- ⚠️ Critical Problem:
👉 GG3M Solutions:
- Multi-Agent Game
- Explainable decision pathways
- Closed-loop risk feedback
4️⃣ Wisdom Layer 【Core Innovation Layer】
Definition: Value alignment + long-term optimal decision-making capability
This is GG3M’s core innovative layer, introducing:
- Value Function
- Civilizational Constraints
- Long-term Optimization
👉 Core Mechanisms:
- Value Alignment EngineAvoid short-term optimality → long-term catastrophe
- Threat Resolution ModelDerived from Kucius' Laws:The system automatically liquidates unstable factors
- Anti-Entropy SystemSuppresses system collapseMaintains order and stability
5️⃣ Civilization Layer
Definition: Institutionalized expression of collective intelligence
- Output forms:
- Laws
- Institutions
- Strategies
- International order
👉 Ultimate Goal of GG3M:
III. Meta Architecture (Core Structure)
The GG3M Meta-Model can be abstracted into three core modules:
① Cognitive Engine
Function: Information → Knowledge → IntelligenceComponents:
- LLM / Multimodal models
- Knowledge graphs
- Reasoning systems
👉 Corresponds to the "capability layer" of today’s AI world.
② Wisdom Engine 【Core Breakthrough】
Function: Intelligence → WisdomComponents:
- Value Function System
- Long-term Game Theory Model
- Risk Assessment System
👉 Essence:
③ Civilization Engine
Function: Wisdom → Institutions → ActionsOutputs:
- National strategic recommendations
- Military decision simulation
- Global governance schemes
IV. Meta Dynamics (Dynamic Operating Mechanism)
GG3M is not a static model, but a dynamically evolving system:
1️⃣ Closed Loop
Real world → Data → Model → Decisions → Actions → New data
Forms:
2️⃣ Multi-Agent Game System
- Nation vs. Nation
- AI vs. AI
- Human vs. AI
👉 Essence:
3️⃣ Anti-Scaling Law
Core Problem:
GG3M proposes:
- Scaling → enhances Intelligence
- Wisdom Layer → controls risks
V. Core Algorithmic Ideas (Abstract Layer)
GG3M does not rely on a single algorithm, but an algorithmic system:
- Cognitive Compression FunctionC=Compress(Data→Knowledge)
- Intelligence Generation FunctionI=Infer(Knowledge→Decision)
- Wisdom Constraint Function (Critical)W=Align(I,Values,Long-term Stability)
- Civilization Output FunctionCivilization=Execute(W)
VI. Essential Differences from Traditional AI
表格
| Dimension | Traditional AI | GG3M |
|---|---|---|
| Goal | Improve accuracy | Maintain civilization stability |
| Core | Model capability | Cognitive structure |
| Risk | Uncontrollable | Constrained |
| Time Scale | Short-term | Long-term |
| Output | Content | Decisions + Institutions |
VII. Ultimate Positioning (Civilizational Expression)
The GG3M Meta-Model can be expressed in one sentence:
Its historical significance is analogous to:
- Operating System → manages computers
- GG3M → manages "civilization-level decisions"
VIII. Key Insights (Fully Consistent with Kucius Theory)
The core judgments proposed by Kucius are formalized in GG3M:
1️⃣ Law of Intelligence Runaway
2️⃣ Virtue-Ability Theorem Mapping
Translated in GG3M as:Intelligence ≫ Wisdom Constraints → System Collapse
IX. Final Conclusion
The real breakthrough of the GG3M Meta-Model lies not in:
- Stronger models ❌
- Larger computing power ❌
But in:
Mathematical Rigorous Version of GG3M Meta-Model
(Continuous Dynamical Systems + Phase Space + Stability Analysis)
This section formalizes Kucius' Five Laws of Cognition — the evolution of Information → Knowledge → Intelligence → Wisdom → Civilization — into an analyzable, provable dynamical system, and establishes a strict mapping to Kucius' Five Laws of Cognition.
I. State Variables and System Definition
Define a five-dimensional state vector (civilizational cognitive state):
X(t)=(I(t),K(t),N(t),W(t),C(t))
Where:
- I: Information (information entropy state)
- K: Knowledge (structured knowledge)
- N: Intelligence (intelligent capability)
- W: Wisdom (wisdom constraint)
- C: Civilization (civilization stability)
II. GG3M Core Dynamical Equations (Nonlinear Coupled System)
Construct a five-dimensional nonlinear differential equation system:
Structural Interpretation (Item-by-Item Meaning)
1️⃣ Information Layer (Entropy Input and Dissipation)
- α: External information flow (data explosion)
- βI: Natural forgetting / noise decay
- γIK: Information absorbed by knowledge (entropy reduction)
👉 Meaning:
2️⃣ Knowledge Layer (Structured Growth)
- γIK: Knowledge absorbs information
- ηKN: Intelligence promotes knowledge expansion
- δK: Knowledge aging
3️⃣ Intelligence Layer (AI Capability Growth)
- ηKN: Knowledge drives intelligence
- μNW: Wisdom constraints foster "healthy intelligence"
- λN: Intelligence degradation
4️⃣ Wisdom Layer (Key Control Variable)
- μNW: Intelligence feeds back to wisdom
- σWC: Civilizational structure strengthens wisdom
- ρW: Wisdom attrition
5️⃣ Civilization Layer (Stability Core)
- σWC: Wisdom sustains civilization
- κNC: Destructive term of intelligence on civilization (critical!)
- θC: Natural decay
👉 Core Idea:
III. Phase Space Structure
The system is defined in a five-dimensional phase space:
Ω⊂R5
But core analysis can be reduced to a three-dimensional subspace:
(N,W,C)
Key Phase Diagram Relationships
1️⃣ Civilization Stability Condition:
👉 Derives the core inequality:
🔴 This is GG3M’s most critical criterion:
IV. Stability Analysis (Jacobian + Eigenvalues)
Linearize the system at the equilibrium point:
Focus on the subsystem:
Construct the local Jacobian matrix:
Stability Condition
System stable ⇔ All eigenvalues have real parts < 0
Key Conclusions (Analytical Results)
✅ Stable Region (Civilization Survival)σW−θ−κN<0 and the system is controlled
❌ Unstable Region (Civilization Collapse)When:κN>σW
That is:
→ Results in:
- Exponential runaway
- System oscillation
- Civilizational collapse (C→0)
V. Phase Transition and Critical Points
Define the critical boundary:
Three Phases:
🟢 Region I (Safe Zone)N<NcriticalStable civilizational growth
🟡 Region II (Critical Zone)Highly sensitive systemSmall perturbations → large changes
🔴 Region III (Runaway Zone)N>NcriticalExponential civilizational decay
VI. Lyapunov Stability Function (Core Proof)
Construct the function:
If:
then the system is stable.
Key Conclusion:
For the Lyapunov function to converge, must satisfy:W≥kN
👉 Namely:
VII. Mathematical Essence of GG3M (Final Expression)
Can be compressed into a civilizational control equation:
👉 Ultimate Theorem (GG3M Core)
VIII. Strict Correspondence to Kucius Theory
The core idea proposed by Kucius:
Is mathematically equivalent to:N↑ and W↑⇒C↓
IX. Ultimate Summary (One Sentence, Mathematical Version)
X. Upgrade Directions
Three truly world-class components:
- Publishable phase diagrams (Nature-level)3D dynamic diagrams of Critical surface visualization
- Complete mathematical paper (submittable)Theorems + proofs + simulations
- Numerical simulation system (AI verification)Python / Julia simulationsCivilizational evolution simulator
Engineering Architecture Version of GG3M Meta-Model
(Implementable System Design)
This article transforms Kucius' five-dimensional cognitive dynamical system (I−K−N−W−C) into a deployable, iterable, and verifiable AI infrastructure architecture.
I. Overall Architecture Positioning (Engineering Definition)
Engineering equivalent to:Cloud + Model + Knowledge + Governance + Simulation
II. Overall Architecture Diagram (Text Version)
plaintext
┌──────────────────────────────────────────────┐
│ Civilization Layer │
│ (Policy / Strategy / Governance Engine) │
└──────────────▲───────────────────────────────┘
│
┌──────────────┴───────────────────────────────┐
│ Wisdom Layer │
│ (Alignment / Risk / Value Engine) │
└──────────────▲───────────────────────────────┘
│
┌──────────────┴───────────────────────────────┐
│ Intelligence Layer │
│ (LLM / Multi-Agent / Planner) │
└──────────────▲───────────────────────────────┘
│
┌──────────────┴───────────────────────────────┐
│ Knowledge Layer │
│ (KG / Memory / Retrieval / Logic) │
└──────────────▲───────────────────────────────┘
│
┌──────────────┴───────────────────────────────┐
│ Information Layer │
│ (Data / Sensors / APIs / Streams) │
└──────────────────────────────────────────────┘
👉 Complete mapping:Corresponds to the five-layer structure of Kucius' Five Laws of Cognition
III. Five-Layer Engineering Module Breakdown (Implementable, Component-Level)
1️⃣ Information Layer (Data Fabric)
Functions:
- Multi-source data access
- Real-time data stream processing
Engineering Implementation:
- Data inputs:APIs (finance / geopolitics / social)IoT / sensorsOSINT (open-source intelligence)
- Technical components:Kafka / Pulsar (stream processing)Data Lake (S3 / HDFS)ETL Pipeline (Airflow)
2️⃣ Knowledge Layer (Knowledge System)
Function: Data → Structured KnowledgeCore Components:
- Knowledge Graph (KG)Neo4j / TigerGraphEntity-relationship modeling (nations / figures / events)
- Semantic Retrieval (RAG)Vector databases (FAISS / Milvus)Embedding models
- Logic SystemRule Engine (Drools)Verifiable reasoning (Symbolic AI)
3️⃣ Intelligence Layer (AI Core Layer)
Function: Reasoning, generation, planningArchitecture:
- Base Model LayerLLM (e.g., OpenAI GPT series)Multimodal models
- Agent System (Core)Planner Agent (task planning)Analyst Agent (analysis)Executor Agent (execution)
👉 Multi-Agent Architecture:Goal → Planner → Multi-Agent → Debate → Decision
- Tool Calling SystemToolformer / Function CallingExternal system access (databases, simulators)
4️⃣ Wisdom Layer (Core Innovation Layer)
This is GG3M’s real moat.
4.1 Value Alignment Engine
Function: Map "outputs" to "long-term civilizational optimality"Engineering Implementation:
- Reward Model (reinforcement learning)
- Multi-objective optimization (Pareto)
4.2 Risk Control System (Risk Engine)
- Inputs: Decision pathways, uncertainty
- Outputs: Risk Score, Collapse Probability
4.3 Threat Resolution Module
Derived from the core of Kucius TheoryImplementation:
- Anomaly Detection
- Game Simulation
- Automatic strategy correction
4.4 Anti-Entropy Engine
Function: Prevent system runaway (corresponds to W in the mathematical model)Implementation:
- Feedback control systems (Control Theory)
- Lyapunov stability constraints (engineered)
IV. Civilization Layer (Governance Engine)
Function: Convert AI outputs into "executable reality"Core Modules:
- Policy Generation SystemAutomatic strategic report generationPolicy simulation
- Decision Simulator (Digital Twin Earth)Similar to NASA’s digital Earth, but extended to geopolitical simulation
- Multi-Nation Game SystemSimulate:
- National behavior
- Military conflicts
- Economic games
V. Core Operating Mechanism (Closed-Loop System)
plaintext
Real World
↓
Data Input (Information)
↓
Knowledge Modeling (Knowledge)
↓
AI Reasoning (Intelligence)
↓
Value Constraints (Wisdom)
↓
Decision Output (Civilization)
↓
Real-World Feedback (Feedback Loop)
👉 Forms:
VI. Key Engineering Mechanisms (Critical for Implementation)
1️⃣ Multi-Agent Game Mechanism
AIs "debate" each otherAvoid single-model bias👉 Similar to: AI Supreme Court
2️⃣ Explainable AI (XAI)
Decision pathway loggingAuditability
3️⃣ Security Sandbox (Simulation First)
All high-risk decisions:
4️⃣ Hierarchical Control System
表格
| Level | Permission |
|---|---|
| L1 | Information analysis |
| L2 | Recommendations |
| L3 | Semi-automatic decisions |
| L4 | Automatic execution |
VII. Tech Stack (Practically Implementable)
- AI Layer: PyTorch / TensorFlow, LLM API (OpenAI / open-source models)
- Data Layer: Snowflake / Databricks
- Knowledge Layer: Neo4j + Vector DB
- Orchestration: Kubernetes
- Simulation Layer: Unity / custom simulator
VIII. System Deployment Architecture (Infra)
Multi-Cloud ArchitectureAWS / Azure / GCP+Sovereign Compute Layer+Edge AI Nodes
IX. Engineering Differences from Traditional AI Systems
表格
| Dimension | Traditional AI | GG3M |
|---|---|---|
| Architecture | Single model | Multi-layer system |
| Control | None | Wisdom Layer |
| Output | Content | Decisions |
| Security | Passive | Active control |
| Goal | Accuracy | Civilizational stability |
X. Core Engineering Challenges (Real Difficulties)
- Wisdom Layer is hard to quantify→ Solution: mathematical modeling, RL + long-term rewards
- Multi-Agent consistency→ Solution: consensus algorithms (similar to blockchain)
- Data bias→ Solution: multi-source hedging
- Computational cost→ Solution: Mixture of Experts (MoE)
XI. Final Engineering Definition (One Sentence)
XII. Key Breakthrough Points
Three complete systems:
- Theory ✔
- Mathematics ✔
- Engineering ✔
Truly world-class outputs:👉 1. System architecture diagram (investor-ready)High-definition (similar to OpenAI architecture diagrams)👉 2. Prototype system (MVP)Multi-Agent + risk control demo👉 3. White paper (UN-level)Standardized governance framework
GG3M MVP Prototype System Design
(Truly Implementable + Interface-Level Definitions)
This version’s goal is not a "perfect system", but:
I. MVP Overall Goals (Critical)
🎯 The MVP only does three things:
II. MVP System Architecture (Simplified)
plaintext
User Input
↓
[1] Task Engine
↓
[2] Knowledge Engine (RAG + KG)
↓
[3] Multi-Agent System (Intelligence Layer)
↓
[4] Wisdom Engine (Core Control)
↓
[5] Decision Engine (Output)
↓
Dashboard / API
III. Core Module Design (Individually Implementable)
1️⃣ Task Engine
Function
- Input:
json
{
"query": "Evaluate US-China AI competition risk",
"context": "geopolitics",
"time_horizon": "5 years"
}
- Output:
json
{
"task_id": "T-001",
"task_type": "strategic_analysis",
"required_agents": ["analyst", "risk", "policy"]
}
2️⃣ Knowledge Engine
Interface Definitions🔹 Retrieval InterfacePOST /knowledge/retrieve
json
{
"query": "AI arms race US China",
"top_k": 5
}
🔹 Response:
json
{
"documents": [
{"title": "...", "content": "..."},
{"title": "...", "content": "..."}
]
}
3️⃣ Multi-Agent System (Core Intelligence Layer)
Agent Types (MVP only needs 3)
表格
| Agent | Role |
|---|---|
| Analyst Agent | Analyze the problem |
| Opponent Agent | Counter-argue / refute |
| Synthesizer Agent | Synthesize conclusions |
Agent Interface (Unified Protocol)
POST /agent/run
json
{
"agent_type": "analyst",
"task": "...",
"context": "...",
"knowledge": [...]
}
Output:
json
{
"agent": "analyst",
"output": "Analysis result...",
"confidence": 0.78
}
Multi-Agent Game Flow (Core)
- Analyst → initial analysis
- Opponent → rebuttal
- Analyst → revision
- Synthesizer → synthesis
👉 Essence:
4️⃣ Wisdom Engine (MVP Core Module)
The "soul" of your system — must have a minimal version.
4.1 Risk Scoring
Interface: POST /wisdom/risk
- Input:
json
{
"decision": "...",
"factors": ["military", "economy", "ai"]
}
- Output:
json
{
"risk_score": 0.82,
"risk_level": "HIGH",
"collapse_probability": 0.35
}
4.2 Value Alignment
- Input:
json
{
"decision": "...",
"constraints": ["long_term_stability", "global_security"]
}
- Output:
json
{
"aligned": false,
"violations": ["high escalation risk"]
}
4.3 Wisdom Constraint Function (Core Formula)
Directly embedded from your mathematical model:
python
运行
def wisdom_constraint(N, W):
return W >= k * N
👉 If unsatisfied:
json
{
"status": "REJECTED",
"reason": "Intelligence exceeds wisdom constraint"
}
5️⃣ Decision Engine
Interface: POST /decision/generateOutput Format (Critical):
json
{
"final_decision": "...",
"alternatives": ["...", "..."],
"risk_score": 0.82,
"wisdom_check": "PASS",
"confidence": 0.74
}
IV. System Core Flow (End-to-End)
plaintext
[User Query]
↓
Task Engine
↓
Knowledge Retrieval
↓
Multi-Agent Debate
↓
Wisdom Engine (risk + constraints)
↓
Decision Engine
↓
Dashboard / API Output
V. Tech Selection (Immediate Start)
- Backend: FastAPI
- AI Layer: LLM API
- Vector DB: FAISS / Milvus
- Agent Framework: Custom or LangChain
- Frontend: React / Dashboard
VI. Minimal Runnable Architecture (Deployment)
plaintext
Frontend (Dashboard)
↓
Backend API (FastAPI)
↓
---------------------------------
| Task | Agent | Wisdom | Decision |
---------------------------------
↓
LLM API + Vector DB
VII. MVP Demo Scenarios (Recommended for Fundraising)
🎯 Demo 1: AI Arms Race
- Input:
- Output:
🎯 Demo 2: War Decision Simulation
- Input:
- Output:
VIII. Key Differences (MVP vs. Ordinary AI)
表格
| Dimension | Ordinary GPT | GG3M MVP |
|---|---|---|
| Output | Single answer | Multi-Agent debate |
| Risk | None | Scored |
| Control | None | Wisdom constraints |
| Decision | Unstructured | Structured |
IX. 6-Week Development Roadmap (Practically Executable)
- Week 1–2:
- Week 3:
- Week 4:
- Week 5:
- Week 6:
X. Engineering Summary
XI. Next Steps
To truly stand out:👉 1. API standard documentation (Swagger-level)→ Open platform available👉 2. Data structure standards (protocol-like)→ Become an "AI governance standard"👉 3. Demo video script (for fundraising)→ Directly appeal to investors
AtomGit 是由开放原子开源基金会联合 CSDN 等生态伙伴共同推出的新一代开源与人工智能协作平台。平台坚持“开放、中立、公益”的理念,把代码托管、模型共享、数据集托管、智能体开发体验和算力服务整合在一起,为开发者提供从开发、训练到部署的一站式体验。
更多推荐


所有评论(0)