大模型入门必看:小白程序员轻松掌握LLM核心知识,附收藏!
本文介绍了主流开源大语言模型体系,包括Prefix Decoder、Causal Decoder和Encoder-Decoder系的区别和特点。详细解释了Attention Mask、大模型训练目标如最大似然估计和去噪自编码器、涌现能力的原因、LLMs采用Decoder-only结构的原因、Layer normalization的不同类型及其在LLMs中的位置区别、激活函数如GeLU、Swish、GLU及其变体、Attention的优化方向和变体、Multi-Query Attention和Grouped-query Attention的概念和优势,以及FlashAttention和并行Transformer Block等技术。文章旨在帮助初学者理解大模型的基础知识,为面试和实际应用打下坚实基础。
1、主流开源模型体系
目前主流的开源大语言模型体系大致分为三类:
Prefix Decoder 系:
- 输入端:双向注意力(类似 Encoder)
- 输出端:单向注意力(类似 Decoder)
- 代表模型:ChatGLM、ChatGLM2、U-PaLM
- 特点:prefix 部分 token 互相可见,属于 Encoder-Decoder 折中方案
- 缺点:训练效率低
Causal Decoder 系:
- 注意力:严格自回归单向注意力,即从左到右
- 代表模型:LLaMA 系列及衍生物
- 特点:预训练和下游任务完全一致,zero-shot 表现最好
- 优点:训练效率高、zero-shot 能力强,具备涌现能力
- 缺点:输入语义理解能力相对不足
Encoder-Decoder 系:
- 输入端:双向注意力(更充分的语义理解)
- 输出端:单向注意力(生成时遵循因果性)
- 代表模型:T5、Flan-T5、BART
- 特点:在理解类任务表现好
- 缺点:长文本生成表现差,训练效率低

2、Attention Mask 的区别
设输入序列长度为 n,attention mask 矩阵 M ∈ ℝⁿˣⁿ:
设输入序列长度为 n,attention mask 矩阵 M ∈ ℝⁿˣⁿ:
*(1)Encoder(双向注意力)*

所有 token 都能互相看到,语义理解。
*(2)Causal Decoder(单向注意力)*

当前位置只能看到自身与之前的 token,因果律。
*(3)Prefix Decoder(折中)*


3、大模型训练目标
(1)最大似然估计(MLE)
根据已出现的 token,预测下一个 token(作文):

如下:
- **Causal Decoder:**在所有 token 上计算损失
- **Prefix Decoder:**仅在输出部分计算损失
(2)去噪自编码器(Denoising Autoencoder)
随机替换/打乱文本段,让模型恢复原始文本(完形):

如下:
- 其中 x̃ 表示被随机破坏的输入
- 代表模型:T5、GLM-130B
- 难点:实现更复杂,训练效率更低
4、涌现能力的原因(猜测)
复杂任务由多个子任务组成,子任务性能随模型规模平滑提升,但整体任务指标可能出现“跳变”,表现为涌现能力。
模型容量与表示能力的非线性增强,随着参数量增加,模型可能跨越某种“能力门槛”。
比如我们假设某个任务 T 有 5 个子任务 Sub-T 构成,每个 sub-T 随着模型增长,指标从 40% 提升到 60%,但是最终任务的指标只从 1.1% 提升到了 7%,也就是说宏观上看到了涌现现象,但是子任务效果其实是平滑增长的。
5、为何大多数 LLM 采用 Decoder-only 结构?
原因如下:
- Zero-shot 能力强: 无需大量标注数据,也能在自监督学习下发挥最好性能。
- 训练效率高: 与下游推理完全一致,工程更简洁。
- 理论上更优: Encoder 的双向注意力在生成任务中可能引入低秩问题,削弱表达能力。
- 参数利用效率: 同等参数量下,Encoder-Decoder 结构分摊了参数;Decoder-only 全部用于生成,更高效。
6、Layer normalization
(1)Layer Norm

如下:
- **μ:**特征的均值
- **σ:**标准差,归一化的缩放因子
- **γ:**可训练的缩放参数
- **β:**可训练的偏移参数
- **ε:**防止除零的小常数
Layer Norm 会对输入的每个 token 向量 按维度标准化,使其均值为 0、方差为 1,然后再通过 γ,β 学习恢复合适的分布。
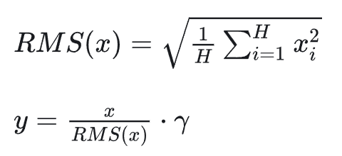
(2)RMS Norm
RMSNorm 移除了均值项,只保留均方根 (Root Mean Square):

如下:
- 无 β 偏移项
- 只保留缩放参数 γ
- 计算更快,对训练稳定性也有帮助
RMS Norm 只控制输入的 尺度(scale),不调整均值,因此更轻量,常用于大型模型(如 GPT-3 变体、PaLM)。
RMS Norm 简化了 Layer Norm ,去除掉计算均值进行平移的部分。对比 LN,RMS Norm 的计算速度更快。效果基本相当,甚至略有提升。
(3)Deep Norm
Deep Norm 主要是为了解决训练非常深的 Transformer 时梯度不稳定的问题(比如 100+ 层):
- 执行 Layer Norm 之前,up-scale 了残差连接(alpha>1);
- 初始化阶段 down-scale 了模型参数(beta<1)
残差形式:

其中 α = 1/√(2N),N 为层数。在层与层之间的残差路径上控制信息流强度。这样可以避免残差累加过大导致梯度爆炸。
import torch.nn as nndef deepnorm_init(w): if any(name in w.name for name in ['ffn', 'v_proj', 'out_proj']): nn.init.xavier_normal_(w, gain=math.sqrt(2.0)) elif any(name in w.name for name in ['q_proj', 'k_proj']): nn.init.xavier_normal_(w, gain=1.0)
LN 在 LLMs 中的不同位置区别?

Post-LN:
- **位置:**layer norm 在残差链接之后
- **缺点:**Post-LN 在深层的梯度范式逐渐增大,导致使用 post-LN 的深层 transformer 容易出现训练不稳定的问题
- 输出质量高,深层训练难
Pre-LN:
- **位置:**layer norm 在残差链接中
- **优点:**相比于 Post-LN,Pre-LN 在深层的梯度范式近似相等,所以使用 Pre-LN 的深层 transformer 训练更稳定,可以缓解训练不稳定问题
- **缺点:**相比于 Post-LN,Pre-LN 的模型效果略差
- 深层稳定,略牺牲输出质量
Sandwich-LN:
- **位置:**在 pre-LN 的基础上,额外插入了一个 layer norm
- **优点:**Cogview 用来避免值爆炸的问题
- **缺点:**训练不稳定,可能会导致训练崩溃。
- 极深防爆,普通训练易崩

LLMs 各模型分别用了哪种 Layer normalization?



7、LLMs 激活函数
FFN(前馈层)基本计算公式:

如下:
- 输入:向量 x ∈ ℝᵈ
- 权重:
- W₁ ∈ ℝᵈˣᵈᶠᶠ
- W₂ ∈ ℝᵈᶠᶠˣᵈ
- 偏置:b₁, b₂
- 激活函数:f(·) 可以是 ReLU / GeLU / Swish 等
- 中间维度:dᶠᶠ = 4d(通常 Transformer 默认 4 倍扩展)
FFN 是在每个 token 上独立应用的两层 MLP。先升维(扩展到更高维度空间),再激活,再降维回去。
GeLU 激活函数:

如下:
- 特点:平滑版本的 ReLU,不是硬性截断,而是概率化地保留输入。
- 效果:对小值衰减,对大值接近线性。让模型既保留微弱信号,又对强信号线性响应,从而提高表达力和训练稳定性。
- 应用:BERT、GPT 系列广泛采用 GeLU。
Swish 激活函数:

如下:
- 特点:平滑、非单调激活函数,比 ReLU/GeLU 更灵活。
- 效果:根据输入大小平滑放大或抑制信号,使信息流更灵活且梯度传播更稳定。
- 特殊情况:当 β=1 时就是常见的 Swish。
- 应用:在 EfficientNet、部分 LLM 变种中使用。
GLU(门控线性单元):

如下:
- ⊗ 表示逐元素乘法
- W, V ∈ ℝᵈˣᵈᶠᶠ
- 输出由“值部分”和“门控部分”组合而成。
用 GLU 替换 FFN 的写法:

引入门控机制可以选择性地传递信息,类似 LSTM 的思想。允许重要信息通过,提高表达能力同时控制计算冗余。
GeLU-GLU 变体:

如下:
- 值路径:xW 经过 GeLU 激活
- 门路径:xV 直接作为调制因子
- 应用:T5(Google 的大规模预训练模型)采用 GeGLU。
- 把平滑激活和门控结合,在 FFN 中既筛选重要特征,又可调节信息流,让模型表达力增强且训练稳定。
Swish-GLU 变体:

如下:
- 值路径:xW 经过 Swish 激活
- 门路径:xV 直接作为调制因子
- 应用:PaLM(Google 超大规模 LLM)采用 SwiGLU。
- 将柔性调节(Swish)与门控结合,使 FFN 在保留细微信号的同时有选择性地传递信息,优化梯度流和训练稳定性,尤其适合超大模型。
参数量比较:
- **标准 FFN:**2 个权重矩阵(W₁, W₂),中间维度通常是 4d。
- **GLU 变体:**需要 3 个权重矩阵(W, V, W₂),为了控制参数量,中间维度通常改为 (2/3) · 4d = 8/3 d。这样总体参数和计算量与标准 FFN 大致持平。
LLMs 中常用的激活函数选择:

8、Attention
传统 Attention 存在哪些问题?
- 传统 Attention 存在 上下文长度 约束问题;
- 传统 Attention 速度慢,内存占用大;
Attention 优化方向:
- 提升上下文长度
- 加速、减少内存占用
Attention 变体有哪些?
- **稀疏 attention。**将稀疏偏差引入 attention 机制可以降低了复杂性;
- **线性化 attention。**解开 attention 矩阵与内核特征图,然后以相反的顺序计算 attention 以实现线性复杂度;
- **原型和内存压缩。**这类方法减少了查询或键值记忆对的数量,以减少注意力矩阵的大小;
- **低阶 self-Attention。**这一系列工作捕获了 self-Attention 的低阶属性;
- **Attention 与先验。**该研究探索了用先验 attention 分布来补充或替代标准 attention;
- **改进多头机制。**该系列研究探索了不同的替代多头机制。
Multi-head Attention 存在什么问题?
- **训练:**不会显著影响训练过程,训练速度不变,会引起非常细微的模型效果损失;
- **推理:**反复加载 KV cache , 导致内存开销大,性能是内存受限;
介绍 Multi-Query Attention?
Multi-Query Attention 在所有注意力头上共享 key 和 value。

对比 Multi-head Attention 和 Multi-Query Attention?
- **Multi-head Attention:**每个注意力头都有各自的 query、key 和 value。
- **Multi-query Attention:**在所有的注意力头上共享 key 和 value。

**PaLM:**直接使用 Multi-query Attention,保持 hidden size 和 FFN 结构 不变。
**Falcon:**为了保持总参数量一致,将隐藏维度从 4096 增大到 4544,多余参数分配给 Attention 和 FFN。
**ChatGLM2-6B:**采用 MQA / GQA 混合策略,将 FFN 中间维度从 11008 增加到 13696,多余参数分配给 FFN。
Multi-Query Attention 这样做的好处是什么?
减少 KV cache 的大小,减少显存占用,提升推理速度。
有哪些模型是使用 Multi-Query Attention?
代表模型:PaLM、ChatGLM2、Falcon 等
什么是 Grouped-query Attention?
介于 multi head 和 multi query 之间,多个 key 和 value。
有哪些大模型使用 Grouped-query Attention?
ChatGLM2,LLaMA2-34B/70B 使用了 Grouped query attention。
FlashAttention:
- **核心:**用分块 softmax 等价替代传统 softmax
- **优点:**节约 HBM,高效利用 SRAM,省显存,提速度
- **代表模型:**Meta 推出的开源大模型 LLaMA,阿联酋推出的开源大模型 Falcon 都使用了 Flash Attention 来加速计算和节省显存
- **关键词:**HBM、SRAM、分块 Softmax、重计算、Kernel 融合。
并行 transformer block:
- 用并行公式替换了串行,提升了 15%的训练速度。
- 在 8B 参数量规模,会有轻微的模型效果损失;在 62B 参数量规模,就不会损失模型效果。
- Falcon、PaLM 都使用了该技术来加速训练

如何学习大模型 AI ?
由于新岗位的生产效率,要优于被取代岗位的生产效率,所以实际上整个社会的生产效率是提升的。
但是具体到个人,只能说是:
“最先掌握AI的人,将会比较晚掌握AI的人有竞争优势”。
这句话,放在计算机、互联网、移动互联网的开局时期,都是一样的道理。
我在一线科技企业深耕十二载,见证过太多因技术卡位而跃迁的案例。那些率先拥抱 AI 的同事,早已在效率与薪资上形成代际优势,我意识到有很多经验和知识值得分享给大家,也可以通过我们的能力和经验解答大家在大模型的学习中的很多困惑。我们整理出这套 AI 大模型突围资料包:
- ✅ 从零到一的 AI 学习路径图
- ✅ 大模型调优实战手册(附医疗/金融等大厂真实案例)
- ✅ 百度/阿里专家闭门录播课
- ✅ 大模型当下最新行业报告
- ✅ 真实大厂面试真题
- ✅ 2026 最新岗位需求图谱
所有资料 ⚡️ ,朋友们如果有需要 《AI大模型入门+进阶学习资源包》,下方扫码获取~
① 全套AI大模型应用开发视频教程
(包含提示工程、RAG、LangChain、Agent、模型微调与部署、DeepSeek等技术点)
② 大模型系统化学习路线
作为学习AI大模型技术的新手,方向至关重要。 正确的学习路线可以为你节省时间,少走弯路;方向不对,努力白费。这里我给大家准备了一份最科学最系统的学习成长路线图和学习规划,带你从零基础入门到精通!
③ 大模型学习书籍&文档
学习AI大模型离不开书籍文档,我精选了一系列大模型技术的书籍和学习文档(电子版),它们由领域内的顶尖专家撰写,内容全面、深入、详尽,为你学习大模型提供坚实的理论基础。
④ AI大模型最新行业报告
2025最新行业报告,针对不同行业的现状、趋势、问题、机会等进行系统地调研和评估,以了解哪些行业更适合引入大模型的技术和应用,以及在哪些方面可以发挥大模型的优势。
⑤ 大模型项目实战&配套源码
学以致用,在项目实战中检验和巩固你所学到的知识,同时为你找工作就业和职业发展打下坚实的基础。
⑥ 大模型大厂面试真题
面试不仅是技术的较量,更需要充分的准备。在你已经掌握了大模型技术之后,就需要开始准备面试,我精心整理了一份大模型面试题库,涵盖当前面试中可能遇到的各种技术问题,让你在面试中游刃有余。

以上资料如何领取?

为什么大家都在学大模型?
最近科技巨头英特尔宣布裁员2万人,传统岗位不断缩减,但AI相关技术岗疯狂扩招,有3-5年经验,大厂薪资就能给到50K*20薪!

不出1年,“有AI项目经验”将成为投递简历的门槛。
风口之下,与其像“温水煮青蛙”一样坐等被行业淘汰,不如先人一步,掌握AI大模型原理+应用技术+项目实操经验,“顺风”翻盘!

这些资料真的有用吗?
这份资料由我和鲁为民博士(北京清华大学学士和美国加州理工学院博士)共同整理,现任上海殷泊信息科技CEO,其创立的MoPaaS云平台获Forrester全球’强劲表现者’认证,服务航天科工、国家电网等1000+企业,以第一作者在IEEE Transactions发表论文50+篇,获NASA JPL火星探测系统强化学习专利等35项中美专利。本套AI大模型课程由清华大学-加州理工双料博士、吴文俊人工智能奖得主鲁为民教授领衔研发。
资料内容涵盖了从入门到进阶的各类视频教程和实战项目,无论你是小白还是有些技术基础的技术人员,这份资料都绝对能帮助你提升薪资待遇,转行大模型岗位。

以上全套大模型资料如何领取?

AtomGit 是由开放原子开源基金会联合 CSDN 等生态伙伴共同推出的新一代开源与人工智能协作平台。平台坚持“开放、中立、公益”的理念,把代码托管、模型共享、数据集托管、智能体开发体验和算力服务整合在一起,为开发者提供从开发、训练到部署的一站式体验。
更多推荐
所有评论(0)