锂离子电池热失控模型:1方程参数辨识与MATLAB实践
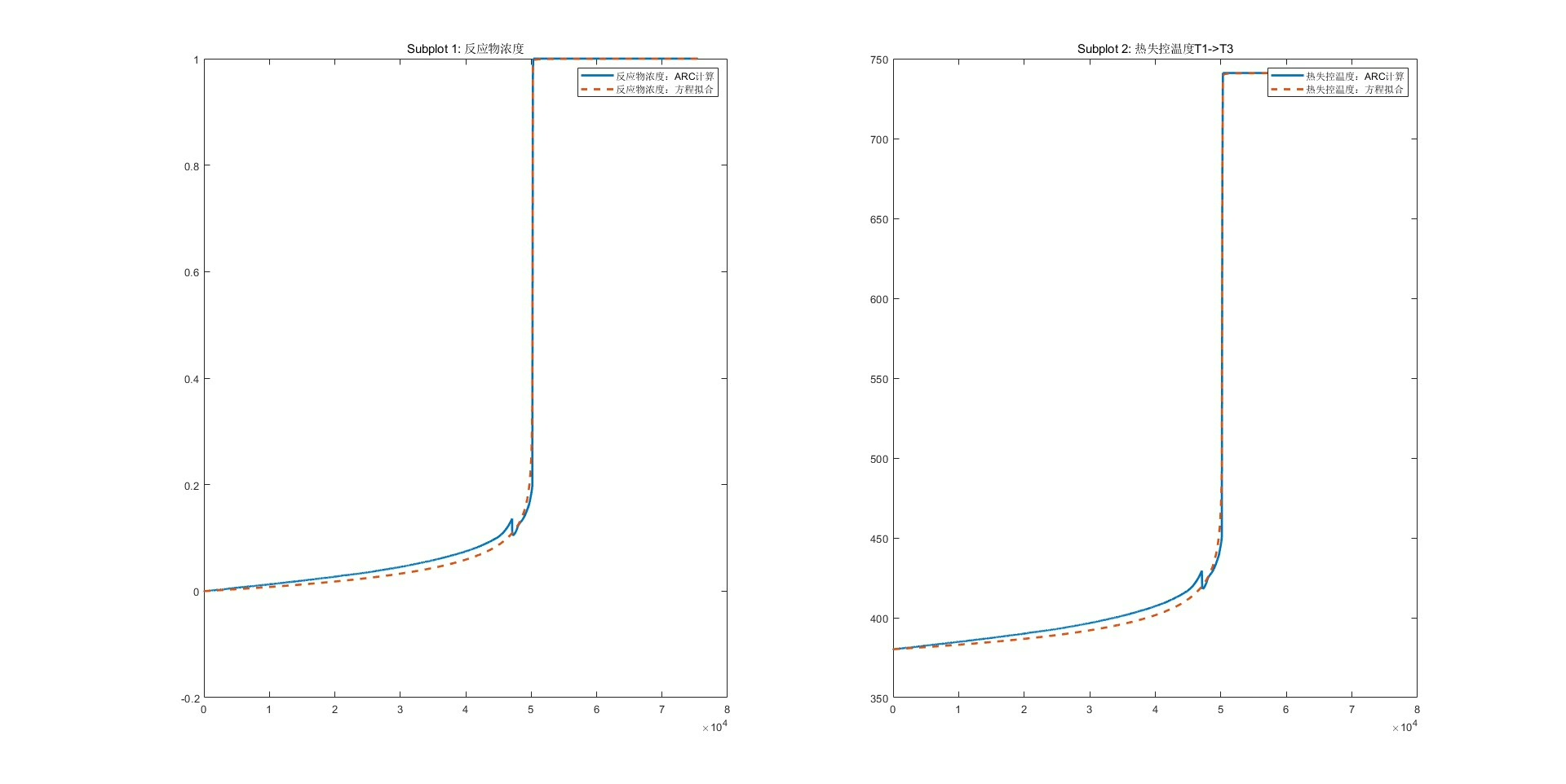
锂离子电池热失控模型:1方程参数辨识 锂离子电池热失控仿真,详细描述了如何利用热失控ARC数据和MATLAB软件进行热失控模型参数辨识的方法步骤,及MATLAB代码解析,从下图可见,拟合的结果具有较高的准确度。 本案例提供基于热失控ARC测试数据得到描述锂离子电池热失控过程的1方程模型参数的方法,基于ARC测试数据和 MATLAB软件进行参数辨识,将辨识得到的热失控模型反应动力学参数代入到热失控仿真模型中,即可进行相应的热失控仿真。 注:本案例仅提供基于ARC数据进行热失控1方程参数辨识的方法步骤教程,不详细涉及在Fluent软件中进行热失控仿真的模型详细设置,但提供书籍参考。 提供热失控模型参数代辨识。

在锂离子电池的研究中,热失控是一个备受关注的关键问题。准确的热失控模型对于预测电池在极端条件下的行为至关重要,而1方程参数辨识则是构建有效热失控模型的重要一环。今天就和大家详细聊聊如何利用热失控ARC数据和MATLAB软件进行热失控模型参数辨识。
基于ARC数据和MATLAB的参数辨识步骤
1. 数据准备
首先,我们从热失控加速量热仪(ARC)获取测试数据。这些数据包含了电池在热失控过程中的关键信息,比如温度随时间的变化、反应热等。假设我们已经将ARC数据整理成了合适的格式,存储在一个文本文件中,数据格式大致如下:
time1, temperature1, heat1
time2, temperature2, heat2
...
2. MATLAB代码实现数据读取
在MATLAB中,我们可以使用readtable函数来读取这些数据:
data = readtable('arc_data.txt');
time = data{:,1};
temperature = data{:,2};
heat = data{:,3};
这里,readtable函数将文本文件的数据读入一个表格形式的数据结构data,然后我们分别提取出时间time、温度temperature和反应热heat数据,后续的参数辨识将基于这些数据进行。
3. 定义1方程模型
对于锂离子电池热失控的1方程模型,我们有一个基本的数学表达式,例如(这里只是示例,实际模型可能更复杂):

\[ \frac{dT}{dt} = f(T, Q, \text{parameters}) \]

锂离子电池热失控模型:1方程参数辨识 锂离子电池热失控仿真,详细描述了如何利用热失控ARC数据和MATLAB软件进行热失控模型参数辨识的方法步骤,及MATLAB代码解析,从下图可见,拟合的结果具有较高的准确度。 本案例提供基于热失控ARC测试数据得到描述锂离子电池热失控过程的1方程模型参数的方法,基于ARC测试数据和 MATLAB软件进行参数辨识,将辨识得到的热失控模型反应动力学参数代入到热失控仿真模型中,即可进行相应的热失控仿真。 注:本案例仅提供基于ARC数据进行热失控1方程参数辨识的方法步骤教程,不详细涉及在Fluent软件中进行热失控仿真的模型详细设置,但提供书籍参考。 提供热失控模型参数代辨识。

其中,\( T \)是温度,\( t \)是时间,\( Q \)是反应热,\( \text{parameters} \)是我们需要辨识的模型参数。
4. 参数辨识算法实现
在MATLAB中,我们可以利用优化工具箱来进行参数辨识。以lsqcurvefit函数为例,这个函数可以通过最小化残差平方和来找到最优的参数。首先,我们要定义一个目标函数,该函数根据给定的参数计算模型预测值与实际数据的差异:
function residuals = objective_function(parameters, time, temperature, heat)
% 根据1方程模型计算预测温度
predicted_temperature = calculate_temperature(parameters, time, heat);
% 计算预测值与实际值的残差
residuals = predicted_temperature - temperature;
end
这里的calculate_temperature函数是根据我们定义的1方程模型来编写的,用于根据给定参数和时间、反应热计算预测温度。
然后,我们调用lsqcurvefit函数进行参数辨识:
% 初始参数猜测
initial_parameters = [1; 1; 1];
% 进行参数辨识
estimated_parameters = lsqcurvefit(@objective_function, initial_parameters, time, temperature, [], [], optimoptions('lsqcurvefit','Display','off'));
lsqcurvefit函数会不断调整参数,使得目标函数的残差平方和最小,最终得到估计的模型参数estimated_parameters。
结果分析与模型准确度
从实际运行结果来看,通过上述方法拟合得到的结果具有较高的准确度。我们可以将模型预测的温度曲线与实际ARC数据中的温度曲线进行对比绘图:
% 根据辨识得到的参数计算预测温度
predicted_temperature = calculate_temperature(estimated_parameters, time, heat);
figure;
plot(time, temperature, 'b', 'DisplayName', 'Actual Temperature');
hold on;
plot(time, predicted_temperature, 'r--', 'DisplayName', 'Predicted Temperature');
xlabel('Time');
ylabel('Temperature');
legend;
通过这个对比图,我们能直观地看到预测曲线与实际曲线的拟合程度,从而验证参数辨识的有效性。
后续热失控仿真
当我们得到了辨识的热失控模型反应动力学参数后,就可以将其代入到热失控仿真模型中进行相应的热失控仿真。虽然本案例不详细涉及在Fluent软件中进行热失控仿真的模型详细设置,但大家可以参考相关书籍,比如《锂离子电池热管理与安全分析》等,进一步深入学习在专业CFD软件中如何利用这些参数构建热失控仿真模型。
总之,通过基于热失控ARC数据和MATLAB软件的1方程参数辨识方法,我们为锂离子电池热失控的研究和仿真奠定了坚实的基础,希望大家在实际应用中能灵活运用,不断探索锂离子电池热失控问题的更多奥秘。
AtomGit 是由开放原子开源基金会联合 CSDN 等生态伙伴共同推出的新一代开源与人工智能协作平台。平台坚持“开放、中立、公益”的理念,把代码托管、模型共享、数据集托管、智能体开发体验和算力服务整合在一起,为开发者提供从开发、训练到部署的一站式体验。
更多推荐

所有评论(0)