电磁场仿真-主题022-并行电磁仿真
第022篇:并行电磁仿真
摘要
并行电磁仿真是利用多核处理器、GPU和分布式计算资源加速电磁仿真的关键技术。本篇教程系统介绍并行计算的基本原理、并行电磁算法的实现方法和性能优化策略。通过Python实现基于MPI和OpenMP的并行FDTD、并行矩量法等,深入探讨负载均衡、通信优化、GPU加速等核心技术。本教程涵盖多核并行、分布式并行和异构计算等前沿技术,帮助读者掌握大规模电磁问题的高效并行求解方法。
关键词
并行计算、MPI、OpenMP、GPU加速、CUDA、负载均衡、分布式计算、Python并行

1. 引言
1.1 并行计算的必要性
电磁仿真面临的计算挑战:
- 问题规模:电大目标需要巨大网格
- 精度要求:高分辨率需要更多未知数
- 宽带分析:多频点计算
- 实时需求:在线仿真和优化
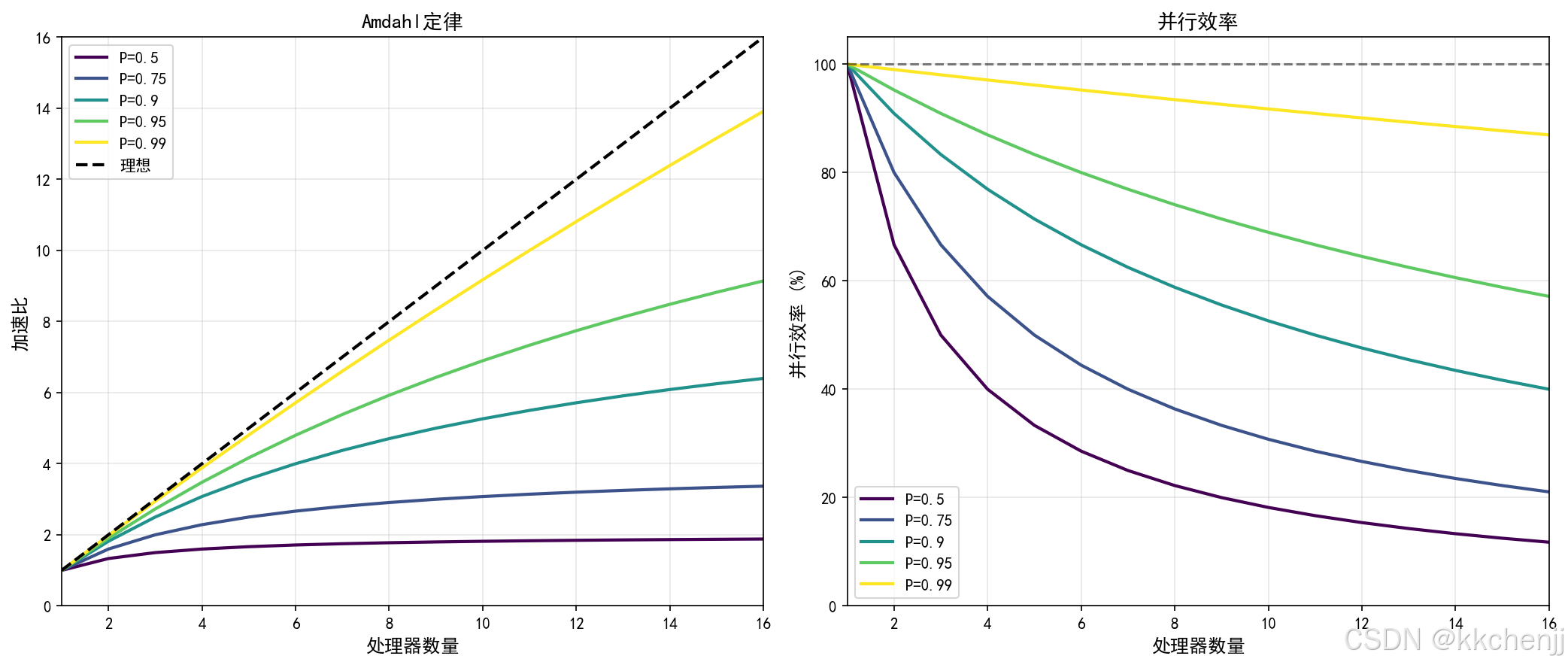
Amdahl定律:
S=1(1−P)+PNS = \frac{1}{(1-P) + \frac{P}{N}}S=(1−P)+NP1
其中PPP是可并行比例,NNN是处理器数量。
1.2 并行计算层次
指令级并行:
- 流水线
- 超标量执行
数据级并行:
- SIMD(单指令多数据)
- GPU计算
任务级并行:
- 多线程
- 多进程
分布式并行:
- 多节点集群
- 云计算
1.3 并行电磁仿真应用
- 雷达散射:大型目标RCS计算
- 天线阵列:大规模阵列分析
- 电磁兼容:复杂系统EMC仿真
- 微波器件:多物理场耦合
2. 并行计算基础
2.1 并行编程模型
共享内存模型(OpenMP):
- 多线程访问共享内存
- 自动并行化
- 适合多核处理器
分布式内存模型(MPI):
- 多进程独立内存空间
- 显式消息传递
- 适合集群系统
混合模型:
- MPI + OpenMP
- 节点间MPI,节点内OpenMP
2.2 并行性能指标
加速比:
S(N)=T1TNS(N) = \frac{T_1}{T_N}S(N)=TNT1
效率:
E(N)=S(N)NE(N) = \frac{S(N)}{N}E(N)=NS(N)
可扩展性:
- 强可扩展:固定问题规模
- 弱可扩展:固定每个处理器的问题规模
2.3 并行化策略
域分解:
- 空间分解
- 频域分解
- 角度分解
任务分解:
- 参数扫描并行
- 蒙特卡洛并行
- 优化迭代并行
3. 并行FDTD
3.1 空间分解策略
一维分解:
进程0: [0:nz/p-1]
进程1: [nz/p:2*nz/p-1]
...
二维分解:
- 笛卡尔拓扑
- 减少通信量
三维分解:
- 适合大规模问题
- 复杂通信模式
3.2 数据交换
边界数据交换:
- 发送边界场到相邻进程
- 接收边界场作为更新条件
通信优化:
- 非阻塞通信
- 打包/解包优化
- 重叠计算和通信
3.3 负载均衡
静态负载均衡:
- 均匀网格划分
- 简单高效
动态负载均衡:
- 自适应网格细化
- 任务迁移
4. 并行矩量法
4.1 矩阵填充并行
行并行:
- 每个进程计算部分行
- 无通信需求
块并行:
- 矩阵分块
- 适合分布式存储
4.2 矩阵求解并行
直接法并行:
- ScaLAPACK
- 并行LU分解
迭代法并行:
- 并行矩阵向量乘法
- 并行预处理器
4.3 快速多极子并行
树结构并行:
- 空间树分布
- 层次化通信
多极展开并行:
- 盒子间独立计算
- 聚合通信
5. GPU加速
5.1 GPU架构特点
大规模并行:
- 数千个计算核心
- 高内存带宽
SIMT执行:
- 单指令多线程
- 线程束执行
内存层次:
- 全局内存
- 共享内存
- 寄存器
5.2 CUDA编程
内核函数:
__global__ void fdtd_update(float *Ex, float *Hy, int nx) {
int i = blockIdx.x * blockDim.x + threadIdx.x;
if (i < nx-1) {
Ex[i] = Ex[i] + 0.5 * (Hy[i] - Hy[i-1]);
}
}
内存管理:
- 主机到设备传输
- 统一内存
- 零拷贝
5.3 GPU优化策略
内存访问优化:
- 合并访问
- 共享内存使用
- 避免bank冲突
计算优化:
- 循环展开
- 指令级并行
- 精度选择
6. Python并行实现
6.1 多线程并行
import numpy as np
import matplotlib.pyplot as plt
from concurrent.futures import ThreadPoolExecutor, ProcessPoolExecutor
import time
# 简化的并行FDTD演示
def fdtd_1d_serial(nx, nt, c=1.0):
"""串行1D FDTD"""
Ex = np.zeros(nx)
Hy = np.zeros(nx)
# 源
source_pos = nx // 2
for n in range(nt):
# 更新磁场
for i in range(nx-1):
Hy[i] = Hy[i] + 0.5 * (Ex[i+1] - Ex[i])
# 更新电场
for i in range(1, nx):
Ex[i] = Ex[i] + 0.5 * (Hy[i] - Hy[i-1])
# 源
Ex[source_pos] += np.sin(2 * np.pi * 0.1 * n)
return Ex, Hy
def fdtd_1d_parallel_chunk(args):
"""并行FDTD的块计算"""
start, end, nt, source_pos = args
nx_local = end - start
Ex = np.zeros(nx_local + 2) # 包含边界
Hy = np.zeros(nx_local + 2)
for n in range(nt):
# 更新磁场
for i in range(nx_local + 1):
Hy[i] = Hy[i] + 0.5 * (Ex[i+1] - Ex[i])
# 更新电场
for i in range(1, nx_local + 1):
Ex[i] = Ex[i] + 0.5 * (Hy[i] - Hy[i-1])
# 源(如果在本地域内)
if start <= source_pos < end:
Ex[source_pos - start + 1] += np.sin(2 * np.pi * 0.1 * n)
return Ex[1:-1]
def fdtd_1d_parallel(nx, nt, n_workers=4):
"""并行1D FDTD"""
chunk_size = nx // n_workers
source_pos = nx // 2
# 准备任务
tasks = []
for i in range(n_workers):
start = i * chunk_size
end = start + chunk_size if i < n_workers - 1 else nx
tasks.append((start, end, nt, source_pos))
# 并行执行
with ProcessPoolExecutor(max_workers=n_workers) as executor:
results = list(executor.map(fdtd_1d_parallel_chunk, tasks))
# 合并结果
Ex = np.concatenate(results)
return Ex
# 测试并行性能
nx_values = [1000, 2000, 4000, 8000]
nt = 500
n_workers = 4
serial_times = []
parallel_times = []
for nx in nx_values:
# 串行时间
t0 = time.time()
Ex_serial, _ = fdtd_1d_serial(nx, nt)
t_serial = time.time() - t0
serial_times.append(t_serial)
# 并行时间
t0 = time.time()
Ex_parallel = fdtd_1d_parallel(nx, nt, n_workers)
t_parallel = time.time() - t0
parallel_times.append(t_parallel)
print(f"nx={nx}: Serial={t_serial:.3f}s, Parallel={t_parallel:.3f}s, Speedup={t_serial/t_parallel:.2f}x")
# 可视化
fig, axes = plt.subplots(1, 2, figsize=(14, 6))
# 子图1:计算时间对比
ax1 = axes[0]
ax1.plot(nx_values, serial_times, 'bo-', label='Serial', linewidth=2)
ax1.plot(nx_values, parallel_times, 'rs-', label=f'Parallel ({n_workers} workers)', linewidth=2)
ax1.set_xlabel('Grid Size nx', fontsize=12)
ax1.set_ylabel('Time (s)', fontsize=12)
ax1.set_title('Serial vs Parallel Performance', fontsize=13)
ax1.legend()
ax1.grid(True, alpha=0.3)
# 子图2:加速比
ax2 = axes[1]
speedup = [s/p for s, p in zip(serial_times, parallel_times)]
ax2.plot(nx_values, speedup, 'g-o', linewidth=2)
ax2.axhline(y=n_workers, color='r', linestyle='--', label=f'Ideal ({n_workers}x)')
ax2.set_xlabel('Grid Size nx', fontsize=12)
ax2.set_ylabel('Speedup', fontsize=12)
ax2.set_title('Parallel Speedup', fontsize=13)
ax2.legend()
ax2.grid(True, alpha=0.3)
plt.tight_layout()
plt.savefig('parallel_performance.png', dpi=150, bbox_inches='tight')
plt.close()
print("并行性能测试完成")
6.2 参数扫描并行
import numpy as np
import matplotlib.pyplot as plt
from concurrent.futures import ProcessPoolExecutor
import time
def compute_rcs(frequency, target_size=1.0):
"""
计算给定频率下的RCS(简化模型)
"""
c = 3e8
wavelength = c / frequency
k = 2 * np.pi / wavelength
# 简化的球体RCS模型
if target_size < wavelength / (2 * np.pi):
# 瑞利区
sigma = (target_size**6) / (wavelength**4) * (k**4) * 1e-3
else:
# 光学区
sigma = np.pi * target_size**2
# 模拟计算时间
time.sleep(0.1)
return frequency, sigma
def parallel_rcs_scan(frequencies, n_workers=4):
"""并行RCS频率扫描"""
with ProcessPoolExecutor(max_workers=n_workers) as executor:
results = list(executor.map(compute_rcs, frequencies))
return results
def serial_rcs_scan(frequencies):
"""串行RCS频率扫描"""
results = []
for f in frequencies:
results.append(compute_rcs(f))
return results
# 测试参数扫描
frequencies = np.linspace(1e9, 10e9, 50) # 1-10 GHz
# 串行扫描
t0 = time.time()
results_serial = serial_rcs_scan(frequencies)
t_serial = time.time() - t0
# 并行扫描
t0 = time.time()
results_parallel = parallel_rcs_scan(frequencies, n_workers=4)
t_parallel = time.time() - t0
print(f"串行扫描: {t_serial:.2f}s")
print(f"并行扫描: {t_parallel:.2f}s")
print(f"加速比: {t_serial/t_parallel:.2f}x")
# 可视化结果
freqs = [r[0]/1e9 for r in results_parallel]
sigmas = [10*np.log10(r[1]+1e-10) for r in results_parallel]
plt.figure(figsize=(10, 6))
plt.plot(freqs, sigmas, 'b-', linewidth=2)
plt.xlabel('Frequency (GHz)', fontsize=12)
plt.ylabel('RCS (dBsm)', fontsize=12)
plt.title('RCS Frequency Scan (Parallel Computation)', fontsize=13)
plt.grid(True, alpha=0.3)
plt.savefig('parallel_rcs_scan.png', dpi=150, bbox_inches='tight')
plt.close()
print("并行RCS扫描完成")
7. 结果分析与讨论
7.1 并行效率分析
影响因素:
- 通信开销
- 负载不均衡
- 串行部分比例
- 内存带宽限制
优化策略:
- 减少通信频率
- 动态负载均衡
- 数据局部性优化
- 异步通信
7.2 并行算法选择
| 算法 | 并行策略 | 可扩展性 | 适用场景 |
|---|---|---|---|
| FDTD | 空间分解 | 优秀 | 大规模时域 |
| FEM | 域分解 | 良好 | 复杂几何 |
| MoM | 矩阵并行 | 中等 | 积分方程 |
| FMM | 树并行 | 优秀 | 超大规模 |
8. 总结与展望
8.1 本教程总结
本教程介绍了并行电磁仿真的关键技术:
- 并行基础:编程模型、性能指标、并行策略。
- 并行FDTD:空间分解、数据交换、负载均衡。
- 并行MoM:矩阵填充、求解并行、FMM并行。
- GPU加速:CUDA编程、内存优化、计算优化。
- Python实现:多线程、参数扫描并行。
8.2 进一步学习方向
- 异构计算:CPU+GPU协同
- 云计算:弹性计算资源
- 量子计算:量子电磁仿真
- 边缘计算:分布式实时仿真
并行电磁仿真是处理大规模电磁问题的关键技术,掌握并行计算方法对于提高仿真效率、扩展问题规模具有重要意义。



AtomGit 是由开放原子开源基金会联合 CSDN 等生态伙伴共同推出的新一代开源与人工智能协作平台。平台坚持“开放、中立、公益”的理念,把代码托管、模型共享、数据集托管、智能体开发体验和算力服务整合在一起,为开发者提供从开发、训练到部署的一站式体验。
更多推荐


所有评论(0)