基于MATLAB/Simulink的直接转矩控制感应电机仿真
MATLAB/Simulink仿真可运行,直接转矩控制感应电机,二电平逆变器,直接转矩控制,磁通、转矩控制与评估

在电机控制领域,直接转矩控制(Direct Torque Control,DTC)凭借其快速的转矩响应和简单的控制结构,成为了感应电机控制的热门方法。本文将借助MATLAB/Simulink搭建基于二电平逆变器的直接转矩控制感应电机仿真模型,并对磁通、转矩的控制与评估展开探讨。
直接转矩控制原理简述
直接转矩控制的核心在于直接对电机的转矩和磁通进行控制。它摒弃了传统矢量控制中复杂的坐标变换,而是通过检测电机定子电压和电流,计算出电机的磁链和转矩,再根据磁链和转矩的给定值与实际值的偏差,直接选择合适的电压矢量来控制电机。
MATLAB/Simulink 模型搭建
二电平逆变器模块
在Simulink中搭建二电平逆变器相对直观。我们可以使用“Power Electronics Blockset”中的“Two - Level Voltage Source Inverter”模块。其输入为直流母线电压和三相开关信号,输出则是三相交流电压,为感应电机提供电源。例如,在代码层面(假设使用S函数来描述逆变器行为,简化示意):
function sys = inverter_model(t, x, u, flag)
switch flag
case 0 % 初始化
sys = [0; 0; 0]; % 初始化状态变量,这里简化为0
case 3 % 输出
% u为三相开关信号,假设0代表低电平,1代表高电平
vdc = 500; % 直流母线电压示例值
if u(1) == 1
v_a = vdc/2;
else
v_a = -vdc/2;
end
if u(2) == 1
v_b = vdc/2;
else
v_b = -vdc/2;
end
if u(3) == 1
v_c = vdc/2;
else
v_c = -vdc/2;
end
sys = [v_a; v_b; v_c]; % 输出三相交流电压
otherwise
sys = [];
end
end
这个简单的S函数模拟了二电平逆变器根据开关信号生成三相交流电压的过程,实际应用中模块参数设置和细节会更复杂。
感应电机模块
同样在“Power Electronics Blockset”中可以找到现成的感应电机模型。我们只需要设置好电机的参数,如额定功率、额定转速、定子电阻、转子电阻、互感等。电机模型会根据输入的三相电压输出电机的转速、转矩、磁通等信号。以代码设置电机参数为例:
% 感应电机参数设置
rated_power = 3e3; % 额定功率3kW
rated_speed = 1450; % 额定转速1450rpm
stator_resistance = 1.5; % 定子电阻
rotor_resistance = 1.2; % 转子电阻
mutual_inductance = 0.15; % 互感
这些参数将直接影响电机在仿真中的性能表现。
直接转矩控制模块
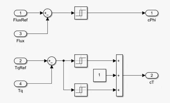
直接转矩控制模块是整个系统的关键。它主要由磁通和转矩估算单元、滞环比较器以及开关表组成。

磁通和转矩估算可以通过定子电压和电流来实现,以下是简单的磁通估算代码片段(基于定子磁链方程):
function [flux_s] = flux_estimation(v_s, i_s, R_s, dt)
% v_s为定子电压,i_s为定子电流,R_s为定子电阻,dt为时间步长
static = v_s - R_s * i_s;
persistent flux_s_prev
if isempty(flux_s_prev)
flux_s_prev = [0; 0];
end
flux_s = flux_s_prev + static * dt;
flux_s_prev = flux_s;
end
转矩估算也有类似的基于电机模型的计算方法。

MATLAB/Simulink仿真可运行,直接转矩控制感应电机,二电平逆变器,直接转矩控制,磁通、转矩控制与评估

滞环比较器则用于比较磁通和转矩的给定值与估算值的偏差,并输出逻辑信号,决定选择哪个电压矢量。例如转矩滞环比较器代码:
function torque_signal = torque_hysteresis(torque_ref, torque_est, hysteresis_band)
if torque_ref - torque_est > hysteresis_band
torque_signal = 1;
elseif torque_est - torque_ref > hysteresis_band
torque_signal = -1;
else
torque_signal = 0;
end
end
开关表根据滞环比较器输出的逻辑信号,选择合适的逆变器开关状态,从而实现对电机的直接转矩控制。
磁通、转矩控制与评估
在仿真运行过程中,我们可以观察到磁通和转矩的变化情况。理想情况下,磁通应保持恒定,转矩能够快速跟踪给定值。通过设置不同的给定转矩值,我们可以评估系统的转矩响应速度。例如,当给定转矩发生阶跃变化时,观察实际转矩达到稳定所需的时间。
% 给定转矩阶跃变化示例
time = 0:0.001:5; % 仿真时间
torque_ref = zeros(size(time));
torque_ref(time > 1 & time < 2) = 10; % 在1s到2s间给定转矩为10N.m
从仿真结果可以看出,直接转矩控制系统能够快速响应转矩的变化,但由于其采用滞环控制,转矩会存在一定的波动。而对于磁通,在稳定运行时能够较好地维持在给定值附近。

通过对基于MATLAB/Simulink的直接转矩控制感应电机系统的搭建与分析,我们深入了解了其工作原理与性能表现。这种仿真方法为进一步优化控制策略和电机性能提供了有效的手段。

AtomGit 是由开放原子开源基金会联合 CSDN 等生态伙伴共同推出的新一代开源与人工智能协作平台。平台坚持“开放、中立、公益”的理念,把代码托管、模型共享、数据集托管、智能体开发体验和算力服务整合在一起,为开发者提供从开发、训练到部署的一站式体验。
更多推荐



所有评论(0)