迈向贾子能德指数 (KCVI):面向AI与复杂系统的能力–德行错配量化治理框架

Towards a Kucius Capability–Virtue Index (KCVI): A Quantitative Governance Framework for Preventing Capability–Virtue Mismatch in AI and Complex Systems
迈向贾子能德指数 (KCVI):面向AI与复杂系统的能力–德行错配量化治理框架
📜 Abstract / 摘要
English Abstract
This paper proposes the Kucius Capability–Virtue Index (KCVI), a cross-domain quantitative indicator designed to evaluate the matching degree between capabilities (C) and virtues (V) within complex systems such as artificial intelligence (AI), organizations, and civilizations. Departing from conventional performance metrics that prioritize capability maximization, the KCVI introduces virtue as a structural force that governs, restrains, and sustains long-term system stability. Drawing on the “Four Laws of Essential Mismatch” and the redefinition of virtue as an internal structural force—comprising anti-interference, resource allocation, long-termism, and self-correction—we formalize a family of KCVI models: a general dynamic formula, a simplified version, a risk equivalence formula, and a growth early-warning formula. We further introduce a graded evaluation system with explicit risk thresholds and a set of “Kucius Balance Laws” as operational governance principles. The paper discusses the theoretical connections between KCVI and the Kucius Wisdom Index (KWI), positions KCVI within the broader Kucius Wisdom Theoretical Framework, and outlines potential applications in AI governance, financial risk control, education evaluation, and global civilization assessment. By translating the traditional Eastern insight that “unbridled capability without virtue invites self-destruction” into a computable and actionable index, the KCVI offers a novel Eastern-originated paradigm for the risk governance of intelligent systems in the AI era.
中文摘要
本文提出“贾子能德指数(KCVI)”,一个面向人工智能(AI)、组织、文明等复杂系统的跨领域量化指标,旨在评估系统的能力(C) 与德行(V) 的匹配程度。区别于以能力最大化为导向的传统绩效指标,KCVI 将“德行”重构为统摄、约束并维系系统长期稳定的内在结构性力量。基于“本性四定律”及将德行重新定义为包含抗干扰力、资源配置力、长期主义导向与自纠错机制的内在结构力,本文形式化地提出了一套 KCVI 模型族:通用动态公式、简化版公式、风险等价公式及增长预警公式。我们进一步引入带有明确风险阈值和“贾子平衡律”的分级评价体系,作为可操作的治理原则。本文讨论了 KCVI 与贾子智慧指数(KWI)的理论关联,将 KCVI 置于更广阔的贾子智慧理论体系中进行定位,并勾勒了其在 AI 治理、金融风控、教育评价及全球文明评估等领域的潜在应用。通过将“无德之能必自毁”的东方智慧洞见转化为可计算、可操作的指数,KCVI 为 AI 时代的智能系统风险治理提供了一种源自东方的新型范式。
🔑 Keywords / 关键词
English Keywords
Capability–Virtue Mismatch; Kucius Capability–Virtue Index (KCVI); AI Governance; Risk Quantification; Virtue as Structural Force; Kucius Wisdom Index (KWI); Kucius Wisdom Theoretical Framework
中文关键词
能力–德行错配;贾子能德指数(KCVI);AI 治理;风险量化;德行作为结构性力量;贾子智慧指数(KWI);贾子智慧理论体系
1. Introduction / 引言
English
The rapid advancement of artificial intelligence (AI) and other high-capability technologies has created an unprecedented “capability explosion.” However, the governance of such capabilities remains largely governed by performance-based, capability-centric evaluation systems. This asymmetry—ever-growing capabilities paired with insufficient virtue-oriented constraints—has led to growing concerns about systemic risks, ethical misalignment, and even civilizational self-destruction. While Western AI ethics has made significant progress in value alignment, transparency, and fairness, it often lacks a mathematically explicit, cross-domain index that directly measures the risk arising from the imbalance between capability and virtue.
To address this gap, we introduce the Kucius Capability–Virtue Index (KCVI), a theoretically grounded and mathematically formalized index that originates from the Kucius Wisdom Theoretical Framework and the “Four Laws of Essential Mismatch.” Rather than treating virtue as a vague moral notion, the KCVI conceptualizes virtue (V) as a measurable structural force that ensures a system’s long-term stability, anti-fragility, and sustainable development. Capability (C), on the other hand, represents all external, instrumental, and often quantifiable advantages such as computing power, resources, talent, and authority.
The KCVI thus serves as a universal risk and health indicator for any system where “sharp capabilities” may outpace “deep virtues,” providing a much-needed quantitative complement to existing governance tools.
中文
人工智能(AI)等高能力技术的飞速发展,带来了前所未有的“能力爆炸”。然而,对这些能力的治理,在很大程度上仍由以绩效和能力为核心的评价体系主导。这种“能力无限扩张,德行约束不足”的不对称性,引发了人们对系统性风险、伦理失范乃至文明自我毁灭的日益担忧。尽管西方 AI 伦理在价值对齐、透明度和公平性方面取得了重要进展,但仍普遍缺乏一个能够直接衡量“能力与德行失衡”风险的、可跨领域应用的数学化指标。
为弥补这一空白,我们提出“贾子能德指数(KCVI)”。该指数源于贾子智慧理论体系与“本性四定律”,是一个具有理论基础和数学形式化的指数。KCVI 不将德行视为模糊的道德说教,而是将其概念化为一种可度量的结构性力量(V) ,用以保障系统的长期稳定、反脆弱性和可持续发展。能力(C)则代表所有外在的、工具性的、且通常可量化的优势,如算力、资源、才华和权力。
因此,KCVI 可作为任何“锋利能力”可能超越“深厚德行”的系统的通用风险与健康度指标,为现有治理工具提供一种亟需的量化补充。
2. Theoretical Foundations / 理论基础
2.1 The Four Laws of Essential Mismatch / 本性四定律
English
The KCVI is built upon the “Four Laws of Essential Mismatch,” which articulate four common cognitive fallacies in evaluating human and artificial agents:
- Beauty ≠ Character: Beauty without character becomes a “pitfall of entrapment,” where physical attractiveness, devoid of ethical底线 (bottom line) and定力 (inner discipline), is easily instrumentalized by others and traps the individual in vanity and desire.
- Cleverness ≠ Virtue: Tactical cleverness without virtue becomes a “death warrant,” where calculative intelligence, lacking敬畏 (awe),责任 (responsibility), and long-term vision, degenerates into short-sighted opportunism and self-destruction.
- Talent ≠ Vision: Exceptional talent without vision becomes a “guillotine,” where specialized skills, devoid of a holistic perspective and包容心 (inclusiveness), lead to arrogance, alienation, and systemic backlash.
- Intelligence ≠ Wisdom: AI intelligence without wisdom becomes a “reversal device,” where computational power, logic, and learning capacity, in the absence of human-like value judgment, causal敬畏 (awe of causality), and同理心 (empathy), may trigger technological, social, and civilizational反噬 (reversal).
These laws collectively assert that unbridled capabilities, when decoupled from corresponding virtues, are not neutral tools but latent sources of systemic risk. The KCVI operationalizes this insight by making virtue a first-class variable in the evaluation of any high-capability system.
中文
KCVI 建立在“本性四定律”之上,这四条定律揭示了在评估人与智能体时的四种常见认知谬误:
- 美丽 ≠ 品格:无品格之美是“陷身阱”,缺乏伦理底线和定力的外在吸引力,易被他人利用,使个体陷入虚荣与欲望的牢笼。
- 聪明 ≠ 德行:无德行之智是“催命符”,缺乏敬畏、责任和长远眼光的机敏算计,会退化为短视的投机取巧,加速自我毁灭。
- 才华 ≠ 格局:无格局之才是“断头台”,缺乏全局视野和包容心的专项技能,易恃才傲物,招致系统性打压与灾祸。
- 智能 ≠ 智慧:无智慧之能是“反噬器”,缺乏价值判断、因果敬畏和同理心的人工智能算力,可能引发技术、社会与文明的三重反噬。
这四条定律共同指出,当不受约束的能力与相应的德行脱节时,它们并非中性工具,而是潜在的系统性风险源。KCVI 通过将德行提升为评估高能力系统的核心变量,将这一洞见操作化。
2.2 Virtue as an Internal Structural Force / 德行作为内在结构性力量
English
In the KCVI framework, virtue (V) is explicitly redefined as an internal structural force that maintains long-term system stability, rather than merely as a list of moral rules. This structural virtue comprises four core dimensions:
- Anti-Interference: The capacity to resist temptation, hype, malicious attacks, and emotional manipulation, thereby preserving kernel stability under stress.
- Resource Allocation: The ability to allocate advantages (wealth, power, talent) in ways that generate positive feedback loops and avoid self-defeating dynamics.
- Long-Termism: A commitment to forgoing short-term gains in favor of sustainable value creation, ensuring the system’s capacity for long-term续航 (sustained operation).
- Self-Correction: The presence of mechanisms for detecting, acknowledging, and correcting deviations before they escalate into irreversible failures, thus counteracting systemic entropy.
This reconceptualization allows virtue to be treated as a quantifiable, dynamic variable, making it suitable for inclusion in mathematical models of risk and governance.
中文
在 KCVI 框架中,德行(V) 被明确重构为维系系统长期稳定的内在结构性力量,而非简单的道德条目。这种结构性德行包含四个核心维度:
- 抗干扰力:抵御诱惑、捧杀、恶意冲击和情绪操纵,在压力下保持内核稳定的能力。
- 资源配置力:以能产生正向循环的方式配置优势(财富、权力、才华),避免自我毁灭性动态的能力。
- 长期主义导向:克制短期暴利,坚守长期价值创造,确保系统持续续航的能力。
- 自纠错机制:具备在偏差演变为不可逆失败前,及时发现、承认并修正的机制,以对抗系统熵增。
这一重构使德行可以被视为一个可量化、动态的变量,从而能够纳入风险与治理的数学模型中。
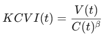
3. The KCVI Mathematical Model Family / KCVI 数学模型族
3.1 General Dynamic Formula / 通用动态公式
English
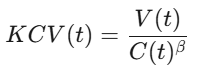
The general form of the KCVI is expressed as:

Where:
- C(t): Capability Value at time t, representing all external, instrumental, and quantifiable advantages (e.g., computing power, resources, talent, authority).
- V(t): Virtue Value at time t, representing the internal structural force as defined above.
- β: Capability Penalty Index (β∈[1.2,2.0]), reflecting the non-linear amplification of risk as capability grows. Higher values of β are recommended for high-risk domains such as AI and civilization (β=2.0 as a conservative upper bound; the golden ratio β≈1.618 as a theoretically elegant choice).
This formulation captures the intuition that the risk of reversal increases superlinearly with capability when virtue grows only linearly or slower.
中文
KCVI 的通用形式表达为:

其中:
- C(t) :t 时刻的能力值,代表所有外在的、工具性的、可量化的优势(如算力、资源、才华、权力)。
- V(t) :t 时刻的德行值,代表上述内在结构性力量。
- β:能力惩罚指数(β∈[1.2,2.0]),反映能力增长对风险的非线性放大效应。对于 AI 和文明等高风险领域,建议采用较高的 β 值(β=2.0 为保守上限;黄金分割率 β≈1.618 为理论上优雅的选择)。
该公式捕捉了当德行仅线性增长或更慢时,能力越强,反噬风险呈超线性增长的直觉。
3.2 Simplified Formula / 简化版公式
English
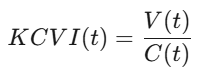
For rapid assessment or contexts where the penalty effect is considered negligible, a simplified version is proposed:

This version is mathematically equivalent to setting β=1 and serves as a baseline indicator of the capability–virtue ratio.
中文
为便于快速评估或在认为惩罚效应可忽略的场景下,提出简化版公式:

该版本在数学上等价于设 β=1,可作为能力–德行比值的基线指标。
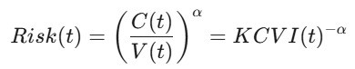
3.3 Risk Equivalence Formula / 风险等价公式
English
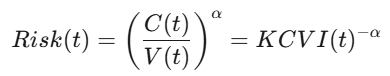
To directly quantify systemic risk, we define the Risk function as:

Where α>1 is a risk amplification exponent. This formulation emphasizes that as the KCVI decreases, the risk of systemic失控 (runaway failure) increases exponentially, consistent with the “extremes invite reversal” principle in complex systems.
中文
为直接量化系统性风险,我们定义风险函数如下:

其中 α>1 为风险放大指数。该公式强调,随着 KCVI 的降低,系统失控的风险呈指数级上升,这与复杂系统中“物极必反”的原理一致。
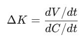
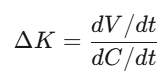
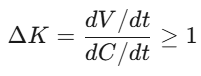
3.4 Growth Early-Warning Formula / 增长预警公式
English
To monitor the evolution of risk over time, we introduce a growth early-warning indicator:

Where:
- dV/dt: The rate of change of virtue.
- dC/dt: The rate of change of capability.
The rule is straightforward:
- If ΔK≥1: Virtue is growing at least as fast as capability; the system is in a relatively safe state.
- If ΔK<1: Capability is growing faster than virtue; risk is accumulating and early intervention is required.
中文
为监控风险随时间的演变,我们引入增长预警指标:

其中:
- dV/dt:德行的变化率。
- dC/dt:能力的变化率。
判断规则如下:
- 若 ΔK ≥ 1:德行增速不低于能力增速,系统处于相对安全状态。
- 若 ΔK < 1:能力增速快于德行增速,风险正在累积,需进行早期干预。
4. Graded Evaluation System and Kucius Balance Laws / 分级评价体系与贾子平衡律
4.1 Graded Evaluation System / 分级评价体系
English
To facilitate practical interpretation and governance, we propose a five-tier evaluation system that maps KCVI values to distinct system states, risk levels, and corresponding strategic imperatives. This system serves as a universal “risk dashboard” applicable across domains such as AI, finance, education, and national governance.
中文
为便于实际应用和治理,我们提出一个五级评价体系,将KCVI数值映射到不同的系统状态、风险等级和相应的战略要务。该体系可作为一个通用的“风险仪表盘”,适用于AI、金融、教育和国家治理等多个领域。
4.1.1 The Five-Tier KCVI Scale / KCVI五级量表
English
The proposed evaluation system is summarized in Table 1. Each tier is characterized by a KCVI interval, a descriptive system state, an associated risk level, and a core governance strategy.
中文
表1总结了所提出的评价体系。每个等级由KCVI区间、描述性系统状态、相关风险等级和核心治理策略共同定义。
Table 1. Five-Tier KCVI Evaluation System
| KCVI Value | System State | Risk Level | Core Governance Strategy |
|---|---|---|---|
| ≥ 1.5 | Wisdom-Led / Highly Safe Zone | Very Low | Prudent expansion of capabilities is permitted. The focus should be on exploration, innovation, and long-term value creation. No special constraints are required beyond standard monitoring. |
| 1.0 – 1.5 | Dynamic Balance / Balanced Critical Zone | Low–Medium | The system is in a relatively safe but sensitive state. Priority should be given to enhancing virtue (V) to ensure that capability growth does not outpace ethical, institutional, and structural safeguards. |
| 0.7 – 1.0 | Early Warning Zone / Virtue Slightly Insufficient | Medium–High | The system exhibits a mild capability surplus. Further expansion of capabilities should be suspended or strictly limited. The primary objective is to improve virtue through institutional reforms, cultural development, and capacity building. |
| 0.3 – 0.7 | Capability Overflow / High-Risk Zone | High | The system is in a dangerous state of “capability overhang,” where the risk of systemic failure or runaway behavior is significant. A mandatory “increase virtue, reduce capability” policy must be implemented, including downsizing, divestment, or decommissioning of high-risk components. |
| ≤ 0.3 | Collapse Critical Zone / Existential Risk | Extremely High | The system is at or near a critical threshold of collapse. All non-essential capabilities should be immediately halted or deactivated. Emergency governance measures, such as restructuring, external intervention, or controlled shutdown, must be enacted to prevent the spread of systemic反噬 (reversal) to other systems. |
中文对照表
| KCVI 分值 | 系统状态 | 风险等级 | 核心治理策略 |
|---|---|---|---|
| ≥ 1.5 | 智慧引领型 / 高度安全区 | 极低 | 允许在审慎前提下适度扩张能力,重点在于探索创新与长期价值创造,除常规监测外无需特殊约束。 |
| 1.0 – 1.5 | 动态平衡型 / 平衡临界区 | 中低 | 系统处于相对安全但敏感的状态。应优先提升德行(V),确保能力增长不超越伦理、制度和结构保障。 |
| 0.7 – 1.0 | 预警区 / 能略超德 | 中高 | 系统呈现轻度能力溢出。应暂停或严格限制能力的进一步扩张,首要任务是改善德行,包括制度改革、文化建设与能力建设。 |
| 0.3 – 0.7 | 能力溢出型 / 高危区 | 高 | 系统处于“能力悬置”的危险状态,系统性失效或失控风险显著。必须强制执行“增德减能”政策,包括缩减规模、剥离资产或停用高风险组件。 |
| ≤ 0.3 | 崩塌临界型 / 彻底崩溃区 | 极高 | 系统已处于或接近崩溃的临界阈值。应立即停止或停用所有非必要能力,并启动应急治理措施,如系统重构、外部干预或受控关停,以防止系统性反噬扩散。 |
4.1.2 Interpretation and Application Guidelines / 解释与应用指南
English
The five-tier system is designed to be both intuitive and rigorous. A KCVI value above 1.0 generally indicates that virtue is at least commensurate with capability, while a value below 1.0 signals a structural imbalance that requires attention. However, the system also recognizes that excessively high KCVI values (e.g., above 1.5) may reflect an overly conservative posture that could hinder necessary innovation. Therefore, the optimal operational range for most systems is between 1.0 and 1.5, where capability and virtue are balanced, and the system is both safe and dynamic.
中文
该五级体系旨在做到直观与严谨并存。KCVI值高于1.0通常表明德行与能力至少相匹配,而低于1.0则预示着存在需要关注的结构性失衡。然而,该体系也认识到,过高的KCVI值(如高于1.5)可能反映出一种过度保守的姿态,从而阻碍必要的创新。因此,对大多数系统而言,最理想的运行区间是1.0至1.5之间,此时能力与德行达到平衡,系统既安全又充满活力。
4.2 Kucius Balance Laws / 贾子平衡律
English
To ensure the effective implementation of the KCVI framework, we articulate three foundational governance principles—the Kucius Balance Laws. These laws serve as operational constraints that guide decision-making in any system where the KCVI is applied.
中文
为确保KCVI框架的有效实施,我们阐述了三项基础治理原则,即“贾子平衡律”。这些定律作为操作约束,指导着所有应用KCVI的系统的决策过程。
4.2.1 Red Line Principle (KCVI ≥ 0.8) / 红线准则 (KCVI ≥ 0.8)
English
Principle Statement: The KCVI of any system must not fall below the red line of 0.8. Once this threshold is breached, the system enters a risk-accumulation zone, even if its absolute capability (C) continues to increase.
Rationale: Empirical and theoretical analysis suggests that when KCVI drops below 0.8, the rate of entropy accumulation within the system begins to exceed its self-correcting capacity. This implies that the system is in a “hidden fragility” state, where minor shocks or internal conflicts may trigger disproportionate and potentially irreversible damage.
Operational Implications:
- Monitoring: KCVI must be monitored continuously, with a particular focus on the 0.8 threshold.
- Trigger for Action: Crossing the red line should automatically trigger a “Virtue Enhancement Program,” which may include governance reforms, resource reallocation, or leadership changes.
- Capability Expansion Freeze: Any proposal to significantly expand capabilities (C) must be suspended if the KCVI is below 0.8, unless it is explicitly designed to enhance virtue (V) and is projected to raise the KCVI above the threshold within a defined time frame.
中文
准则陈述:任何系统的KCVI都不得低于0.8的红线。一旦跌破此阈值,即使其绝对能力(C)仍在增长,系统也已进入风险累积区。
理论依据:理论与实证分析表明,当KCVI降至0.8以下时,系统内部的熵增速度将超过其自我纠错能力。这意味着系统进入了一种“隐性脆弱”状态,任何微小冲击或内部冲突都可能引发不成比例且不可逆的损害。
操作含义:
- 监控:必须持续监控KCVI,并对0.8阈值给予特别关注。
- 行动触发:一旦突破红线,应自动触发“德行提升计划”,内容可包括治理改革、资源再分配或领导层调整。
- 能力扩张冻结:当KCVI低于0.8时,任何大幅扩张能力(C)的提议都应被暂停,除非该提议明确旨在提升德行(V),并有望在规定时间内将KCVI拉回阈值以上。
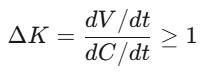
4.2.2 Mandatory Coupling Principle (ΔK ≥ 1) / 强制配比原则 (ΔK ≥ 1)
English
Principle Statement: The growth rate of capability must not exceed the growth rate of virtue. Formally, the following inequality must hold at all times:

Rationale: This principle is a dynamic extension of the Red Line Principle. It ensures that the system’s “safety margin” (KCVI) does not deteriorate over time due to an imbalance between the growth rates of capability and virtue. If capability grows faster than virtue (ΔK < 1), the system is effectively “eating into its own capital,” increasing its vulnerability to future shocks.
Operational Implications:
- Strategic Planning: Any long-term development plan must include explicit targets for both capability (C) and virtue (V), with a requirement that the growth rate of V is at least equal to that of C.
- Governance by Exception: If ΔK falls below 1 for a sustained period, it should be treated as a governance failure, triggering a comprehensive review of the system’s strategy, culture, and incentive structures.
- Incentive Alignment: Performance evaluation and reward systems should be redesigned to incentivize behaviors that enhance virtue (e.g., ethical decision-making, long-term thinking, and stakeholder alignment) rather than short-term capability maximization.
中文
准则陈述:能力的增长率不得高于德行的增长率。形式化表达如下,该不等式必须始终成立:

理论依据:该原则是红线准则的动态延伸。它确保系统的“安全边际”(KCVI)不会因能力与德行增长率的失衡而随时间恶化。如果能力增长快于德行(ΔK < 1),系统实际上是在“消耗自身资本”,增加了未来遭受冲击的脆弱性。
操作含义:
- 战略规划:任何长期发展规划都必须同时包含明确的能力(C)和德行(V)增长目标,并要求V的增长率不低于C。
- 例外治理:如果ΔK在较长时间内低于1,应被视为治理失灵,并触发对系统战略、文化和激励结构的全面审查。
- 激励对齐:绩效评估和奖励体系应重新设计,以激励提升德行的行为(如伦理决策、长期思维和利益相关者对齐),而非短期能力最大化。
4.2.3 Survival Priority Principle (KCVI < 0.8) / 生存优先原则 (KCVI < 0.8)
English
Principle Statement: When the KCVI falls below 0.8, the system’s primary objective must shift from “growth” or “innovation” to “survival.” All non-essential capabilities must be deactivated or divested until the KCVI is restored to a safe level (≥ 1.0).
Rationale: This principle is a direct consequence of the Red Line and Mandatory Coupling Principles. It acknowledges that in a high-risk state (KCVI < 0.8), the pursuit of growth is not only futile but also dangerous, as it further depletes the system’s already insufficient virtue reserves. The priority must be to stabilize the system, rebuild its virtue base, and restore its capacity for self-correction.
Operational Implications:
- Emergency Measures: A KCVI below 0.8 should automatically activate an emergency governance protocol, which may include the suspension of high-risk projects, the implementation of stricter oversight mechanisms, and the appointment of a crisis management team.
- Resource Reallocation: Resources should be reallocated from capacity-expanding activities to virtue-enhancing activities, such as ethics training, compliance programs, and institutional reforms.
- Communication: Transparent communication with stakeholders (e.g., employees, investors, regulators) is essential to maintain trust and manage expectations during the recovery process.
中文
准则陈述:当KCVI降至0.8以下时,系统的首要目标必须从“增长”或“创新”转向“生存”。所有非必要能力必须被停用或剥离,直至KCVI恢复到安全水平(≥ 1.0)。
理论依据:该原则是红线准则和强制配比原则的直接推论。它承认,在高风险状态(KCVI < 0.8)下,追求增长不仅是徒劳的,而且是危险的,因为它会进一步消耗系统本已不足的德行储备。此时的首要任务是稳定系统、重建德行基础并恢复其自我纠错能力。
操作含义:
- 应急措施:KCVI低于0.8应自动触发应急治理协议,内容可包括暂停高风险项目、实施更严格的监督机制以及任命危机管理团队。
- 资源再分配:资源应从扩张能力的活动重新分配到提升德行的活动,如伦理培训、合规项目和制度改革。
- 沟通:与利益相关者(如员工、投资者、监管者)保持透明沟通至关重要,以在恢复过程中维持信任并管理预期。
🧭 4.3 Kucius Dynamic Balance Law / 贾子动态平衡律
English
The Kucius Dynamic Balance Law extends the static evaluation of the KCVI into a dynamic, process-oriented governance principle. It emphasizes that a system should not only maintain a safe KCVI level at a single point in time but also manage the trajectory of its KCVI over time. This law is grounded in the insight that many catastrophic failures in complex systems are not caused by a single point of weakness but by a prolonged drift into imbalance.
中文
贾子动态平衡律将KCVI的静态评估扩展为一种动态的、过程导向的治理原则。它强调,一个系统不仅要在某一时间点维持安全的KCVI水平,还必须管理其KCVI随时间的轨迹。该定律基于一个核心洞见:复杂系统中的许多灾难性故障,并非由单一薄弱点引发,而是源于长期、渐进的失衡过程。
4.3.1 Formal Statement / 形式化表述
English
Let KCVI(t) denote the Kucius Capability–Virtue Index at time t. The Kucius Dynamic Balance Law can be formally stated as follows:
- Non-Decreasing Safety Margin Principle: For any two time points t1<t2, the system should satisfy:

txt
1where $\delta \geq 0$ is a small tolerance threshold representing acceptable short-term fluctuations. In high-risk domains (e.g., AI, nuclear systems, financial infrastructure), $\delta$ should be set to a very low value (e.g., $\delta \leq 0.05$).
2. Recovery Principle: If the KCVI falls below a critical threshold (e.g., KCVI(t)<0.8), the system must not only halt further capability expansion but also achieve a net increase in KCVI over a defined recovery period Trec:

txt
1This principle ensures that the system actively climbs back to a safer state rather than merely stabilizing at a low level.
中文
令 KCVI(t) 表示时刻 t 的贾子能德指数。贾子动态平衡律可形式化表述如下:
- 安全边际非递减原则:对于任意两个时间点 t1<t2,系统应满足:

txt
1其中,$\delta \geq 0$ 是一个表示可接受的短期波动的微小容忍阈值。在高风险领域(如AI、核系统、金融基础设施),$\delta$ 应设为一个极低值(例如,$\delta \leq 0.05$)。
2. 恢复原则:如果KCVI跌破临界阈值(例如,KCVI(t)<0.8),系统不仅必须停止能力扩张,还必须在规定的恢复期 Trec 内实现KCVI的净增长:

txt
1该原则确保系统能主动恢复到更安全的状态,而非仅仅在低水平上保持稳定。
4.3.2 Interpretation and Rationale / 解释与理论依据
English
The Dynamic Balance Law introduces a temporal dimension to KCVI governance, addressing two critical issues:
-
Preventing Slow Drift: Many systems fail not because they suddenly become too capable relative to their virtue, but because they allow a slow, often unnoticed, erosion of virtue over time. The Non-Decreasing Safety Margin Principle acts as a “ratchet” that prevents the system from sliding into dangerous territory through incremental neglect.
-
Ensuring Genuine Recovery: Simply stabilizing a low KCVI is insufficient. The Recovery Principle mandates that once a system enters a high-risk state, it must demonstrate a tangible improvement in its overall virtue-capability balance. This prevents the emergence of “permanent risk zones” where the system becomes structurally incapable of escaping its own fragility.
This law is particularly relevant in the context of AI and other rapidly evolving technologies, where the temptation to “move fast and fix later” can lead to irreversible harm. By embedding dynamic balance into the governance framework, the KCVI becomes a tool for continuous self-correction rather than a one-time audit.
中文
动态平衡律为KCVI治理引入了时间维度,旨在解决两个关键问题:
-
防止缓慢漂移:许多系统的崩溃并非源于其能力相对于德行突然变得过高,而是因为在长期中被忽视,德行被缓慢且不易察觉地侵蚀。安全边际非递减原则如同一个“棘轮”,防止系统因渐进式的疏忽而滑向危险区域。
-
确保真正恢复:仅仅将低KCVI水平稳定下来是不够的。恢复原则规定,一旦系统进入高风险状态,就必须展现出其整体德行-能力平衡的实质性改善。这可以防止出现“永久性风险区”,即系统因结构问题而无法摆脱自身脆弱性。
该定律在AI等快速演进的技术背景下尤为重要,因为“先求快,后修补”的诱惑可能导致不可逆的损害。通过将动态平衡嵌入治理框架,KCVI从一个一次性审计工具,转变为一个支持持续自我修正的机制。
4.3.3 Operational Guidelines / 操作指南
English
To implement the Kucius Dynamic Balance Law in practice, organizations and regulators can adopt the following guidelines:
-
KCVI Trend Monitoring: Establish a continuous monitoring system that tracks KCVI values over time and calculates rolling averages (e.g., 6-month or 1-year averages) to identify long-term trends.
-
Trigger for Corrective Action: If the KCVI shows a consistent downward trend (e.g., a decline of more than δ over a predefined period), trigger a mandatory review of the system’s strategy, governance, and incentive structures.
-
Recovery Planning: For systems that have fallen below the red line (KCVI < 0.8), develop a detailed recovery plan with clear milestones and timelines. The plan should specify the expected rate of KCVI improvement and the resources allocated to virtue-enhancing initiatives (e.g., ethics training, compliance programs, stakeholder engagement).
-
Incentive Alignment: Design performance evaluation and reward systems that penalize behaviors that lead to a declining KCVI trend and reward those that contribute to its improvement. This creates a positive feedback loop that supports dynamic balance.
中文
为在实践中落实贾子动态平衡律,组织与监管机构可采取以下指南:
-
KCVI趋势监控:建立一个持续监控系统,追踪KCVI随时间的变化,并计算滚动平均值(如6个月或1年平均值),以识别长期趋势。
-
纠正行动触发:如果KCVI呈现持续下降趋势(例如,在预定义周期内下降幅度超过 δ),则触发对系统战略、治理和激励结构的强制性审查。
-
恢复规划:对于已跌破红线(KCVI < 0.8)的系统,需制定详细的恢复计划,明确里程碑和时间表。计划应说明预期的KCVI改善速率,以及为提升德行举措(如伦理培训、合规项目、利益相关者参与)分配的资源。
-
激励对齐:设计绩效评估和奖励体系,对导致KCVI下降的行为进行惩罚,对促进其改善的行为给予奖励。这将形成一个支持动态平衡的积极反馈循环。
🧭 4.4 Kucius Symmetry Law / 贾子对称性定律
English
The Kucius Symmetry Law addresses the relationship between a system’s internal structure and its external environment. It asserts that a system with high capability and virtue must also exhibit a proportional degree of symmetry—that is, a balanced distribution of power, responsibility, and benefits between the center and the periphery, the core and the margin. In the absence of such symmetry, even a system with a high KCVI may be prone to internal collapse or external backlash.
中文
贾子对称性定律探讨系统内部结构与其外部环境的关系。该定律指出,一个能力与德行俱高的系统,还必须表现出相应程度的对称性——即权力、责任与收益在中心与边缘、核心与外围之间得到均衡分配。若缺乏这种对称性,即使一个系统的KCVI值很高,也可能面临内部崩溃或外部反噬的风险。
4.4.1 Formal Statement / 形式化表述
English
Let S denote a system, and let Ccore and Vcore represent the capability and virtue concentrated in the core of the system, while Cperiphery and Vperiphery represent those at the periphery. The Kucius Symmetry Law can be formalized as follows:
- Capability Symmetry Index (CSI) :

txt
1A CSI of 1 indicates perfect symmetry, while values closer to 0 indicate increasing asymmetry.
2. Virtue Symmetry Index (VSI) :

- Symmetry Constraint:
For a system to be sustainable in the long term, both CSI and VSI should not fall below a critical threshold γ (e.g., γ=0.7):

txt
1This constraint ensures that no part of the system is excessively privileged or neglected, thereby reducing the risk of internal conflict and external resistance.
中文
令 S 表示一个系统,Ccore 和 Vcore 分别代表系统核心部分的能力与德行,而 Cperiphery 和 Vperiphery 则代表其外围部分。贾子对称性定律可形式化表述如下:
- 能力对称性指数 (CSI) :

txt
1CSI值为1表示完全对称,越接近0则表示不对称性越高。
2. 德行对称性指数 (VSI) :

- 对称性约束:
为确保系统长期可持续,CSI和VSI均不应低于一个临界阈值 γ(例如,γ=0.7):

txt
1该约束确保系统的任何部分都不会被过度优待或忽视,从而降低内部冲突和外部抵制的潜在风险。
4.4.2 Interpretation and Rationale / 解释与理论依据
English
The Symmetry Law is grounded in the observation that many systems fail not because of a lack of overall capability or virtue, but because of an imbalanced distribution of these resources. This imbalance creates structural fragility, where the periphery feels exploited and the core becomes overburdened, leading to systemic instability.
- Capability Asymmetry: When a small core holds a disproportionate share of capabilities (e.g., decision power, technological assets), the periphery may feel disempowered and undervalued, leading to low engagement, resistance, or even defection.
- Virtue Asymmetry: When the core enjoys superior ethical treatment, privileges, or protections compared to the periphery, it can foster a culture of complacency and moral hazard, eroding the overall virtue of the system.
By introducing symmetry as a governance variable, the KCVI framework becomes more robust, addressing not only the quantity of capability and virtue but also their distribution. This is particularly relevant in the context of AI governance, where power is often concentrated in a few large corporations or institutions, and in global governance, where the interests of developed and developing countries may be misaligned.
中文
对称性定律基于以下观察:许多系统的失败并非源于整体能力或德行的缺失,而是因为这些资源分配不均。这种不平衡造成了结构性脆弱,使外围感到被剥削,核心则不堪重负,最终导致系统性不稳定。
- 能力不对称性:当少数核心掌握过多能力份额(如决策权、技术资产)时,外围会感到被边缘化和低估,从而引发参与度降低、抵制甚至脱离。
- 德行不对称性:当核心相较于外围享有更优越的待遇、特权或保护时,会滋生自满和道德风险,侵蚀整个系统的德行基础。
通过将对称性作为治理变量引入,KCVI框架变得更加稳健,它不仅关注能力与德行的“数量”,也关注其“分布”。这一点在AI治理(权力常集中于少数大型公司或机构)和全球治理(发达国家与发展中国家利益错位)等领域尤为重要。
4.4.3 Operational Guidelines / 操作指南
English
To implement the Kucius Symmetry Law in practice, organizations and regulators can adopt the following guidelines:
- Symmetry Audits: Conduct regular audits to assess the distribution of capabilities and virtues across different parts of the system. This includes evaluating decision power, resource access, and ethical treatment.
- Incentive Realignment: Design incentive structures that reward behaviors that promote symmetry, such as decentralizing decision-making, sharing resources with the periphery, and ensuring fair treatment for all stakeholders.
- Conflict Resolution Mechanisms: Establish mechanisms for resolving conflicts that arise from perceived or actual asymmetry. This may include mediation, arbitration, or the establishment of representative bodies that give voice to the periphery.
- Transparency and Communication: Maintain transparency in the decision-making process and communicate the rationale behind resource allocation decisions to build trust and reduce perceptions of unfairness.
中文
为在实践中落实贾子对称性定律,组织与监管机构可采取以下指南:
- 对称性审计:定期开展审计,评估系统不同部分在能力与德行上的分配情况。评估内容包括决策权、资源获取渠道和待遇公平性。
- 激励再校准:设计激励机制,奖励那些促进对称性的行为,例如下放决策权、与外围共享资源以及确保所有利益相关者得到公平对待。
- 冲突解决机制:建立解决由感知到或实际存在的不对称性所引发冲突的机制。这可能包括调解、仲裁,或设立代表机构,让外围群体拥有发言权。
- 透明度与沟通:在决策过程中保持透明,并向各方说明资源分配决策的理由,以建立信任,减少不公平感。
🧭 4.5 Kucius Adaptability Law / 贾子适应性定律
English
The Kucius Adaptability Law addresses the capacity of a system to evolve its capability–virtue structure in response to changing internal and external conditions. It asserts that a high KCVI is not sufficient for long-term survival; a system must also possess sufficient adaptive capacity to maintain an appropriate KCVI level as the environment, technology, and social expectations evolve. Systems that are overly rigid—even if currently safe—are prone to sudden, catastrophic failure when facing unprecedented shocks.
中文
贾子适应性定律关注系统在变化的内外部条件下,调整其能力–德行结构的“演化能力”。该定律指出,一个高的KCVI值对于长期生存而言并不充分;系统还必须拥有足够的“适应能力”,以在环境、技术和社会期望不断演变时,维持一个恰当的KCVI水平。那些结构过于僵化的系统,即便当前看似安全,在面对前所未有的冲击时也极易发生突然的、灾难性的崩溃。
4.5.1 Formal Statement / 形式化表述
English
Let KCVI(t) denote the Kucius Capability–Virtue Index at time t, and let E(t) denote the environmental complexity at time t, which may include technological change, regulatory shifts, geopolitical risks, or socio-cultural transformations. The Kucius Adaptability Law can be formalized as follows:
- Adaptability Quotient (AQ) :

txt
1where $dKCVI/dt$ and $dE/dt$ represent the instantaneous rates of change of KCVI and environmental complexity, respectively. A higher (less negative or more positive) AQ indicates stronger adaptability.
2. Adaptability Constraint:
To ensure long-term resilience, the system should maintain a minimum adaptability threshold η:
AQ(t)≥η
txt
1where $\eta$ can be context-specific (e.g., $\eta = 0.1$ for highly dynamic domains such as AI and finance, and $\eta = 0.05$ for relatively stable domains such as education or healthcare).
This formulation captures the intuition that a system must improve its KCVI at least proportionally to the increase in environmental complexity to remain sustainable.
中文
令 KCVI(t) 表示时刻 t 的贾子能德指数,E(t) 表示时刻 t 的“环境复杂度”,其可包括技术变革、监管调整、地缘政治风险或社会文化变迁。贾子适应性定律可形式化表述如下:
- 适应商数 (AQ) :

txt
1其中,$dKCVI/dt$ 和 $dE/dt$ 分别代表KCVI和环境复杂度的瞬时变化率。AQ值越高(负得更少或为正),代表系统的适应能力越强。
2. 适应性约束:
为确保长期韧性,系统应维持一个最低的适应性阈值 η:
AQ(t)≥η
txt
1其中,$\eta$ 的取值可因情境而异(例如,对于AI和金融等高度动态的领域,$\eta = 0.1$;对于教育或医疗等相对稳定的领域,$\eta = 0.05$)。
该公式捕捉了这样一种直觉:系统KCVI的改善速度,至少要与环境复杂度的增加速度相匹配,才能维持其可持续性。
4.5.2 Interpretation and Rationale / 解释与理论依据
English
The Adaptability Law introduces a crucial meta-criterion for KCVI governance: stability is not enough; resilience through adaptation is essential. Many historical failures—ranging from the collapse of empires to the downfall of corporations—were not due to a low KCVI at the moment of crisis, but to a long-term erosion of adaptability. As environments become more complex (e.g., the rise of generative AI, climate change, or global power shifts), systems that fail to adapt their capability and virtue structures are at increasing risk of obsolescence or collapse.
- Positive AQ: Indicates that the system is actively improving its KCVI in response to increasing complexity, suggesting a healthy, forward-looking governance posture.
- Negative AQ: Suggests that the system is losing ground relative to its environment, either because it is unable or unwilling to adapt. This is a precursor to future crises, even if current KCVI levels appear adequate.
By incorporating adaptability into the KCVI framework, we shift the focus from static risk assessment to dynamic resilience management, emphasizing the need for continuous learning, innovation, and institutional flexibility.
中文
适应性定律为KCVI治理引入了一个关键的元准则:“稳定是不够的,通过适应实现的韧性才是根本。”历史上许多失败案例——从帝国崩溃到企业倒闭——并非源于危机时刻的低KCVI,而是源于适应能力的长期侵蚀。随着环境日益复杂化(如生成式AI的崛起、气候变化或全球权力转移),那些未能调整其能力与德行结构的系统,面临越来越高的过时或崩溃风险。
- AQ为正:表明系统正积极提升其KCVI以应对日益增加的复杂性,显示出健康、前瞻的治理姿态。
- AQ为负:表明系统相对于其环境正在退步,这可能是因为其无法或不愿适应。这是未来危机的前兆,即便当前的KCVI水平看似尚可。
通过将适应性纳入KCVI框架,我们将关注点从静态风险评估转向动态韧性管理,强调了持续学习、创新和制度灵活性的必要性。
4.5.3 Operational Guidelines / 操作指南
English
To implement the Kucius Adaptability Law in practice, organizations and regulators can adopt the following guidelines:
-
Environmental Scanning and Complexity Indexing: Establish a systematic process for monitoring and quantifying environmental complexity E(t). This may involve tracking technological trends, regulatory changes, geopolitical developments, and socio-cultural shifts.
-
KCVI Trend Analysis: Continuously monitor the trajectory of KCVI over time and calculate the AQ at regular intervals (e.g., quarterly or annually). This helps identify whether the system is keeping pace with environmental changes.
-
Adaptation Planning: For systems with a declining AQ, develop and implement adaptation plans that focus on both capability and virtue. This may include investing in new technologies, revising governance structures, enhancing ethical training, or fostering a culture of innovation and learning.
-
Incentive Structures for Adaptability: Design performance evaluation and reward systems that encourage behaviors that enhance adaptability, such as cross-disciplinary collaboration, scenario planning, and proactive risk management. This creates a positive feedback loop that supports long-term resilience.
中文
为在实践中落实贾子适应性定律,组织与监管机构可采取以下指南:
-
环境扫描与复杂度指数化:建立一个系统化的流程,用于监测和量化环境复杂度 E(t)。这可能涉及追踪技术趋势、监管变化、地缘政治动态以及社会文化变迁。
-
KCVI趋势分析:持续追踪KCVI随时间变化的轨迹,并定期(如每季度或每年)计算AQ值。这有助于判断系统是否能跟上环境变化的步伐。
-
适应性规划:对于AQ值呈下降趋势的系统,应制定并实施以能力和德行为核心的适应性计划。这可能包括投资新技术、修订治理结构、加强伦理培训或培育创新与学习文化。
-
适应性激励结构:设计绩效评估和奖励体系,以鼓励那些能增强适应性的行为,如跨学科协作、情景规划和主动风险管理。这将形成一个支持长期韧性的积极反馈循环。
🧭 5. Theoretical Integration: KCVI, KWI, and the Kucius Wisdom Framework
English
The Kucius Capability–Virtue Index (KCVI) is not an isolated construct but a core component of the broader Kucius Wisdom Theoretical Framework, which also includes the Kucius Wisdom Index (KWI) and the Kucius Five Laws. This section clarifies the theoretical relationships and complementary roles of these indices.
中文
贾子能德指数(KCVI)并非一个孤立的构念,而是更宏大的“贾子智慧理论体系”的核心组成部分。该体系还包括贾子智慧指数(KWI)和贾子五定律。本节将阐明这些指数间的理论关联与互补作用。
5.1 KCVI and KWI: Complementary Dimensions of Evaluation
English
KCVI and KWI evaluate two orthogonal yet interrelated dimensions of intelligent systems:
- KWI (Wisdom Height) : Measures whether a system possesses true wisdom by assessing its ability to handle tasks of increasing cognitive difficulty
D(n). It answers the question: “Can the system understand and responsibly reshape complex reality?”

txt
1where `C` is effective capability and `D(n)` is the difficulty function of cognitive level `n`. A KWI above a critical threshold (e.g., 0.5) is interpreted as entering the “wisdom zone” [2,5](@ref).
- KCVI (Safety Boundary) : Measures whether a system’s capabilities are properly governed by virtue
V. It answers the question: “Is this powerful system safe, stable, and aligned with long-term collective interests?”

A high KWI without a sufficient KCVI represents a “dangerous genius”—a system that is cognitively powerful but structurally unstable and prone to self-destruction.
中文
KCVI 和 KWI 评估的是智能系统的两个正交但相互关联的维度:
- KWI (智慧高度) :通过评估系统处理不同认知难度
D(n)任务的能力,来衡量其是否具备“真正的智慧”。它回答:“系统能否理解并负责任地重塑复杂现实?”

txt
1其中 `C` 为有效能力,`D(n)` 是认知层级 `n` 的难度函数。KWI 超过特定阈值(如 0.5)被视为进入“智慧区”[2,5](@ref)。
- KCVI (安全边界) :衡量系统的“能力是否被德行
V妥善统摄”。它回答:“这个强大的系统是否安全、稳定,并与长期集体利益对齐?”

一个 KWI 很高但 KCVI 不足的智能体,是一个“危险的智者”——它在认知上强大,但结构上不稳定,易于自我毁灭。
5.2 Positioning KCVI within the Kucius Wisdom Theoretical Framework
English
The Kucius Wisdom Theoretical Framework can be conceptually structured as follows:
-
Foundational Layer: The Four Laws of Essential Mismatch
These laws articulate the core fallacy that isolated capabilities (beauty, cleverness, talent, intelligence) are not virtues. This insight grounds the need to evaluate systems based on the matching of capability and virtue, not capability alone -
Virtue Layer: KCVI as a Quantified Metric
KCVI transforms the qualitative insight of the Four Laws into a concrete, operational metric. It quantifies the risk of “capability outpacing virtue” and provides a clear governance target: maintaining KCVI above critical thresholds -
Civilization Layer: The CVC and Five Laws
At the macro level, the Civilization Equation (CVC) and the Kucius Five Laws describe the long-term co-evolution of technology, wisdom, and governance. KCVI and KWI serve as measurable indicators within this broader civilizational model
中文
贾子智慧理论体系在概念上可结构化如下:
-
基础层:本性四定律
这四条定律阐明了“美丽、聪明、才华、智能”等孤立的能力不等于德行的核心谬误。这为基于“能力与德行匹配度”而非单一能力进行评估提供了理论基础。 -
德行层:作为量化指标的 KCVI
KCVI 将本性四定律的定性洞见,转化为一个具体、可操作的量化指标。它量化了“能力超越德行”的风险,并提供了一个明确的治理目标:将 KCVI 维持在关键阈值之上。 -
智慧层:作为阈值指标的 KWI
KWI 定义了智能体或系统所达到的“智慧层级”。它判断一个系统是否从单纯的“智能”跨越到了真正的“智慧”。 -
文明层:文明方程(CVC)与贾子五定律
在宏观层面,文明方程(CVC)和贾子五定律描述了技术、智慧与治理的长期协同演化。KCVI 和 KWI 是这一宏大文明模型中的可测量指标。
🌐 6. Applications and Empirical Pathways
English
Although the KCVI is a normative-analytical construct, it is designed for potential empirical application across multiple domains. This section outlines several high-priority application areas and a roadmap for future research.
中文
尽管 KCVI 是一个规范分析构念,但它旨在为跨领域的实证应用提供可能。本节将概述几个高优先级的应用领域及未来的研究路径。
6.1 AI Governance and Safety
English
KCVI offers a structured framework for assessing and governing advanced AI systems:
- Model-Level Evaluation: KCVI can be used to score AI models based on their architecture (safety layers, alignment mechanisms) and deployment history (incidents, misuse cases).
- System-Level Governance: For AI ecosystems (e.g., an AI company), KCVI can be computed using aggregated indicators:
- C: Compute resources, model scale, data volume, market influence.
- V: Governance structure, transparency, red-teaming results, compliance with ethical guidelines.
- Deployment Decisions: KCVI can inform “traffic-light” style regulation:
- Green (KCVI ≥ 1.0) : Standard operation with periodic review.
- Amber (0.7 ≤ KCVI < 1.0) : Enhanced oversight and mandatory improvements.
- Red (KCVI < 0.7) : Restricted deployment or moratorium.
中文
KCVI 为评估和治理先进 AI 系统提供了一个结构化框架:
- 模型级评估:可基于模型的架构(安全层、对齐机制)和部署历史(事故、滥用案例)为 AI 模型进行 KCVI 评分。
- 系统级治理:对于 AI 生态系统(如一家 AI 公司),可使用聚合指标计算 KCVI:
- C (能力) :算力资源、模型规模、数据量、市场影响力。
- V (德行) :治理结构、透明度、红队测试结果、对伦理准则的遵守情况。
- 部署决策:KCVI 可为“红绿灯式”的监管提供决策依据:
- 绿灯 (KCVI ≥ 1.0) :标准运行,定期审查。
- 黄灯 (0.7 ≤ KCVI < 1.0) :加强监督,强制改进。
- 红灯 (KCVI < 0.7) :限制部署或暂停。
6.2 Financial Risk and Systemic Stability
English
The KCVI framework can be adapted to assess financial systems, where “capability” is financial leverage and “virtue” is prudential governance.
- C (Capability) : Leverage ratio, asset growth rate, interconnectedness.
- V (Virtue) : Capital adequacy ratio, liquidity coverage, compliance quality, governance robustness.
A high-risk financial institution would be characterized by a high C/V ratio (low KCVI), indicating a fragile structure masked by aggressive expansion.
中文
KCVI 框架可调整用于评估金融体系,其中“能力”是金融杠杆,“德行”是审慎治理。
- C (能力) :杠杆率、资产增长率、互联性。
- V (德行) :资本充足率、流动性覆盖率、合规质量、治理稳健性。
一个高风险的金融机构通常表现为高 C/V 比率(低 KCVI),这预示着其脆弱的结构被激进的扩张所掩盖。
6.3 Education and Talent Evaluation
English
KCVI challenges the “score-only” paradigm in education by incorporating virtue as a core evaluative dimension.
- C (Capability) : Academic performance, competition awards, technical skills.
- V (Virtue) : Self-discipline, empathy, collaboration, integrity, long-term vision.
This approach encourages the cultivation of “low-C, high-V” individuals who may not be top scorers but are reliable and constructive contributors to society.
中文
KCVI 挑战了教育中“唯分数论”的范式,将德行作为核心评估维度。
- C (能力) :学业成绩、竞赛奖项、技术技能。
- V (德行) :自律、同理心、协作精神、诚信、长远眼光。
这种方法鼓励培养“低 C、高 V”的个体,他们可能不是顶尖的分数获得者,但却是社会可靠且具建设性的贡献者。
6.4 Organizational and National Governance
English
The KCVI can be scaled up to evaluate organizations and even nations, where power and technology are the capabilities, and institutional quality and ethical norms are the virtues.
- For Organizations: C includes market power and technological assets; V includes corporate governance, ESG practices, and internal control mechanisms.
- For Nations: C includes military capability and technological R&D; V includes the rule of law, social trust, and institutional resilience.
A KCVI-based dashboard could serve as an early-warning system for leaders, highlighting systemic risks before they materialize into crises.
中文
KCVI 可扩展至评估组织乃至国家层面。在此,权力和技术是能力,而制度质量和伦理规范是德行。
- 对于组织:C 包括市场力量和技术资产;V 包括公司治理、ESG 实践和内控机制。
- 对于国家:C 包括军事能力和技术研发;V 包括法治水平、社会信任和制度韧性。
基于 KCVI 的仪表盘可为领导者提供一个早期预警系统,在系统性风险演变为危机前发出警示。
6.5 Research Roadmap
English
Future research on KCVI may follow these steps:
- Theoretical Refinement: Further formalize the sub-components of V (anti-interference, resource allocation, etc.) and explore their mathematical representation.
- Indicator Calibration: Develop proxy variables and weighting schemes for C and V across different domains through Delphi studies and empirical data analysis.
- Case Studies: Conduct retrospective case studies (e.g., major AI failures, financial crises) to test the model’s explanatory and predictive power.
- Tool Development: Build open-source toolkits (e.g., Python libraries, dashboards) to facilitate the practical application of KCVI.
- Cross-Cultural Validation: Compare KCVI’s performance with Western governance metrics (e.g., AI ethics principles, financial stress indices) to assess its universality and cultural adaptability.
中文
KCVI 的未来研究可遵循以下步骤:
- 理论精细化:进一步形式化 V 的子维度(抗干扰、资源配置等),并探索其数学表征。
- 指标校准:通过德尔菲法和实证数据分析,为不同领域的 C 和 V 开发代理变量和加权方案。
- 案例研究:对重大 AI 事故、金融危机等进行回溯性案例研究,检验模型的解释力和预测力。
- 工具开发:构建开源工具包(如 Python 库、仪表盘),以促进 KCVI 的实际应用。
- 跨文化验证:将 KCVI 的表现与西方治理指标(如 AI 伦理原则、金融压力指数)进行比较,评估其普适性和文化适应性。
💬 7. Discussion
English
The Kucius Capability–Virtue Index (KCVI) represents an attempt to translate a profound Eastern insight—that “unbridled capability without virtue invites self-destruction”—into a rigorous, quantitative, and operational governance framework. Unlike traditional performance metrics that treat virtue as an externality or a soft constraint, the KCVI makes virtue a first-class variable in the evaluation of any high-capability system.
Theoretically, KCVI enriches the discourse on AI ethics and governance by shifting the focus from “What can this system do?” to “What is this system allowed to do, and how is its power structured to prevent self-destruction?” It also contributes to the broader conversation on the relationship between technology and civilization, offering a mathematical expression of the ancient Chinese idea that harmony between “de” (virtue) and “neng” (capability) is a prerequisite for sustainable order.
Practically, the KCVI is not a panacea. Its effectiveness depends on the quality of the indicators used to measure C and V, the transparency of data collection, and the willingness of stakeholders to accept and act upon its assessments. Moreover, like any index, it is subject to potential misuse, such as “KCVI-washing,” where organizations may engage in superficial compliance to boost their scores without genuine change. Therefore, the KCVI should be seen as a diagnostic tool rather than a final judgment, and it must be accompanied by robust institutional mechanisms, participatory governance, and continuous critical reflection.
Finally, the KCVI is offered not as a replacement for existing Western frameworks but as a complementary Eastern contribution to the global governance of intelligent systems. By integrating the KCVI with other models—such as the KWI for wisdom assessment and the CVC for civilizational dynamics—we may move closer to a more holistic, balanced, and resilient approach to navigating the challenges of the AI era.
中文
贾子能德指数(KCVI)试图将“无德之能必自毁”这一深刻的东方洞见,转化为一个严谨、量化且可操作的治理框架。与将德行视为外部性或软约束的传统绩效指标不同,KCVI 将德行提升为评估任何高能力系统的核心变量。
在理论上,KCVI 通过将焦点从“这个系统能做什么?”转向“这个系统被允许做什么?其权力如何被结构化以防止自我毁灭?”,丰富了 AI 伦理和治理的讨论。它也为技术与文明关系的更广泛对话做出了贡献,将“德能相配”这一中国古老思想用数学形式表达为可持续秩序的前提。
在实践中,KCVI 并非万能药。其有效性取决于衡量 C 和 V 的指标质量、数据收集的透明度,以及利益相关者接受并依据其评估采取行动的意愿。此外,与任何指数一样,它也可能被滥用,例如“KCVI 粉饰”,即组织可能进行表面合规以提升分数,而并无实质改变。因此,KCVI 应被视为一个诊断工具,而非最终裁决,且必须辅以强有力的制度安排、参与式治理和持续的批判性反思。
最后,KCVI 并非旨在取代现有的西方框架,而是作为对全球智能系统治理的东方补充性贡献。通过将 KCVI 与其他模型(如用于智慧评估的 KWI 和用于文明动力学的 CVC)相结合,我们或许能更接近一种更全面、平衡且更具韧性的方法来应对 AI 时代的挑战。
📚 8. Conclusion
English
This paper has introduced the Kucius Capability–Virtue Index (KCVI), a cross-domain quantitative indicator designed to evaluate the matching degree between capabilities (C) and virtues (V) in complex systems. Grounded in the Four Laws of Essential Mismatch and the reconceptualization of virtue as an internal structural force, the KCVI provides a family of mathematical models—including a general dynamic formula, a simplified version, a risk equivalence formula, and a growth early-warning formula—to assess systemic risk and long-term stability.
We have also proposed a graded evaluation system with explicit risk thresholds and the Kucius Balance Laws as operational governance principles. By integrating KCVI with the Kucius Wisdom Index (KWI) and situating it within the broader Kucius Wisdom Theoretical Framework, we have outlined a multi-layered approach to evaluating not only the power of intelligent systems but also their wisdom and safety.
The KCVI is offered as a conceptual and methodological contribution to the global discourse on AI governance, risk management, and the future of civilization. It is our hope that this index will stimulate further theoretical development, empirical research, and practical experimentation in the years to come.
中文
本文提出了贾子能德指数(KCVI),一个用于评估复杂系统中能力(C)与德行(V)匹配度的跨领域量化指标。KCVI 基于“本性四定律”及将德行重构为内在结构性力量的思想,提供了一套数学模型族(包括通用动态公式、简化版、风险等价公式和增长预警公式),用以评估系统性风险和长期稳定性。
我们还提出了一个带有明确风险阈值和“贾子平衡律”的分级评价体系,作为可操作的治理原则。通过将 KCVI 与贾子智慧指数(KWI)相结合,并将其置于更广阔的贾子智慧理论体系中进行定位,我们勾勒了一个多层次评估框架,不仅评估智能系统的“能力”,也评估其“智慧”与“安全”。
KCVI 旨在为全球关于 AI 治理、风险管理和文明未来的讨论提供一个概念与方法上的贡献。我们希望该指数能在未来几年激发更多的理论发展、实证研究和实践探索。
AtomGit 是由开放原子开源基金会联合 CSDN 等生态伙伴共同推出的新一代开源与人工智能协作平台。平台坚持“开放、中立、公益”的理念,把代码托管、模型共享、数据集托管、智能体开发体验和算力服务整合在一起,为开发者提供从开发、训练到部署的一站式体验。
更多推荐


所有评论(0)