MATLAB下储能参与调峰调频联合优化模型:考虑电池退化成本、充放电约束与用户负荷不确定性
MATLAB代码:储能参与调峰调频联合优化模型 关键词:储能 调频 调峰 充放电优化 联合运行 仿真平台:MATLAB+CVX 平台 主要内容:代码主要做的是考虑储能同时参与调峰以及调频的联合调度模型,现有代码往往仅关注储能在调峰方面的能力,而实际上同时参与调峰调频将超线性的提高储能的收益,在建模方面,构建了考虑电池退化成本、充放电功率约束以及用户负荷不确定性的储能优化模型,整体复现结果和文档一致,该代码具有一定的创新性,适合新手学习以及在此基础上进行拓展,代码质量非常高,出图效果非常好!可以直接拿来用 这段代码主要是一个电力系统的优化问题,涉及到电池储能、电力价格、信号处理和电力账单计算等方面的知识。下面我会逐步解释代码的功能和应用。 首先,代码开头使用了一些命令来清除命令窗口、关闭所有图形窗口,并设置一个变量`fig_flag`为1,表示显示图形。 接下来,定义了一个电池的参数。`battery.n`表示电池的充放电循环次数,`battery.cell`表示电池的价格(每瓦时的价格),`battery.power`表示电池的功率(单位为兆瓦),`battery.energy`表示电池的能量(单位为兆瓦时),`battery.socmax`表示电池的最大充电状态,`battery.socmin`表示电池的最小充电状态,`battery.socini`表示电池的初始充电状态。 然后,定义了一些价格相关的参数。`lambda.elec`表示电力价格(单位为每兆瓦时),`lambda.peak`表示峰值需求费用(单位为每兆瓦),`lambda.c`表示单位调节收入(每个新信号收入100美元),`lambda.p`表示不匹配罚款(每个新信号罚款500美元),`lambda.battery`表示电池成本(每兆瓦时的成本)。 接下来,加载了一些信号数据。`PJM_Reg_Signal_2013_06-201405.mat`是一个PJM频率调节信号数据集,`UWEE_load.mat`是一个电力负荷数据集。然后对负荷数据进行了一些处理,将其分辨率改为20秒,并将其重复了45次。对于频率调节信号数据,将其分辨率改为4秒。 然后,定义了一些时间参数。`hour`表示小时数,`ts`表示时间步长,`T`表示总的时间步数,`tt`表示时间序列。 接下来,使用一个循环来处理数据。在每次循环中,从信号数据中取出一段时间的数据,并进行一系列的优化计算。这些计算包括参考电费计算、仅进行频率调节的电费计算、仅进行峰值削减的电费计算以及同时进行峰值削减和频率调节的电费计算。最后,将计算得到的电费保存在一个矩阵中。 最后,如果`fig_flag`为1,则绘制一个柱状图,显示四种策略下的电费情况。 综上所述,这段代码主要是为了优化电力系统中的电费问题。通过使用电池储能和优化算法,可以在不同的策略下计算电费,并比较不同策略下的电费情况。这个程序可能适用于电力行业的能源管理和优化领域。涉及到的知识点包括电池储能、电力价格、信号处理和优化算法等。
模型概述
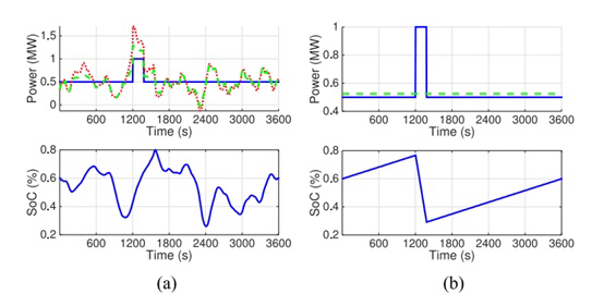
本代码实现了一个创新的储能系统优化运行模型,通过数学优化方法使电池储能系统同时参与电力系统的调峰和调频服务,实现经济效益最大化。该模型解决了传统储能系统中单一功能运行的经济性不足问题,为商业和工业用户提供了一套完整的储能系统协同优化解决方案。
核心功能架构
1. 多模式运行策略
系统支持四种不同的运行模式,用户可根据实际需求选择最优策略:
- 基准模式:不使用电池储能,仅按原始用电模式运行
- 纯调频模式:电池专门用于提供频率调节服务
- 纯调峰模式:电池专门用于削峰填谷,降低需量电费
- 联合优化模式:电池同时参与调频和调峰,实现收益最大化
2. 经济性优化目标
模型以最小化总用电成本为目标函数,综合考虑了多个经济因素:
- 电能费用:基于用电量的电度电费
- 需量电费:基于最大需量的基本电费
- 电池损耗成本:充放电循环对电池寿命的影响
- 调频服务收益:参与辅助服务市场获得的收入
- 调节偏差惩罚:实际响应与指令偏差的处罚
3. 技术约束保障
为确保电池安全运行,模型包含了严格的物理约束:
- 电池功率上下限约束
- 荷电状态(SoC)安全范围约束
- 能量守恒约束(充放电平衡)
- 运行过程中的动态SoC管理
算法实现原理
优化问题建模
系统采用凸优化方法,将复杂的储能优化问题转化为可求解的数学规划问题。通过CVX优化工具箱,将实际物理约束和经济目标转化为标准的优化问题形式。
数据处理流程
- 信号预处理:对原始负荷数据和调频信号进行时间分辨率统一和格式标准化
- 参数初始化:配置电池技术参数、电价结构和运行约束
- 优化求解:针对不同模式构建相应的优化模型并求解
- 结果分析:计算各项经济指标并可视化运行效果
关键技术创新
1. 联合优化机制
联合优化模式的核心突破在于解决了调峰和调频服务之间的耦合关系。传统方法中这两种服务往往相互冲突,而本模型通过巧妙的数学建模实现了协同优化:
- 在响应调频指令的同时考虑削峰需求
- 通过容量分配优化平衡两种服务的收益
- 动态调整电池运行策略以适应多重目标
2. 经济性评估框架
模型提供了完整的成本效益分析框架,能够准确量化不同运行策略的经济价值:
% 典型的经济性评估指标
总成本 = 电能费用 + 需量费用 + 电池损耗 - 调频收益
3. 实用性约束处理
考虑到实际工程应用,模型包含了详细的电池管理约束:
- 充放电功率限制
- SoC运行窗口保护
- 循环寿命考虑
- 实时功率平衡
应用价值
商业用户价值
对于商业建筑和工业用户,该模型能够:
- 降低电费支出:通过削峰降低需量电费,通过调频获得额外收入
- 提高投资回报:最大化电池储能系统的综合利用价值
- 增强用电弹性:适应不同的电价政策和市场规则
电网服务价值
从系统层面看,该模型有助于:
- 提高电网频率稳定性
- 缓解局部网络拥堵
- 促进可再生能源消纳
- 降低系统备用需求
技术特点
- 模块化设计:各功能模块独立封装,便于扩展和维护
- 实际数据驱动:基于真实负荷和调频信号数据
- 多时间尺度:兼顾秒级调频响应和小时级能量管理
- 实用性强:考虑了实际运行中的各种物理约束
该储能联合优化模型为用户提供了一套科学、实用的储能系统经济运行工具,通过先进的数学优化方法实现了储能系统价值的最大化,对于推动储能技术的商业化应用具有重要意义。

MATLAB代码:储能参与调峰调频联合优化模型 关键词:储能 调频 调峰 充放电优化 联合运行 仿真平台:MATLAB+CVX 平台 主要内容:代码主要做的是考虑储能同时参与调峰以及调频的联合调度模型,现有代码往往仅关注储能在调峰方面的能力,而实际上同时参与调峰调频将超线性的提高储能的收益,在建模方面,构建了考虑电池退化成本、充放电功率约束以及用户负荷不确定性的储能优化模型,整体复现结果和文档一致,该代码具有一定的创新性,适合新手学习以及在此基础上进行拓展,代码质量非常高,出图效果非常好!可以直接拿来用 这段代码主要是一个电力系统的优化问题,涉及到电池储能、电力价格、信号处理和电力账单计算等方面的知识。下面我会逐步解释代码的功能和应用。 首先,代码开头使用了一些命令来清除命令窗口、关闭所有图形窗口,并设置一个变量`fig_flag`为1,表示显示图形。 接下来,定义了一个电池的参数。`battery.n`表示电池的充放电循环次数,`battery.cell`表示电池的价格(每瓦时的价格),`battery.power`表示电池的功率(单位为兆瓦),`battery.energy`表示电池的能量(单位为兆瓦时),`battery.socmax`表示电池的最大充电状态,`battery.socmin`表示电池的最小充电状态,`battery.socini`表示电池的初始充电状态。 然后,定义了一些价格相关的参数。`lambda.elec`表示电力价格(单位为每兆瓦时),`lambda.peak`表示峰值需求费用(单位为每兆瓦),`lambda.c`表示单位调节收入(每个新信号收入100美元),`lambda.p`表示不匹配罚款(每个新信号罚款500美元),`lambda.battery`表示电池成本(每兆瓦时的成本)。 接下来,加载了一些信号数据。`PJM_Reg_Signal_2013_06-201405.mat`是一个PJM频率调节信号数据集,`UWEE_load.mat`是一个电力负荷数据集。然后对负荷数据进行了一些处理,将其分辨率改为20秒,并将其重复了45次。对于频率调节信号数据,将其分辨率改为4秒。 然后,定义了一些时间参数。`hour`表示小时数,`ts`表示时间步长,`T`表示总的时间步数,`tt`表示时间序列。 接下来,使用一个循环来处理数据。在每次循环中,从信号数据中取出一段时间的数据,并进行一系列的优化计算。这些计算包括参考电费计算、仅进行频率调节的电费计算、仅进行峰值削减的电费计算以及同时进行峰值削减和频率调节的电费计算。最后,将计算得到的电费保存在一个矩阵中。 最后,如果`fig_flag`为1,则绘制一个柱状图,显示四种策略下的电费情况。 综上所述,这段代码主要是为了优化电力系统中的电费问题。通过使用电池储能和优化算法,可以在不同的策略下计算电费,并比较不同策略下的电费情况。这个程序可能适用于电力行业的能源管理和优化领域。涉及到的知识点包括电池储能、电力价格、信号处理和优化算法等。


AtomGit 是由开放原子开源基金会联合 CSDN 等生态伙伴共同推出的新一代开源与人工智能协作平台。平台坚持“开放、中立、公益”的理念,把代码托管、模型共享、数据集托管、智能体开发体验和算力服务整合在一起,为开发者提供从开发、训练到部署的一站式体验。
更多推荐



所有评论(0)