用序列二次规划法SQP解决非线性优化问题
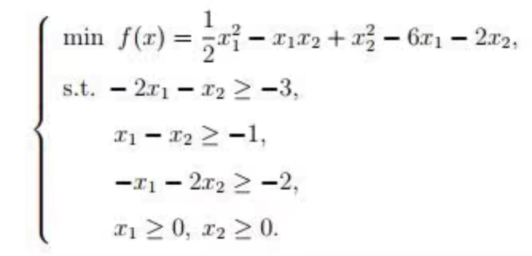
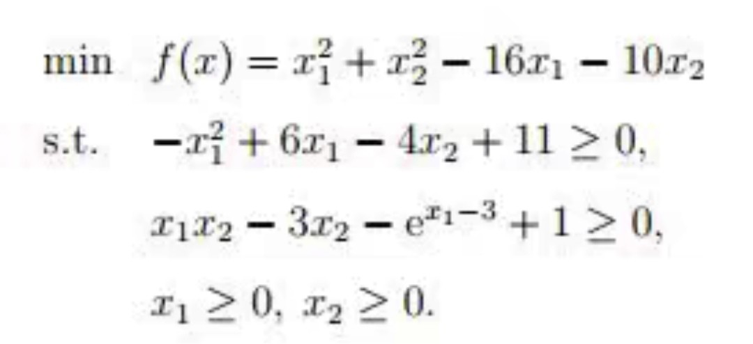
序列二次规划法SQP解非线性优化问题 序列二次规划法SQP求解非线性优化问题的自编MATLAB程序,支持等式约束,不等式约束以及混合约束。 目标函数与约束函数均可以是非线性函数,但要求目标函数和约束函数的一阶偏导数连续。 买家修改附图标注的5处地方即可用于求解自己的优化问题。 应用示例见末图。

在优化领域,非线性优化问题常常让我们绞尽脑汁。不过,序列二次规划法(SQP)为我们提供了一个强大的工具来应对这类挑战。今天咱就唠唠怎么用自编的MATLAB程序,通过SQP求解非线性优化问题,还支持等式约束、不等式约束以及混合约束。
SQP基本原理简介
SQP的核心思想是将非线性优化问题逐步转化为一系列二次规划子问题进行求解。每次迭代时,根据当前迭代点的信息,构造一个二次规划模型来近似原非线性优化问题。这个二次规划模型的解会引导我们向原问题的最优解靠近。
MATLAB程序实现
下面咱就看看具体的MATLAB代码,这里咱以一个简单的带约束非线性优化问题为例。假设目标函数为 $f(x) = x1^2 + x2^2$,有不等式约束 $g(x) = x1 + x2 - 1 \leq 0$,等式约束 $h(x) = x1 - x2 = 0$。
% 定义目标函数
fun = @(x) x(1)^2 + x(2)^2;
% 定义非线性不等式约束函数
nonlcon_ineq = @(x) [x(1)+x(2)-1];
% 定义非线性等式约束函数
nonlcon_eq = @(x) [x(1)-x(2)];
% 初始点
x0 = [0; 0];
% 求解非线性优化问题
options = optimoptions('fmincon','Algorithm','sqp');
[x,fval] = fmincon(fun,x0,[],[],[],[],[],[],nonlcon_ineq,nonlcon_eq,options);
代码分析
- 目标函数定义:
fun = @(x) x(1)^2 + x(2)^2;这里使用匿名函数定义了目标函数,x是一个向量,x(1)和x(2)分别对应变量 $x1$ 和 $x2$。 - 不等式约束定义:
nonlcon_ineq = @(x) [x(1)+x(2)-1];同样用匿名函数定义了不等式约束,返回值需满足小于等于0的条件。 - 等式约束定义:
nonlcon_eq = @(x) [x(1)-x(2)];匿名函数定义等式约束,返回值需等于0。 - 初始点设置:
x0 = [0; 0];设定了迭代的初始点,初始点的选择有时候会影响算法的收敛速度和结果。 - 求解设置:
options = optimoptions('fmincon','Algorithm','sqp');这里指定使用fmincon函数的sqp算法来求解。然后通过fmincon函数传入目标函数、初始点、线性约束相关参数(这里为空,因为没有线性约束)、非线性不等式和等式约束函数以及求解选项,最终得到最优解x和最优值fval。
买家使用说明
咱这个自编程序很友好,买家只要修改附图标注的5处地方,就能用于求解自己的优化问题。具体哪5处呢,一般来说就是目标函数定义处、不等式约束函数定义处、等式约束函数定义处、初始点设置处以及求解选项里可能需要根据具体问题调整的参数处。
应用示例
就像末图展示的那样,在某个实际工程问题中,可能目标函数是关于材料厚度和结构尺寸的复杂函数,约束条件可能涉及到力学性能限制等。通过修改程序里对应的部分,使用SQP方法就能高效找到最优的设计参数,达到降低成本或者提高性能等目的。

序列二次规划法SQP解非线性优化问题 序列二次规划法SQP求解非线性优化问题的自编MATLAB程序,支持等式约束,不等式约束以及混合约束。 目标函数与约束函数均可以是非线性函数,但要求目标函数和约束函数的一阶偏导数连续。 买家修改附图标注的5处地方即可用于求解自己的优化问题。 应用示例见末图。

总之,SQP在非线性优化中是个相当给力的方法,结合咱的MATLAB自编程序,相信能帮大家解决不少实际问题。



AtomGit 是由开放原子开源基金会联合 CSDN 等生态伙伴共同推出的新一代开源与人工智能协作平台。平台坚持“开放、中立、公益”的理念,把代码托管、模型共享、数据集托管、智能体开发体验和算力服务整合在一起,为开发者提供从开发、训练到部署的一站式体验。
更多推荐

所有评论(0)