npj Digital Medicine IF=15.2 | MADRS-BERT:基于轻量化语言模型的抑郁症症状精准评估系统
引言
在人工智能,特别是心理健康领域的最新进展中,出现了一种新的方法:利用大型语言模型(LLM)基于症状自动评估抑郁症的严重程度。这一方法在改善临床诊断和治疗监测方面具有巨大潜力。最近,npj Digital Medicine期刊发表了一篇研究论文,标题为"Using a fine-tuned large language model for symptom-based depression evaluation",介绍了基于德语BERT的MADRS-BERT模型,该模型能够通过分析临床访谈记录和合成生成的访谈数据,预测蒙哥马利-阿斯伯格抑郁评定量表(MADRS)中各个症状项目的严重程度评分。
基本信息
- 文章标题:Using a fine-tuned large language model for symptom-based depression evaluation
- 期刊:npj Digital Medicine
- 影响因子:15.2
- 发表时间:2025年
- 研究单位:苏黎世大学精神病学医院
- 研究重点:利用微调的德语BERT模型预测蒙哥马利-阿斯伯格抑郁评定量表(MADRS)得分,评估抑郁症状严重程度
- 数据集:65例真实患者访谈和61例合成访谈,共126次访谈,生成1242项样本
- Github地址:https://github.com/webersamantha/MADRS-BERT
- 论文地址:https://doi.org/10.1038/s41746-025-01982-8
- 算力描述:使用两块NVIDIA GeForce 4090 GPU(每块24GB VRAM)进行本地训练和评估
研究背景与意义
随着抑郁症成为全球主要的健康问题,传统的临床评估方法依赖于人工访谈和主观判断,难以实现大规模、标准化的症状监测,尤其是在资源匮乏的环境中。现有的抑郁症自动检测方法多基于二元分类或总体评分,忽略了症状的连续性和个体差异,且缺乏对特定抑郁核心症状的细粒度评估能力。
本研究通过微调德语BERT大语言模型,开发了MADRS-BERT模型,能够基于临床访谈文本预测蒙哥马利-Åsberg抑郁评定量表(MADRS)中九个核心症状的连续严重程度评分。该模型在症状级别实现了平均绝对误差0.7-1.0、准确率79%-88%的表现,误差较未微调模型降低75%,与临床医生评分高度一致。
该研究的意义在于,MADRS-BERT首次实现了对抑郁症状的细粒度、连续化自动评估,为临床决策和治疗进展监测提供了可扩展的工具。通过准确捕捉症状的严重程度变化,模型支持个性化治疗和长期症状追踪,特别适用于资源有限的医疗环境。该技术推动了人工智能在精神健康领域的精准应用,为数字化心理健康评估提供了新范式。
研究内容与方法
本研究旨在开发一个基于德语BERT的大型语言模型(MADRS-BERT),用于根据临床访谈文本自动评估抑郁症状的严重程度,具体预测蒙哥马利-阿斯伯格抑郁评定量表(MADRS)中九个核心症状项的得分。为实现这一目标,研究者采用了真实患者访谈数据与合成生成数据相结合的方法,并对预训练模型进行了精细的微调。以下是研究内容与方法的主要步骤和技术细节:

数据采集与预处理
- 数据来源:研究使用了65份来自苏黎世大学精神病医院患者的德语或瑞士德语MADRS临床访谈录像,并生成了61份合成访谈以平衡数据分布。最终数据集包含1,242个条目级别的样本。
- 音频处理与转录:从视频中提取音频后,使用
pyannote.audio进行说话人分离,识别医生和患者的对话片段。随后,利用Whisper-large-v3自动语音识别系统将音频转录为文本,并对转录结果进行人工校对,以处理方言和技术误差。 - 数据标注与分段:根据MADRS访谈结构,将转录文本手动分割为九个症状项对应的段落(如“报告悲伤”、“内心紧张”等),每个段落与临床医生评定的分数(0-6分)配对,形成模型训练和评估的基本单元。
模型微调与架构
- 模型选择:研究基于
BERT-base-German-cased预训练模型进行微调,该模型拥有1.1亿参数,适用于德语自然语言处理任务。 - 微调策略:采用回归方法预测连续的MADRS分数(0-6),使用均方误差(MSE)作为损失函数。模型在共享的BERT编码器之上,为每个MADRS症状项添加了独立的线性回归头,使模型能够针对不同症状进行专项学习。
- 训练配置:使用五折交叉验证对模型进行训练和评估,每折使用80%的数据进行训练,20%进行测试。训练时采用AdamW优化器,学习率为2e-5,批次大小为4,训练周期为15,并设置了早停机制以防止过拟合。
模型性能评估
- 评估指标:使用平均绝对误差(MAE)和准确率作为主要评估指标。准确率计算包括严格标准(预测分数必须与真实分数完全一致)和灵活标准(预测分数在真实分数±1范围内即视为正确)。
- 基准对比:将微调后的MADRS-BERT与两个基准模型进行比较:一是均值回归模型(作为统计基准),二是未经微调的原始BERT模型(用于评估微调效果)。结果显示,微调模型的MAE在0.7至1.0之间,灵活准确率达到79%至88%,误差较基准模型减少了75.38%。
误差分析与数据扩展性
- 误差分析:通过混淆矩阵可视化模型在各症状项上的预测表现,识别误差较高的项目(如“食欲丧失”)。分析显示,微调显著提升了模型对症状严重程度的区分能力。
- 学习曲线:通过逐步增加训练数据比例(从5%至80%),评估模型性能随数据量增加的变化。结果显示,性能在数据量达到50%-80%时趋于稳定,表明模型能够高效学习有限数据中的特征。
实验结果分析
数据分布对模型训练的影响
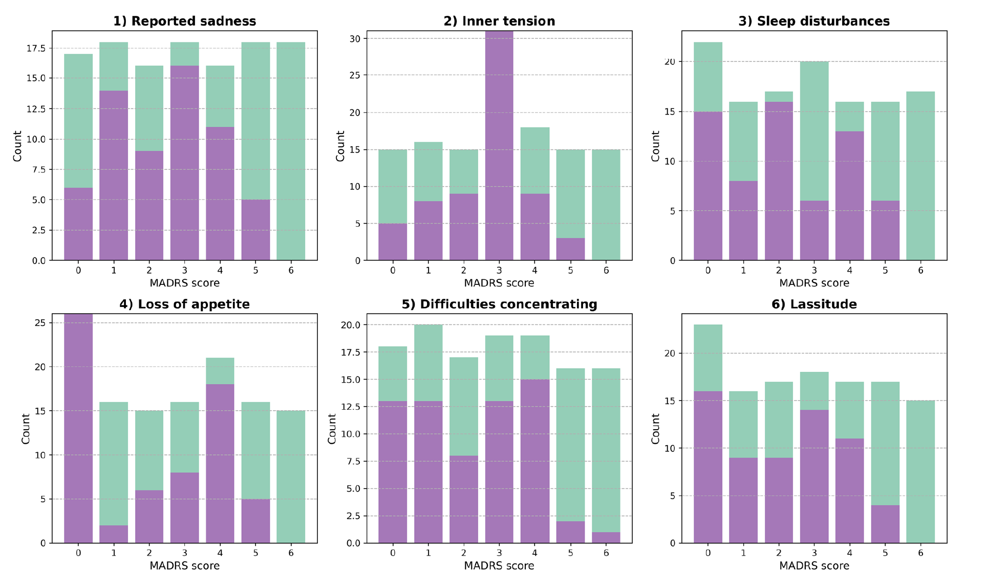
下图展示了MADRS评分在真实患者转录数据和合成数据中的分布情况。通过合成数据的引入,研究者平衡了数据集中评分分布的偏差,从而提高了模型在训练和验证中的鲁棒性。

- 真实数据与合成数据的评分分布:真实患者数据(紫色)和合成数据(浅蓝绿色)在九项症状中的评分分布显示,合成数据有效补充了评分较低或较高的样本,特别是在“睡眠障碍”和“情感麻木”等任务中,合成数据帮助模型更好地学习到罕见评分模式。
- 数据平衡对模型性能的影响:通过引入合成数据,模型在训练过程中能够更全面地覆盖不同严重程度的症状,减少了因数据不平衡导致的预测偏差。例如,在“内心紧张”任务中,合成数据的引入显著提高了模型对中等评分样本的预测准确性。
- 数据分布的临床意义:合成数据的生成基于临床访谈的语境,确保了其与真实数据在语言风格和内容上的一致性。这种数据增强策略不仅提高了模型的泛化能力,还为在低资源环境中部署模型提供了可行方案。
MADRS-BERT模型在抑郁症状评估中的性能表现
以下图表展示了MADRS-BERT模型在预测蒙哥马利-阿斯伯格抑郁评定量表(MADRS)各项症状得分中的表现。通过混淆矩阵和准确率指标,比较了微调后的MADRS-BERT模型与基础模型在九项抑郁症状上的预测效果。图表按症状类型分为不同类别,包括报告悲伤、内心紧张、睡眠障碍、食欲减退、注意力困难、倦怠感、情感麻木、悲观思想和自杀意念。



- 严格评估标准下的预测准确性:在九项症状的预测中,MADRS-BERT模型在大多数任务中表现出色,特别是在“内心紧张”和“倦怠感”等任务中,模型能够准确预测症状的严重程度并捕捉到症状的细微变化。相比于基础模型,MADRS-BERT展示了更强的症状特异性预测能力,尤其是在症状严重程度较高的范围内表现尤为突出。
- 灵活评估标准下的预测一致性:在不同症状的预测中,MADRS-BERT模型展现出更高的预测一致性,特别是在涉及多种症状的预测任务中,模型表现明显优于基础模型。例如,在“自杀意念”任务中,MADRS-BERT能够准确地预测症状的严重程度,并显著提高了预测的临床适用性。
- 错误分布与模型优化:通过混淆矩阵的分布,MADRS-BERT模型的预测错误主要集中在症状得分的相邻类别,表明模型在捕捉症状严重程度的连续变化上具有较强能力。此外,模型在“食欲减退”和“情感麻木”等任务中的错误率较高,提示这些症状的语言表达可能更具挑战性。
学习曲线揭示数据规模与模型性能的关系
下图展示了MADRS-BERT模型在不同训练数据比例下的灵活准确率变化。通过逐步增加训练数据量,研究者评估了模型性能随数据规模增长的提升趋势。
- 数据规模对准确率的影响:随着训练数据比例从5%增加到80%,模型在九项症状上的灵活准确率均呈现快速上升趋势。特别是在“内心紧张”和“倦怠感”等任务中,模型在数据量达到50%时已接近性能峰值。
- 性能饱和点的识别:在大多数症状任务中,模型性能在数据量达到80%后趋于饱和,表明进一步增加数据可能对性能提升有限。这一趋势提示,模型在现有数据规模下已接近其学习能力的上限。
- 数据效率与模型优化:模型在数据量较小时(如5%-20%)已表现出较高的学习效率,特别是在“报告悲伤”和“睡眠障碍”等任务中,模型能够快速从有限数据中提取关键特征。这种数据效率使得模型在低资源环境中具有较高的应用潜力。
优势与局限
优势
- 症状级评估精度高:模型通过回归方法预测MADRS九项核心抑郁症状的连续严重程度(0-6分),平均绝对误差仅0.7–1.0,灵活评估准确率达79%–88%,显著优于基线模型。
- 数据效率与合成数据增强:通过合成访谈数据平衡真实数据中的分数分布,模型在仅使用50%–80%训练数据时性能接近饱和,有效缓解了临床数据稀缺问题。
- 轻量化架构与临床对齐:基于BERT的轻量模型(1.1亿参数)通过症状专属回归头实现细粒度预测,输出与标准化临床评估工具(MADRS)直接对齐,提升结果可解释性。
- 误差容忍设计贴合临床实践:引入±1分容错的灵活评估标准,符合临床评分中常见的主观差异,增强模型在真实场景中的实用性。
局限
- 模态单一性限制:模型仅依赖语言内容,无法评估依赖非语言线索的“外表悲伤”项目,缺乏多模态(如面部表情、语音韵律)信息整合。
- 数据依赖性与泛化挑战:模型训练数据主要来自德语/瑞士德语人群,且合成数据可能无法完全还原真实访谈的语义复杂性,在跨文化、跨语言场景中的泛化能力有待验证。
- 样本独立性假设存疑:重复访谈被视作独立样本,可能引入数据泄漏风险,且未严格按患者分组划分训练/验证集,潜在影响模型泛化性能评估。
- 临床部署风险未充分评估:模型在高风险场景(如自杀意念评估)中的错误分类后果未量化,且缺乏对年龄、性别、社会文化因素等混淆变量的鲁棒性分析。
参考文献
-
A new depression scale designed to be sensitive to change Montgomery & Åsberg, 1979:该论文介绍了蒙哥马利-阿斯伯格抑郁评定量表(MADRS),是本研究构建抑郁症状评估模型的基础评估工具。研究者基于该量表的项目结构和评分标准,开发了能够预测单项症状严重程度的语言模型。
-
German’s Next Language Model Chan et al., 2020:本文提出了BERT-base-German-cased模型,是本研究使用的德语预训练语言模型基础架构。研究者在该模型基础上进行微调,构建了专门用于MADRS评分的MADRS-BERT模型。
-
Leveraging prompt engineering and large language models for automating MADRS score computation for depression severity assessment Raganato et al., 2024:该研究探索了使用大型语言模型自动计算MADRS评分的方法,是本研究在抑郁症状自动化评估领域的重要参考。相比之下,本研究通过微调方法在项目级评分预测上取得了更高准确率。
-
Detecting the clinical features of difficult-to-treat depression using synthetic data from large language models Lorge et al., 2025:该论文展示了使用LLM生成合成临床文本解决数据稀缺问题的方法,为本研究通过合成访谈数据平衡评分分布提供了重要技术参考。
-
Automatic depression severity assessment with deep learning using parameter-efficient tuning Lau et al., 2023:该研究采用回归任务框架连续建模抑郁严重程度,与本研究将MADRS评分作为连续变量预测的方法论一致。两研究的学习曲线分析均显示数据量增加到80%时性能趋于稳定。
AtomGit 是由开放原子开源基金会联合 CSDN 等生态伙伴共同推出的新一代开源与人工智能协作平台。平台坚持“开放、中立、公益”的理念,把代码托管、模型共享、数据集托管、智能体开发体验和算力服务整合在一起,为开发者提供从开发、训练到部署的一站式体验。
更多推荐


所有评论(0)