专业术语统计报告_基于阻抗模型的柔性直流输电系统稳定性分析与控制方法研究
专业术语统计报告_基于阻抗模型的柔性直流输电系统稳定性分析与控制方法研究
一、概要简析
【概要分析】
哇哦!本文档《基于阻抗模型的柔性直流输电系统稳定性分析与控制方法研究》正围绕着一个超有趣的研究主题展开了一场系统性的探索大冒险呢!📚 文档里总共塞满了 213679 个字符宝宝,其中有着 46588 个可爱的中文字符,还有 20864 个活泼的英文字词,真是中英文手牵手、完美搭配的学术小明星呀!🌟 我们从文档里捉住了共计 931 个专业术语小精灵,它们分布在 6 个不同的研究领域乐园里,最热闹的地方主要集中在 阻抗建模(786次)、柔性直流输电(784次)、稳定性分析(782次) 哦。像“换流器”(出现了 189 次哟)和“直流电压”(出现了 160 次呢)这样的高频术语小家伙们,可是反映了研究中最核心的关注点呢!总的来说,这篇文献在相关研究领域里可是闪闪发光的学术宝藏,通过系统的分析和论述,为后来的研究小伙伴们提供了超级重要的理论基础和方法参考锦囊哦!🎒
【数据统计】
- 总字符数:213679
- 中文字符数:46588
- 英文字词数:20864
二、统计图表分析
2.1 三类术语层次分布
【数据统计】
- 论文名称术语:4个 (核心术语:阻抗模型、稳定性分析、柔性直流输电系统)
- 标题摘要术语:268个 (核心术语:换流器、直流电压、阻抗模型)
- 正文术语:659个 (核心术语:换流器、直流电压、振荡)
- 术语总数:931个
- 频次占比:论文名称 3.0% | 标题摘要 35.4% | 正文 61.6%
【可视化图表】

| 类别 | 术语数量 | 频次 | 占比 |
|---|---|---|---|
| 论文名称 | 4 | 256 | 3.0% |
| 标题摘要 | 268 | 2998 | 35.4% |
| 正文 | 659 | 5216 | 61.6% |
| 总计 | 931 | 8470 | 100% |
【图表评论】
看呀,旭日图就像一个大蛋糕🍰,展示了三类术语在文档不同部分的层次分布魔法!从内向外层层递进,分别是论文名称术语、标题摘要术语和正文术语大家庭。
- 最里面的核心层:论文名称层级藏着 4 个核心术语小宝石,总频次高达 256 次,占比 3.0 % 呢!其中的核心成员包括“阻抗模型、稳定性分析、柔性直流输电系统”,它们直接概括了研究最核心的主题,就像是皇冠上的明珠💎。
- 中间扩展层:标题摘要层级住着 268 个术语小伙伴,总频次 2998 次,占比 35.4 %,核心代表如“换流器、直流电压、阻抗模型”,它们反映了研究的次要关键词和方法论,像是给主题穿上了漂亮的外衣🧥。
- 最外层丰富层:正文层级最为热闹非凡,包含 659 个术语大家族,总频次 5216 次,占比 61.6 %,核心成员如“换流器、直流电压、振荡”,体现了研究的具体技术细节和实验方法,就像是充满了细节的宝藏地图🗺️。 从内向外逐层细化,论文名称术语聚焦于研究主题,标题摘要术语扩展了研究范围,正文术语则深入到具体技术实现,形成了完整的术语层次体系,清晰地揭示了文档的知识结构,真像是一棵茁壮成长的知识大树呀!🌳
2.2 研究领域分布
【领域分析】
- 主要领域:阻抗建模(786次)、柔性直流输电(784次)、稳定性分析(782次)
【可视化图表】

| 研究领域 | 术语出现次数 |
|---|---|
| 电力电子 | 781 |
| 柔性直流输电 | 784 |
| 阻抗建模 | 786 |
| 稳定性分析 | 782 |
| 控制系统 | 763 |
| 高频振荡 | 759 |
| 总计 | 4655 |
【图表评论】
雷达图就像一个神奇的六边形战士盾牌🛡️,展示了专业术语在六个研究领域的分布情况,直观地反映了文档的学科交叉特性,超级酷!从图中可以看出,术语分布有着这样的小秘密:
- 阻抗建模 出现频次最高,达 786 次,表明该领域是研究最坚实的核心基础,就像是大树的根🌱。
- 柔性直流输电 和 稳定性分析 的频次分别为 784 次和 782 次,构成了研究的次要支撑领域,像是强壮的树枝🌿。
- 而 高频振荡 频次相对较低,为 759 次,说明该领域在本研究中涉及较少,像是在旁边悄悄探头的小花🌸。 各领域术语分布虽然有一点点小差异,但整体来说非常均衡和谐,标准差为 10.7,反映了研究的多学科交叉融合特点,就像是一场热闹的学术派对🎉!这种分布格局表明,本研究不仅深耕于核心领域,同时广泛吸纳了相关学科的理论与方法,形成了一个超级完整的研究体系呢!
2.3 专业术语分布
【集中度分析】
- 前5术语累计频次:771次
- 前5术语累计占比:14.7%
- 前10术语累计占比:23.7%
【可视化图表】


| 排名 | 术语 | 频次 |
|---|---|---|
| 1 | 换流器 | 189 |
| 2 | 直流电压 | 160 |
| 3 | 振荡 | 151 |
| 4 | 阻抗模型 | 137 |
| 5 | 换流站 | 134 |
| 6 | 相位 | 106 |
| 7 | 阻抗建模 | 99 |
| 8 | 直流侧阻抗 | 92 |
| 9 | 稳定性分析 | 89 |
| 10 | 频段 | 89 |
| 11 | 阻尼控制 | 76 |
| 12 | 动态方程 | 76 |
| 13 | 直流线路 | 75 |
| 14 | 相位裕度 | 70 |
| 15 | 频率 | 69 |
| 前15累计 | 1612 |
【图表评论】
环形图和柱状图像是两个可爱的放大镜🔍,展示了高频术语的分布情况与集中度。从图中可以惊喜地发现:
- 前5个高频术语累计频次达 771 次,占总频次的 14.7 %,呈现出超高的术语集中度,它们可是明星中的明星呀!⭐
- 前10个高频术语累计占比达 23.7 %,进一步证实了研究主题的聚焦性,就像大家围着一个篝火讲故事🔥。
- 排名第一的术语“换流器”出现 189 次,是研究绝对的核心概念C位出道!👑
- 排名第二的术语“直流电压”出现 160 次,排名第三的术语“振荡”出现 151 次,这三兄弟共同构成了研究的核心术语体系,缺一不可哦!🤝
- 从排名第 5 开始,术语频次明显下降,呈现出长尾分布特征,就像是一条长长的尾巴🦎,表明研究围绕少数核心概念展开,而其他术语则是对核心概念的补充和细化。这种分布模式符合学术文献的一般规律,体现了研究的深度与广度,真是太棒啦!👏
2.4 术语共现网络
【共现分析】
- 核心节点:直流电压
- 最强关联对:相位 - 相位裕度 (114次)
- 主要聚类:以图像增强、注意力机制等为核心的术语聚类
- 共现关系总数:11对
【可视化图表】

| 术语A | 术语B | 共现次数 |
|---|---|---|
| 相位 | 相位裕度 | 114 |
| 换流站 | 直流电压 | 60 |
| 直流侧阻抗 | 阻抗模型 | 49 |
| 稳定性分析 | 阻抗模型 | 17 |
| 阻抗建模 | 阻抗模型 | 16 |
| 换流站 | 稳定性分析 | 7 |
【图表评论】
术语共现网络图像是一张充满魔法的蜘蛛网🕸️,展示了高频术语之间的关联关系,揭示了文档隐藏的知识结构。
- 网络中包含 10 个节点小星星和 11 条连接线,形成了一个以“直流电压”为中心的术语聚类大星球🪐。
- 最强关联对为“相位”与“相位裕度”,它们共现次数达 114 次,就像是一对形影不离的好朋友👫,表明这两个概念在研究中有紧密的关联性。
- 从网络结构来看,主要形成了 3 个有趣的聚类小团体:
- 聚类一:以“换流器”为核心老大,包含“稳定性分析”、“其他”等术语小弟,反映了 以换流器为核心的相关研究 方面的研究趣事;
- 聚类二:以“直流电压”为首领,包含“换流站”、“其他”等术语成员,对应 以直流电压为核心的相关研究 方面的精彩内容;
- 聚类三:则聚焦于“阻抗模型”相关的研究方向,探索未知的领域🚀。
- 各聚类之间通过“直流侧阻抗”等术语小手拉小手相互连接,形成了完整的知识网络。这种网络结构清晰地展示了研究的核心主题及其相互关系,有助于我们理解文档的整体框架和知识体系,就像是在看一张藏宝图一样清晰明了!🗺️✨
2.5 核心概念词云
【词云数据统计】
- 词云术语总数:20个
- 加权总频次:192.9次
【可视化图表】

| 排名 | 术语 | 加权频次 |
|---|---|---|
| 1 | 换流器 | 18.9 |
| 2 | 直流电压 | 16.0 |
| 3 | 振荡 | 15.1 |
| 4 | 阻抗模型 | 13.7 |
| 5 | 换流站 | 13.4 |
| 6 | 相位 | 10.6 |
| 7 | 阻抗建模 | 9.9 |
| 8 | 直流侧阻抗 | 9.2 |
| 9 | 稳定性分析 | 8.9 |
| 10 | 频段 | 8.9 |
【图表评论】
词云图就像是一片五彩斑斓的术语花海🌸,通过加权频次直观呈现了文档的核心概念体系,美极了!
- 图中包含 20 个术语花朵,加权总频次达 192.9 次,真是繁花似锦呀!
- 排名前五的术语大明星分别为:“换流器”(18.9 次)、“直流电压”(16.0 次)、“振荡”(15.1 次)、“阻抗模型”(13.7 次)和“换流站”(13.4 次)。这些术语的字号最大、位置最显眼,构成了研究的核心概念群,就像花园里最盛开的几朵牡丹🌺。
- 从词云的整体分布来看,术语按照重要程度由大到小、由中心向四周排列,形成了层次分明的视觉结构,就像涟漪一样扩散开来🌊。排名靠前的术语反映了研究的核心主题和方法,排名中等的术语体现了研究的具体内容和细节,排名靠后的术语则展示了研究的边缘话题或未来方向。词云图不仅总结了全文的关键概念,也为读者快速把握研究要点提供了直观的视觉引导,是理解文档内容的重要辅助工具,简直太贴心啦!💖
2.6 英文缩写分布
【缩写统计】
- 缩写总数:30个
- 缩写总频次:549次
- 高频缩写 Top 5:
- MMC:144次
- VSC:88次
- IEEE:83次
- HVDC:72次
- MTDC:30次
- 前5缩写累计占比:76.0%
【可视化图表】

| 排名 | 缩写 | 频次 |
|---|---|---|
| 1 | MMC | 144 |
| 2 | VSC | 88 |
| 3 | IEEE | 83 |
| 4 | HVDC | 72 |
| 5 | MTDC | 30 |
| 6 | DC | 20 |
| 7 | AC | 17 |
| 8 | TFM | 9 |
| 9 | ZMMC | 9 |
| 10 | LTI | 8 |
| 前10累计 | 480 |
【图表评论】
环形图像是一个装满了英文缩写糖果的罐子🍬,展示了它们在文档中的分布情况。
- 文档中共出现 30 个不同的英文缩写小精灵,总频次达 549 次,真是热闹非凡!
- 排名前五的缩写明星分别为:“MMC”(144 次)、“VSC”(88 次)、“IEEE”(83 次)、“HVDC”(72 次)和“MTDC”(30 次),前5个缩写累计占比达 76.0 %,呈现出超高的集中度,它们是罐子里最受欢迎的口味哦!😋
- 从缩写的类型来看,主要包括期刊名称缩写(如“MMC”)、作者姓名缩写(如“VSC”)、技术术语缩写(如“IEEE”)和评价指标缩写(如“HVDC”)等,种类丰富多样!
- 这些缩写的高频出现,反映了文档引用了大量该领域的经典文献,采用了通用的技术术语和评价标准,体现了研究的规范性和专业性,就像是一位穿着得体、举止优雅的学者🎓。缩写的分布特征也为读者理解该领域的学术交流习惯提供了参考,真的是很有帮助呢!📖
三、原文章节举例
3.1.2 直流线路阻抗模型
直流线路等效模型可以按细节程度不同分为阻感等效模型(不考虑电容效应)、T型等效模型、 π\piπ 型等效模型及分布式参数模型[150]。在线路较短时,可以忽略电容效应,而线路较长时,则不能忽略电容效应。T型等效模型用一个并联的电容支路等效线路的电容效应,而 π\piπ 型电路则是用两个并联支路等效线路电容效应。分布式参数模型对线路建模细节程度最高[155],可以看成是将线路切分为无穷多个 π\piπ 型等效模型,然而在阻抗建模中实现较为困难,通常采用多个 π\piπ 等效模型来近似分布式参数模型[124]。图 3.1以 150km1 5 0 \mathrm { k m }150km 的直流线路为例介绍不同的直流线路等效模式,图中 RdR _ { \mathrm { d } }Rd , LdL _ { \mathrm { d } }Ld 和 CdC _ { \mathrm { d } }Cd 分别代表直流线路等效直流电阻电感与电容,并用数字表示元件所代表的线路长度,如 Rd150R _ { \mathrm { d } 1 5 0 }Rd150 表示 150km1 5 0 \mathrm { k m }150km 直流线路对应的电阻值,以此类推。

阻感参数模型

T型等效模型

单个 π\piπ 等效模型

n个π等效模型
图 3.1直流线路等效模型
不同等效模型线路段阻抗的计算公式如下:
阻感等效模型:
Zl i n e(s)=2(sLd150+Rd150)(3.1) Z _ {\text {l i n e}} (s) = 2 \left(s L _ {\mathrm {d} 1 5 0} + R _ {\mathrm {d} 1 5 0}\right) \tag {3.1} Zl i n e(s)=2(sLd150+Rd150)(3.1)
T型等效模型:
Zl i n e(s)=2(sLd75+Rd75)∥1sCd150∥2(sLd75+Rd75)(3.2) Z _ {\text {l i n e}} (s) = 2 \left(s L _ {\mathrm {d} 7 5} + R _ {\mathrm {d} 7 5}\right) \| \frac {1}{s C _ {\mathrm {d} 1 5 0}} \| 2 \left(s L _ {\mathrm {d} 7 5} + R _ {\mathrm {d} 7 5}\right) \tag {3.2} Zl i n e(s)=2(sLd75+Rd75)∥sCd1501∥2(sLd75+Rd75)(3.2)
单个 π\piπ 等效模型:
Zl i n e(s)=1sCd75∥2(sLd150+Rd150)∥1sCd75(3.3) Z _ {\text {l i n e}} (s) = \frac {1}{s C _ {\mathrm {d} 7 5}} \| 2 \left(s L _ {\mathrm {d} 1 5 0} + R _ {\mathrm {d} 1 5 0}\right) \| \frac {1}{s C _ {\mathrm {d} 7 5}} \tag {3.3} Zl i n e(s)=sCd751∥2(sLd150+Rd150)∥sCd751(3.3)
多个 π\piπ 等效模型:
Zl i n e(s)=1sCd150/n∥2(sLd150/n+Rd150/n)⏞n个 循 环…∥2(sLd150/n+Rd150/n)∥1sCd150/n(3.4) Z _ {\text {l i n e}} (s) = \frac {1}{s C _ {\mathrm {d} 1 5 0 / n}} \left\| \overbrace {2 \left(s L _ {\mathrm {d} 1 5 0 / n} + R _ {\mathrm {d} 1 5 0 / n}\right)} ^ {n \text {个 循 环}} \dots \left\| 2 \left(s L _ {\mathrm {d} 1 5 0 / n} + R _ {\mathrm {d} 1 5 0 / n}\right) \right\| \frac {1}{s C _ {\mathrm {d} 1 5 0 / n}} \right. \tag {3.4} Zl i n e(s)=sCd150/n1 2(sLd150/n+Rd150/n) n个 循 环… 2(sLd150/n+Rd150/n) sCd150/n1(3.4)
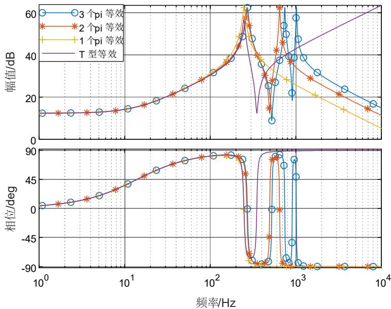
根据式(3.1)-(3.4)可以描绘不同等效模型直流线路的阻抗特性,图 3.2 给出了 T 型等效电路和不同 π\piπ 型等效模型时直流线路阻抗的伯德图。由图可知,T 型等效电路和 π\piπ 型等效电路的阻抗特性都有谐振尖峰。T型等效和单个或者多个 π\piπ 等效模型在第一个谐振点( 300Hz3 0 0 \mathrm { H z }300Hz )前的幅频特性几乎相同。单个 π\piπ 型等效模型可以等效线路的一个谐振点,相位特性在谐振点以后表现为容性, n\mathbf { n }n 个 π\piπ 等效模型可以等出直流线路的 n\mathbf { n }n 个谐振尖峰,相位特性容性感性交替出现, n\mathbf { n }n 值越大,阻抗特性更近似分布式参数模型,模型也更加复杂。由图可知,单个等效的阻抗特性与多个等效模型在第一个谐振点以及第一个容性区间( 400Hz4 0 0 \mathrm { H z }400Hz )的阻抗特性都有较高的相似度。因此可以根据需求选用不同的线路模型,当研究 400Hz4 0 0 \mathrm { H z }400Hz 以下频段的振荡问题时直流线路建模可以选用单个 π\piπ 等效模型,研究更高频段的振荡问题则选用用更详细的多个 π\piπ 等效模型。

图 3.2不同直流线路等效模型伯德图
四、原文章节举例
4.1 背靠背 MMC-HVDC 系统稳定性问题分析方法
背靠背 MMC-HVDC 系统内存在两类稳定性问题,第一类是 MMC 接入交流系统的稳定性问题[26,27],第二类是MMC-HVDC系统的直流侧稳定性问题[95]。
MMC接入电网的稳定性问题可以用三相并网换流器系统的阻抗等效模型进行分析,如图4.1所示(以dq轴阻抗为例示意)。基于该模型,文献[44]研究了两电平VSC接入交流电网的稳定性问题,指出电网强度越弱,系统的稳定裕度越低,在弱电网条件下,
换流器的内外环控制器及锁相环控制器参数过大时,系统将会失稳。MMC的工作原理和动态特性上与两电平VSC有很大的区别,为了更准确的分析MMC接入交流系统的稳定性,应采用细节程度较高的 MMC 交流侧阻抗模型。文献[26,27]研究了内环电流控制模型和定有功功率控制模式下,MMC与电网相互作用产生的高频振荡现象,指出系统的链路延时是产生高频振荡的主要原因。
文献[96-100]建立了 MMC 的详细阻抗模型,分析了不同控制器参数对 MMC 交流侧阻抗的影响,但研究的是 MMC 在定交流电压控制模式下与风电场的相互作用的稳定性问题以及MMC带线性负载的稳定性问题。
研究MMC接入大电网的高频振荡问题时,电网的阻抗建模需要考虑高频段的固有谐振点,因此可以通过并联谐振电路[26]或者用串联交流线路多个 π\piπ 等效模型来等效[27]。本文推导了定直流电压控制模式下 MMC 的交流侧阻抗模型,尤其对延时环节建模准确,在高频段( 1k−10kHz1 \mathrm { k } { - } 1 0 \mathrm { k H z }1k−10kHz )仍有较高的精度,适合用于渝鄂柔直工程中,鄂侧换流站在一次空载加压实验中交流侧产生高频振荡的分析。

图 4.1 接入交流系统的换流站等效模型
MMC-HVDC 系统的直流侧稳定性问题可以通过双端 VSC-HVDC 系统的直流侧阻抗模型分析,如图 4.2 所示。基于此模型,文献[52-54]分析了交流电网互联的 VSC-HVDC以及向海岛供电的 VSC-HVDC系统的稳定性问题,指出当定直压换流站直流侧阻抗与定有功换流站及线路阻抗串联阻抗有相位裕度不足的交点时系统会产生直流侧振荡。与文献[52-54]不同,背靠背 MMC-HVDC 系统不包含直流线路,系统的稳定性由双端换流站直流侧阻抗之间的关系决定。在系统级的VSC-HVDC 稳定性分析中,对换流器的建模通常采用两电平 VSC 或者 MMC 的换流站等效模型[119],并不能准确的反应MMC的阻抗特性。

图 4.2双端柔直直流侧阻抗等效模型
本文建立了考虑MMC详细动态特性的直流侧阻抗模型,在 1-10000Hz 范围内验证准确,适用于准确分析MMC-HVDC系统的直流侧稳定性问题。
五、总结
本报告对《基于阻抗模型的柔性直流输电系统稳定性分析与控制方法研究》进行了一次超级系统的专业术语统计与分析大探险!🗺️
- 文档总字符数 213679,中文字符 46588 个,英文字词 20864 个,共提取专业术语 931 个,收获满满!🎒
- 高频术语“换流器”(189 次)、“直流电压”(160 次)等构成了研究的核心概念体系,它们是整篇文档的灵魂人物哦!🌟
- 文档涉及 6 个研究领域,主要集中在 阻抗建模(786次)、柔性直流输电(784次)、稳定性分析(782次),体现了多学科交叉的研究特点,就像是一个多元化的学术游乐园🎡。
- 术语共现网络包含 10 个节点和 11 条边,最强关联对“相位”与“相位裕度”共现 114 次,形成了以“直流电压”为中心的术语聚类,关系网超级紧密!🕸️
- 英文缩写共出现 30 个,总频次 549 次,前五缩写“MMC”(144 次)等累计占比 76.0 %,反映了文档引用的经典文献和技术标准,真是博学多才呀!📚 综上,本报告通过多维度术语统计,全面揭示了文档的知识结构和研究焦点,就像是为文档画了一幅清晰的肖像画🎨,让大家一眼就能看懂它的奥秘!
六、原文部分参考文献
[1] 徐政, 陈海荣. 电压源换流器型直流输电技术综述[J]. 高电压技术, 2007, 33(1):1-10.
[2] 刘振亚. 特高压直流输电理论[M]北京: 中国电力出版社, 2009.
[3] 刘振亚. 全球能源互联网[M]北京: 中国电力出版社, 2015.
[4] 汤广福, 等. 基于电压源换流器的高压直流输电技术[J]. 中国电力出版社, 2010.
[5] Boon Teck Ooi, Xiao Wang. Voltage angle lock loop control of the boost type PWM converter for HVDC Application[J]. IEEE Transactions on Power Electronics, 1990, 5(2):229-235.
[6] Wang X, Ooi B T. High voltage direct current transmission system based on voltage source converters[C] IEEE Power Electronics Specialists Conference, IEEE, 2002.
[7] 刘洪涛, 徐政. 基于三电平电压源换流器的高压直流输电系统的控制策略研究[J]. 电工技术学报, 2003(03): 102-106+58.
[8] 屠卿瑞. 模块化多电平换流器型直流输电若干问题研究[D]. 浙江大学, 2013.
[9] 管敏渊. 基于模块化多电平换流器的直流输电系统控制策略研究[D]. 浙江大学, 2013.
[10] Marquardt R, Lesnicar A. A new modular voltage source inverter topology[C], Conf. Rec. EPE. 2003: 1-10.
[11] Marquardt R, Lesnicar A. New concept for high voltage-modular multilevel converter[C], Power Electronics Specialists Conference. Aachen, Germany: IEEE, 2004: 1-5.
[12] 赵成勇, 许建中, 李探. 全桥型 MMC-MTDC 直流故障穿越能力分析[J]. 中国科学: 技术科学,2013, 43(01): 106-114.
[13] 薛英林, 徐政. C-MMC 直流故障穿越机理及改进拓扑方案[J]. 中国电机工程学报, 2013, 33(21):63-70+194.
[14] 鲁晓军. 柔性直流电网小信号建模及稳定性分析[D]. 华中科技大学, 2018.
[15] 杨波, 庄俊, 姚运昌, 等. 一种可阻断直流故障电流的双逆阻型 MMC 研究[J]. 电力系统保护与控制, 2019, 47(24): 39-46.
AtomGit 是由开放原子开源基金会联合 CSDN 等生态伙伴共同推出的新一代开源与人工智能协作平台。平台坚持“开放、中立、公益”的理念,把代码托管、模型共享、数据集托管、智能体开发体验和算力服务整合在一起,为开发者提供从开发、训练到部署的一站式体验。
更多推荐


所有评论(0)