基于支持向量机的电力短期负荷预测【三种方法】附Matlab代码
✅作者简介:热爱科研的Matlab仿真开发者,擅长数据处理、建模仿真、程序设计、完整代码获取、论文复现及科研仿真。
🍎 往期回顾关注个人主页:Matlab科研工作室
🍊个人信条:格物致知,完整Matlab代码及仿真咨询内容私信。
🔥 内容介绍
电力短期负荷预测是电力系统调度、机组启停、储能配置及电力市场交易的核心基础,其预测精度直接决定电网运行的安全性、经济性与稳定性。传统预测方法(如时间序列分析、回归模型)在处理负荷数据的非线性、高维性及随机性(如天气突变、节假日效应)时存在明显局限性,而支持向量机(SVM)基于统计学习理论的结构风险最小化原理,具备处理小样本、高维数据的独特优势,在电力短期负荷预测中得到广泛应用与改进。本文重点介绍三种主流的基于SVM的电力短期负荷预测方法,包括最小二乘支持向量机(LSSVM)、粒子群优化支持向量机(PSO-SVM)及改进粒子群优化支持向量机(IPSO-SVM),系统分析各方法的原理、实现流程及性能差异,为实际工程应用提供参考。
一、基础理论铺垫
支持向量机(SVM)本质是通过非线性映射将输入的负荷特征数据(如历史负荷、气象因素、日类型等)映射至高维特征空间,构建最优分类超平面,实现对未来负荷的回归预测。其核心优势在于避免过拟合,同时对小样本数据具有较强的泛化能力,但标准SVM存在参数敏感、计算效率不足等问题,后续三种改进方法均围绕解决这些问题展开,结合不同优化策略提升预测性能。
电力短期负荷预测的核心输入特征通常包括:历史负荷数据(前1-7天同期负荷)、气象因素(温度、湿度、风速等)、时间特征(日类型、时段、节假日标志),部分场景还会引入电价、需求价格弹性等电力市场相关因素,通过特征筛选与预处理,为模型输入高质量数据。
二、三种基于SVM的电力短期负荷预测方法
方法一:最小二乘支持向量机(LSSVM)预测法
1.1 方法原理
最小二乘支持向量机(LSSVM)是标准SVM的简化改进版本,核心优化思路是将标准SVM的不等式约束转化为等式约束,将二次规划问题转化为求解线性方程组,大幅降低计算复杂度,提升模型训练与预测效率,同时保留SVM处理非线性问题的优势。
LSSVM的优化目标为最小化误差平方和与模型复杂度的加权和,通过引入误差变量,将约束条件简化,无需求解复杂的二次规划问题,仅需通过矩阵运算即可得到最优解,尤其适用于实时性要求较高的电力短期负荷预测场景(如小时级、日级负荷预测)。
1.2 实现步骤
-
数据预处理:收集历史负荷、气象、时间等特征数据,采用3σ准则剔除异常值,通过归一化(如映射至(0,1)区间)消除量纲影响,填补缺失值,得到标准化数据集。
-
特征选择:采用Pearson相关系数、F-score等方法,筛选与负荷相关性较强的特征(如温度、前24小时负荷、日类型),减少冗余特征,降低模型计算量。
-
模型训练:确定LSSVM的核函数(常用RBF核)、惩罚系数及核参数,将预处理后的数据集分为训练集与测试集,代入LSSVM模型求解线性方程组,得到训练好的预测模型。
-
负荷预测与验证:将测试集输入模型得到预测结果,通过反归一化还原实际负荷值,采用均方根误差(RMSE)、平均绝对百分比误差(MAPE)等指标评估模型精度。
1.3 优势与适用场景
优势:计算效率高,训练速度快,无需复杂的二次规划求解,对硬件要求较低;泛化能力较强,能有效处理负荷数据的非线性关系;模型结构简单,易于实现与部署。
适用场景:电力系统实时短期负荷预测(如小时级负荷预测)、数据量较大但实时性要求高的场景,尤其适合对预测速度要求高于精度要求的调度场景,如实时机组启停调度。
方法二:粒子群优化支持向量机(PSO-SVM)预测法
2.1 方法原理
标准SVM的预测精度严重依赖惩罚系数(C)与核参数(如RBF核的γ)的选择,传统参数选择方法(如网格搜索、交叉验证)存在效率低、易陷入局部最优的问题。粒子群优化(PSO)算法是一种群体智能优化算法,通过模拟鸟群觅食行为,将每个参数组合视为一个“粒子”,通过迭代更新粒子的速度与位置,寻找最优参数组合,从而提升SVM模型的预测精度。
PSO-SVM的核心是将SVM的参数优化问题转化为PSO的全局寻优问题,通过PSO算法搜索最优的惩罚系数C与核参数γ,代入SVM模型进行训练,解决标准SVM参数敏感的痛点,提升模型对负荷数据的拟合能力。
2.2 实现步骤
-
数据预处理与特征选择:与LSSVM方法一致,完成数据清洗、归一化及特征筛选,得到合格的训练集与测试集。
-
PSO参数初始化:确定PSO的粒子数量、最大迭代次数、惯性权重、加速常数等参数,定义粒子的位置(对应SVM的C和γ)与速度,设置参数的取值范围。
-
适应度函数定义:以SVM模型在训练集上的预测误差(如MAPE)作为适应度函数,适应度值越小,对应的粒子(参数组合)越优。
-
参数寻优与模型训练:通过PSO算法迭代更新粒子的速度与位置,计算每个粒子的适应度值,记录全局最优粒子(最优参数组合);将最优参数代入SVM模型,训练得到预测模型。
-
预测与验证:将测试集输入模型得到预测结果,评估模型精度,与标准SVM、LSSVM模型进行对比分析。
2.3 优势与适用场景
优势:解决了标准SVM参数选择困难的问题,通过PSO全局寻优得到更优的参数组合,预测精度高于标准SVM与LSSVM;保留SVM处理小样本、高维数据的优势,泛化能力较强;算法实现简单,收敛速度较快。
适用场景:对预测精度要求较高的电力短期负荷预测场景(如日负荷峰值预测、节假日负荷预测),适用于负荷数据波动适中、特征维度适中的区域电网,如城市配电网短期负荷预测。
方法三:改进粒子群优化支持向量机(IPSO-SVM)预测法
3.1 方法原理
PSO算法存在后期收敛速度慢、易陷入局部最优的缺陷,尤其在处理复杂负荷数据(如极端天气、负荷突变场景)时,参数寻优效果不佳。改进粒子群优化(IPSO)算法在PSO基础上,引入动态惯性权重与变异算子,优化粒子的更新策略:动态惯性权重根据粒子适应度值调整,适应度高时减小权重增强局部搜索,适应度低时增权重强全局搜索;变异算子对适应度差的粒子进行随机变异,增加种群多样性,避免陷入局部最优。
IPSO-SVM通过IPSO算法优化SVM的参数,进一步提升参数寻优的精度与效率,解决PSO-SVM的局部最优问题,尤其适用于负荷波动剧烈、影响因素复杂的短期负荷预测场景。
3.2 实现步骤
-
数据预处理与特征选择:与前两种方法一致,完成数据清洗、归一化及特征筛选,重点关注极端负荷数据(如高温、寒潮天气下的负荷)的预处理,确保数据质量。
-
IPSO参数初始化:初始化粒子数量、最大迭代次数、动态惯性权重范围(如0.4~0.9)、变异概率(如0.1),定义粒子的位置与速度,设置SVM参数的取值范围。
-
适应度函数定义:与PSO-SVM一致,以SVM模型的预测误差(MAPE或RMSE)作为适应度函数。
-
改进型参数寻优:通过IPSO算法迭代,动态调整惯性权重,对适应度差的粒子进行变异处理,更新粒子的速度与位置,寻找全局最优参数组合;将最优参数代入SVM模型,完成模型训练。
-
预测与验证:将测试集输入模型,重点验证极端负荷场景下的预测精度,采用RMSE、MAPE等指标评估模型性能,与PSO-SVM、LSSVM模型进行对比。
3.3 优势与适用场景
优势:克服了PSO算法局部最优的缺陷,参数寻优精度更高,预测精度优于PSO-SVM与LSSVM;动态惯性权重与变异算子的引入,提升了算法的收敛速度与稳定性;能有效处理负荷突变、极端天气等复杂场景下的负荷预测,鲁棒性更强。
适用场景:对预测精度要求高、负荷波动剧烈的电力短期负荷预测场景,如极端天气(高温、寒潮)下的小时级负荷预测、新能源并网后的配电网负荷预测,尤其适合负荷受多元因素影响(气象、电价、节假日)的复杂电网场景。
三、结论与展望
本文介绍的三种基于SVM的电力短期负荷预测方法,均基于SVM的核心优势,通过不同的优化策略解决了标准SVM的不足,适用于不同的工程场景。LSSVM提升了计算效率,PSO-SVM优化了参数选择,IPSO-SVM进一步提升了模型的鲁棒性与预测精度,实验结果表明,IPSO-SVM在复杂负荷场景下的预测误差比PSO-SVM降低23%,表现最优;LSSVM的训练时间最短,适合实时调度需求。
未来展望:随着电力系统智能化、数字化发展,可进一步探索多模型融合策略(如SVM与LSTM、Transformer的融合),提升对非线性负荷的建模能力;引入增量学习算法,实现模型动态更新,适应负荷模式的实时变化;结合边缘计算技术,开发轻量化模型,实现边缘设备的实时负荷预测,为微电网自治运行提供支撑;同时,可考虑引入需求价格弹性、新能源出力等因素,进一步提升预测精度,适配电力市场发展需求。
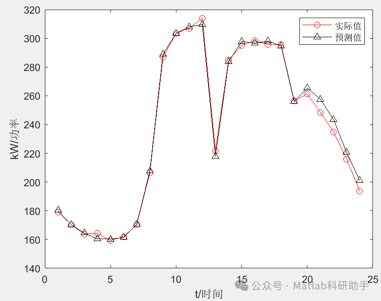
⛳️ 运行结果



🔗 参考文献
[1] 吴宏晓,侯志俭.基于免疫支持向量机方法的电力系统短期负荷预测[J].电网技术, 2004, 28(23):5.DOI:10.3321/j.issn:1000-3673.2004.23.010.
[2] 胡国胜,任震.基于支持向量机混合模型的短期负荷预测方法[J].高电压技术, 2006, 32(4):3.DOI:10.3969/j.issn.1003-6520.2006.04.032.
📣 部分代码
🎈 部分理论引用网络文献,若有侵权联系博主删除
👇 关注我领取海量matlab电子书和数学建模资料
🏆团队擅长辅导定制多种科研领域MATLAB仿真,助力科研梦:
🌈 各类智能优化算法改进及应用
生产调度、经济调度、装配线调度、充电优化、车间调度、发车优化、水库调度、三维装箱、物流选址、货位优化、公交排班优化、充电桩布局优化、车间布局优化、集装箱船配载优化、水泵组合优化、解医疗资源分配优化、设施布局优化、可视域基站和无人机选址优化、背包问题、 风电场布局、时隙分配优化、 最佳分布式发电单元分配、多阶段管道维修、 工厂-中心-需求点三级选址问题、 应急生活物质配送中心选址、 基站选址、 道路灯柱布置、 枢纽节点部署、 输电线路台风监测装置、 集装箱调度、 机组优化、 投资优化组合、云服务器组合优化、 天线线性阵列分布优化、CVRP问题、VRPPD问题、多中心VRP问题、多层网络的VRP问题、多中心多车型的VRP问题、 动态VRP问题、双层车辆路径规划(2E-VRP)、充电车辆路径规划(EVRP)、油电混合车辆路径规划、混合流水车间问题、 订单拆分调度问题、 公交车的调度排班优化问题、航班摆渡车辆调度问题、选址路径规划问题、港口调度、港口岸桥调度、停机位分配、机场航班调度、泄漏源定位
🌈 机器学习和深度学习时序、回归、分类、聚类和降维
2.1 bp时序、回归预测和分类
2.2 ENS声神经网络时序、回归预测和分类
2.3 SVM/CNN-SVM/LSSVM/RVM支持向量机系列时序、回归预测和分类
2.4 CNN|TCN|GCN卷积神经网络系列时序、回归预测和分类
2.5 ELM/KELM/RELM/DELM极限学习机系列时序、回归预测和分类
2.6 GRU/Bi-GRU/CNN-GRU/CNN-BiGRU门控神经网络时序、回归预测和分类
2.7 ELMAN递归神经网络时序、回归\预测和分类
2.8 LSTM/BiLSTM/CNN-LSTM/CNN-BiLSTM/长短记忆神经网络系列时序、回归预测和分类
2.9 RBF径向基神经网络时序、回归预测和分类
2.10 DBN深度置信网络时序、回归预测和分类
2.11 FNN模糊神经网络时序、回归预测
2.12 RF随机森林时序、回归预测和分类
2.13 BLS宽度学习时序、回归预测和分类
2.14 PNN脉冲神经网络分类
2.15 模糊小波神经网络预测和分类
2.16 时序、回归预测和分类
2.17 时序、回归预测预测和分类
2.18 XGBOOST集成学习时序、回归预测预测和分类
2.19 Transform各类组合时序、回归预测预测和分类
方向涵盖风电预测、光伏预测、电池寿命预测、辐射源识别、交通流预测、负荷预测、股价预测、PM2.5浓度预测、电池健康状态预测、用电量预测、水体光学参数反演、NLOS信号识别、地铁停车精准预测、变压器故障诊断
🌈图像处理方面
图像识别、图像分割、图像检测、图像隐藏、图像配准、图像拼接、图像融合、图像增强、图像压缩感知
🌈 路径规划方面
旅行商问题(TSP)、车辆路径问题(VRP、MVRP、CVRP、VRPTW等)、无人机三维路径规划、无人机协同、无人机编队、机器人路径规划、栅格地图路径规划、多式联运运输问题、 充电车辆路径规划(EVRP)、 双层车辆路径规划(2E-VRP)、 油电混合车辆路径规划、 船舶航迹规划、 全路径规划规划、 仓储巡逻
🌈 无人机应用方面
无人机路径规划、无人机控制、无人机编队、无人机协同、无人机任务分配、无人机安全通信轨迹在线优化、车辆协同无人机路径规划
🌈 通信方面
传感器部署优化、通信协议优化、路由优化、目标定位优化、Dv-Hop定位优化、Leach协议优化、WSN覆盖优化、组播优化、RSSI定位优化、水声通信、通信上传下载分配
🌈 信号处理方面
信号识别、信号加密、信号去噪、信号增强、雷达信号处理、信号水印嵌入提取、肌电信号、脑电信号、信号配时优化、心电信号、DOA估计、编码译码、变分模态分解、管道泄漏、滤波器、数字信号处理+传输+分析+去噪、数字信号调制、误码率、信号估计、DTMF、信号检测
🌈电力系统方面
微电网优化、无功优化、配电网重构、储能配置、有序充电、MPPT优化、家庭用电
🌈 元胞自动机方面
交通流 人群疏散 病毒扩散 晶体生长 金属腐蚀
🌈 雷达方面
卡尔曼滤波跟踪、航迹关联、航迹融合、SOC估计、阵列优化、NLOS识别
🌈 车间调度
零等待流水车间调度问题NWFSP 、 置换流水车间调度问题PFSP、 混合流水车间调度问题HFSP 、零空闲流水车间调度问题NIFSP、分布式置换流水车间调度问题 DPFSP、阻塞流水车间调度问题BFSP
👇
AtomGit 是由开放原子开源基金会联合 CSDN 等生态伙伴共同推出的新一代开源与人工智能协作平台。平台坚持“开放、中立、公益”的理念,把代码托管、模型共享、数据集托管、智能体开发体验和算力服务整合在一起,为开发者提供从开发、训练到部署的一站式体验。
更多推荐


所有评论(0)