车辆动力学与带约束的非线性模型预测控制仿真研究(Matlab代码实现)
💥💥💞💞欢迎来到本博客❤️❤️💥💥
🏆博主优势:🌞🌞🌞博客内容尽量做到思维缜密,逻辑清晰,为了方便读者。
⛳️座右铭:行百里者,半于九十。
📋📋📋本文内容如下:🎁🎁🎁
⛳️赠与读者
👨💻做科研,涉及到一个深在的思想系统,需要科研者逻辑缜密,踏实认真,但是不能只是努力,很多时候借力比努力更重要,然后还要有仰望星空的创新点和启发点。建议读者按目录次序逐一浏览,免得骤然跌入幽暗的迷宫找不到来时的路,它不足为你揭示全部问题的答案,但若能解答你胸中升起的一朵朵疑云,也未尝不会酿成晚霞斑斓的别一番景致,万一它给你带来了一场精神世界的苦雨,那就借机洗刷一下原来存放在那儿的“躺平”上的尘埃吧。
或许,雨过云收,神驰的天地更清朗.......🔎🔎🔎
💥第一部分——内容介绍
车辆动力学与带约束的非线性模型预测控制仿真研究
摘要:本文针对车辆动力学系统,开展带约束的非线性模型预测控制(NMPC)仿真研究。首先建立包含六个状态变量的车辆动力学模型,该模型能够准确描述车辆在不同工况下的运动特性。然后,借助 CasADi 库构建 NMPC 问题,通过设计合适的目标函数,在最小化当前状态与参考状态偏差以及控制量的同时,施加状态和控制输入约束,确保车辆状态和控制输入始终处于安全合理的范围内。最后,通过 MATLAB 仿真,验证所提出控制算法的有效性,并分析车辆状态和控制输入随时间的变化情况。研究结果表明,该 NMPC 算法能够有效地跟踪参考轨迹,同时满足各种约束条件,为车辆控制系统的设计和优化提供了理论依据。
关键词:车辆动力学;非线性模型预测控制;约束;仿真研究
一、引言
随着汽车行业的快速发展,对车辆控制系统的性能要求越来越高。车辆动力学控制作为提高车辆安全性、稳定性和舒适性的关键技术,受到了广泛关注。模型预测控制(MPC)作为一种先进的控制策略,具有处理多变量、多约束问题的能力,能够提前预测系统未来行为并优化控制输入,因此在车辆控制领域得到了广泛应用。
非线性模型预测控制(NMPC)是 MPC 的一种重要分支,适用于具有强非线性特性的系统。车辆动力学系统具有明显的非线性特征,如轮胎力的非线性特性等,因此 NMPC 更适合用于车辆动力学控制。然而,NMPC 的计算复杂度较高,在实际应用中需要解决实时性问题。
本文旨在研究车辆动力学与带约束的 NMPC 仿真,通过建立车辆动力学模型,设计 NMPC 算法,并在 MATLAB 环境下进行仿真验证,为车辆控制系统的实际开发提供参考。
二、车辆动力学模型
2.1 模型描述
本文采用六自由度车辆动力学模型,系统状态向量 x 为长度 6 的向量,具体包括:
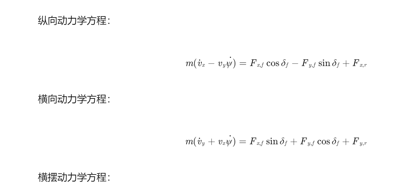
2.2 动力学方程
车辆动力学方程基于牛顿第二定律和欧拉方程建立,具体如下:


三、非线性模型预测控制算法设计
3.1 NMPC 问题构建

3.2 约束条件
为了确保车辆状态和控制输入始终处于安全合理的范围内,对 NMPC 问题施加如下约束:
3.3 求解方法
NMPC 问题的求解采用序列二次规划(SQP)算法,该算法通过将非线性规划问题转化为一系列二次规划问题进行迭代求解,具有收敛速度快、求解精度高的优点。在每个采样时刻,根据当前车辆状态更新 NMPC 问题,并求解得到最优控制序列,将序列的第一个控制量作用于车辆动力学模型。
四、仿真研究
4.1 仿真参数设置
4.2 仿真结果分析
通过 MATLAB 仿真,得到车辆纵向速度 vx、横向位置 Y、纵向加速度 ax 及前轮转角 δf 随时间变化的曲线。
从纵向速度曲线可以看出,车辆能够快速跟踪参考速度,并且在加速和减速过程中满足纵向加速度约束。横向位置曲线表明,车辆在行驶过程中能够保持在规定的车道范围内,满足横向位置约束。纵向加速度和前轮转角曲线显示,控制输入在变化过程中始终处于约束范围内,并且变化平滑,满足变化率约束。
同时,在 MATLAB 命令行输出总仿真耗时,分析算法的实时性。仿真结果表明,在给定的采样时间和预测时域下,NMPC 算法能够在合理的时间内求解,满足实时控制的要求。
五、结论
本文针对车辆动力学系统,开展了带约束的非线性模型预测控制仿真研究。通过建立六自由度车辆动力学模型,设计 NMPC 算法,并在 MATLAB 环境下进行仿真验证,得到了以下结论:
- 所建立的车辆动力学模型能够准确描述车辆在不同工况下的运动特性,为 NMPC 算法的设计提供了基础。
- 设计的 NMPC 算法通过合理设计目标函数和施加约束条件,能够有效地跟踪参考轨迹,同时满足车辆状态和控制输入的各种约束要求。
- 仿真结果表明,NMPC 算法在给定的参数设置下具有良好的实时性,能够满足车辆控制系统的实际需求。
然而,本文的研究仍存在一定的局限性,未考虑交通、道路状况等现实约束。未来的研究可以进一步考虑这些因素,完善车辆动力学模型和 NMPC 算法,提高算法的实用性和鲁棒性。
📚第二部分——运行结果


部分代码:
figure
subplot(2,2,1)
plot(th,xh(1,:),'linewidth',2);
xlabel('T (s)');
ylabel('v_{x} (m/s)');
subplot(2,2,2)
plot(th,xh(6,:),'linewidth',2);
xlabel('T (s)');
ylabel('Y (m)');
subplot(2,2,3)
plot(th,uh(1,:),'linewidth',2);
xlabel('T (s)');
ylabel('a_{x} (m/s)');
subplot(2,2,4)
plot(th,uh(2,:),'linewidth',2);
xlabel('T (s)');
ylabel('\delta_{f} (m)');
figure;
plot(th,xh(2,:),'linewidth',2);
xlabel('T (s)');
ylabel('v_{y} (m/s)');
figure;
plot(1:length(sample_time),sample_time,'linewidth',2);
xlabel('Sampling Instance');
ylabel('Optimization Time(s)');
🎉第三部分——参考文献
文章中一些内容引自网络,会注明出处或引用为参考文献,难免有未尽之处,如有不妥,请随时联系删除。(文章内容仅供参考,具体效果以运行结果为准)
🌈第四部分——Matlab代码实现
资料获取,更多粉丝福利,MATLAB|Simulink|Python资源获取

AtomGit 是由开放原子开源基金会联合 CSDN 等生态伙伴共同推出的新一代开源与人工智能协作平台。平台坚持“开放、中立、公益”的理念,把代码托管、模型共享、数据集托管、智能体开发体验和算力服务整合在一起,为开发者提供从开发、训练到部署的一站式体验。
更多推荐






所有评论(0)