燃烧仿真-主题039-污染物排放模型
主题039:污染物排放模型
目录
1. 引言
1.1 燃烧污染物的环境影响
燃烧过程是现代社会能源供应的主要方式,但同时也产生了大量的污染物,对环境和人类健康造成了严重影响。主要燃烧污染物包括:
氮氧化物(NOx):包括NO、NO₂和N₂O,是光化学烟雾、酸雨和臭氧层破坏的主要前驱物。NOx排放会导致:
- 呼吸系统疾病发病率增加
- 光化学烟雾形成,降低能见度
- 酸雨造成土壤和水体酸化
- 温室效应(N₂O的温室效应潜能是CO₂的约300倍)
一氧化碳(CO):无色无味有毒气体,与血红蛋白的结合能力是氧气的200倍,会导致组织缺氧。主要危害包括:
- 急性中毒甚至死亡
- 慢性暴露导致心血管疾病
- 参与大气化学反应生成臭氧
硫氧化物(SOx):主要是SO₂和SO₃,是酸雨的主要成分。危害包括:
- 呼吸系统刺激
- 建筑物和文物腐蚀
- 土壤和水体酸化
- 能见度降低
颗粒物(PM):包括PM₁₀、PM₂.₅和超细颗粒物(UFPs),可深入人体呼吸系统。危害包括:
- 呼吸系统疾病(哮喘、肺癌)
- 心血管系统疾病
- 能见度降低
- 气候变化(黑碳的辐射强迫效应)
未燃碳氢化合物(UHC):包括挥发性有机物(VOCs),是光化学烟雾的前驱物,部分具有致癌性。
1.2 排放法规与标准
随着环保意识的提高,各国制定了严格的排放法规:
中国排放标准:
- 燃煤电厂:NOx ≤ 50 mg/m³,SO₂ ≤ 35 mg/m³,烟尘 ≤ 10 mg/m³(超低排放)
- 燃气轮机:NOx ≤ 50 mg/m³
- 汽车:国六标准,NOx ≤ 0.06 g/km,PM ≤ 0.0045 g/km
欧盟标准:
- 工业排放指令(IED)对各类燃烧设备有详细要求
- 汽车欧7标准将进一步收紧NOx和PM限值
美国标准:
- EPA对各类固定源和移动源有详细规定
- 新源性能标准(NSPS)要求最佳可行控制技术(BACT)
1.3 污染物排放模型的重要性
污染物排放模型在燃烧研究和工程应用中具有重要价值:
- 设计优化:在设计阶段预测排放水平,优化燃烧器和控制系统
- 运行优化:指导实际运行参数调整,实现低排放运行
- 法规遵从:评估是否满足排放法规要求
- 控制策略评估:评估不同控制技术的效果和经济性
- 科学研究:深入理解污染物生成机理,开发新型低排放技术
2. 氮氧化物(NOx)生成机理
2.1 NOx生成路径概述
燃烧过程中NOx主要通过三种路径生成:
热力型NOx (Thermal NOx):由空气中的氮气在高温下氧化生成,遵循Zeldovich机理。这是高温燃烧(>1800K)中NOx的主要来源。
快速型NOx (Prompt NOx):由碳氢化合物燃烧时产生的CH自由基与N₂反应生成,遵循Fenimore机理。在富燃火焰前锋区域显著。
燃料型NOx (Fuel NOx):由燃料中含有的氮化合物(如煤中的吡啶、吡咯、蛋白质等)转化生成。这是燃煤和生物质燃烧中NOx的主要来源。
2.2 热力型NOx - Zeldovich机理
2.2.1 基元反应
Zeldovich机理包含以下基元反应:
O + N 2 → k 1 NO + N Δ H = + 75.1 kcal/mol \text{O} + \text{N}_2 \xrightarrow{k_1} \text{NO} + \text{N} \quad \Delta H = +75.1 \text{ kcal/mol} O+N2k1NO+NΔH=+75.1 kcal/mol
N + O 2 → k 2 NO + O Δ H = − 7.7 kcal/mol \text{N} + \text{O}_2 \xrightarrow{k_2} \text{NO} + \text{O} \quad \Delta H = -7.7 \text{ kcal/mol} N+O2k2NO+OΔH=−7.7 kcal/mol
N + OH → k 3 NO + H Δ H = − 10.5 kcal/mol \text{N} + \text{OH} \xrightarrow{k_3} \text{NO} + \text{H} \quad \Delta H = -10.5 \text{ kcal/mol} N+OHk3NO+HΔH=−10.5 kcal/mol
其中,第一个反应是速率控制步骤,具有很高的活化能(约75 kcal/mol),因此热力型NOx生成对温度极其敏感。
2.2.2 反应速率常数
各基元反应的速率常数(Arrhenius形式):
k 1 = 1.8 × 10 14 exp ( − 38370 T ) [ cm 3 / ( mol ⋅ s ) ] k_1 = 1.8 \times 10^{14} \exp\left(-\frac{38370}{T}\right) \quad [\text{cm}^3/(\text{mol} \cdot \text{s})] k1=1.8×1014exp(−T38370)[cm3/(mol⋅s)]
k 2 = 1.8 × 10 10 T exp ( − 4680 T ) [ cm 3 / ( mol ⋅ s ) ] k_2 = 1.8 \times 10^{10} T \exp\left(-\frac{4680}{T}\right) \quad [\text{cm}^3/(\text{mol} \cdot \text{s})] k2=1.8×1010Texp(−T4680)[cm3/(mol⋅s)]
k 3 = 7.1 × 10 13 exp ( − 450 T ) [ cm 3 / ( mol ⋅ s ) ] k_3 = 7.1 \times 10^{13} \exp\left(-\frac{450}{T}\right) \quad [\text{cm}^3/(\text{mol} \cdot \text{s})] k3=7.1×1013exp(−T450)[cm3/(mol⋅s)]
2.2.3 NO生成速率方程
基于准稳态近似(N原子浓度处于稳态),NO的生成速率为:
d [ NO ] d t = 2 k 1 [ O ] [ N 2 ] 1 − [ NO ] 2 K [ O 2 ] [ N 2 ] 1 + k 1 b [ NO ] k 2 [ O 2 ] + k 3 [ OH ] \frac{d[\text{NO}]}{dt} = 2k_1[\text{O}][\text{N}_2] \frac{1 - \frac{[\text{NO}]^2}{K[\text{O}_2][\text{N}_2]}}{1 + \frac{k_{1b}[\text{NO}]}{k_2[\text{O}_2] + k_3[\text{OH}]}} dtd[NO]=2k1[O][N2]1+k2[O2]+k3[OH]k1b[NO]1−K[O2][N2][NO]2
其中 K K K是平衡常数, k 1 b k_{1b} k1b是反应1的逆反应速率常数。
在初始阶段(NO浓度很低),可以简化为:
d [ NO ] d t = 2 k 1 [ O ] [ N 2 ] \frac{d[\text{NO}]}{dt} = 2k_1[\text{O}][\text{N}_2] dtd[NO]=2k1[O][N2]
2.2.4 扩展Zeldovich机理
更精确的模型还包括N₂O路径和NNH路径:
N₂O路径:
N 2 + O + M → N 2 O + M \text{N}_2 + \text{O} + \text{M} \rightarrow \text{N}_2\text{O} + \text{M} N2+O+M→N2O+M
N 2 O + O → 2 NO \text{N}_2\text{O} + \text{O} \rightarrow 2\text{NO} N2O+O→2NO
此路径在中等温度(1500-1800K)和贫燃条件下较重要。
NNH路径:
N 2 + H → NNH \text{N}_2 + \text{H} \rightarrow \text{NNH} N2+H→NNH
NNH + O → NO + NH \text{NNH} + \text{O} \rightarrow \text{NO} + \text{NH} NNH+O→NO+NH
此路径在富燃条件下有一定贡献。
2.3 快速型NOx - Fenimore机理
2.3.1 反应机理
快速型NOx由Fenimore于1971年发现,主要反应路径为:
CH + N 2 → HCN + N \text{CH} + \text{N}_2 \rightarrow \text{HCN} + \text{N} CH+N2→HCN+N
CH 2 + N 2 → HCN + NH \text{CH}_2 + \text{N}_2 \rightarrow \text{HCN} + \text{NH} CH2+N2→HCN+NH
生成的HCN和NH随后通过一系列反应转化为NO:
HCN + O → NCO + H \text{HCN} + \text{O} \rightarrow \text{NCO} + \text{H} HCN+O→NCO+H
NCO + H → NH + CO \text{NCO} + \text{H} \rightarrow \text{NH} + \text{CO} NCO+H→NH+CO
NH + H → N + H 2 \text{NH} + \text{H} \rightarrow \text{N} + \text{H}_2 NH+H→N+H2
N + OH → NO + H \text{N} + \text{OH} \rightarrow \text{NO} + \text{H} N+OH→NO+H
2.3.2 影响因素
快速型NOx生成受以下因素影响:
- 当量比:在富燃条件(φ > 1.1)下显著增加
- 燃料类型:含碳量高的燃料生成更多快速型NOx
- 火焰结构:层流火焰前锋区域贡献最大
- 温度:虽然活化能较低,但仍随温度升高而增加
快速型NOx通常占总NOx的10-30%,但在某些条件下(如富燃天然气燃烧)可达50%以上。
2.4 燃料型NOx
2.4.1 燃料氮的赋存形态
燃料中的氮主要以以下形态存在:
煤中的氮:
- 吡咯型氮(N-5):五元环结构,约占40-60%
- 吡啶型氮(N-6):六元环结构,约占20-40%
- 季氮(N-Q):约占5-20%
- 胺型氮:少量
生物质中的氮:
- 蛋白质氮
- 氨基酸
- 叶绿素
重油中的氮:
- 碱性氮(吡啶类)
- 非碱性氮(吡咯类、咔唑类)
2.4.2 转化机理
燃料氮向NOx的转化包括以下步骤:
- 挥发分氮释放:燃料热解析出含氮挥发分(HCN、NH₃等)
- 挥发分氮氧化:挥发分中的氮化合物氧化生成NO
- 焦炭氮氧化:焦炭中的氮在燃烧过程中转化为NO
- NO还原:在还原性气氛中,NO可被还原为N₂
2.4.3 转化模型
燃料型NOx生成可以用以下简化模型描述:
燃料N → β 挥发分N + 焦炭N \text{燃料N} \xrightarrow{\beta} \text{挥发分N} + \text{焦炭N} 燃料Nβ挥发分N+焦炭N
挥发分N → γ NO (挥发分N转化率) \text{挥发分N} \xrightarrow{\gamma} \text{NO} \quad \text{(挥发分N转化率)} 挥发分NγNO(挥发分N转化率)
焦炭N → δ NO (焦炭N转化率) \text{焦炭N} \xrightarrow{\delta} \text{NO} \quad \text{(焦炭N转化率)} 焦炭NδNO(焦炭N转化率)
总燃料型NOx生成:
[ NO ] fuel = β ⋅ γ ⋅ N vol + ( 1 − β ) ⋅ δ ⋅ N char [\text{NO}]_{\text{fuel}} = \beta \cdot \gamma \cdot N_{\text{vol}} + (1-\beta) \cdot \delta \cdot N_{\text{char}} [NO]fuel=β⋅γ⋅Nvol+(1−β)⋅δ⋅Nchar
其中:
- β:挥发分氮比例(通常0.6-0.8)
- γ:挥发分氮转化率(通常0.2-0.5)
- δ:焦炭氮转化率(通常0.1-0.3)
转化率受温度、氧浓度、停留时间等因素影响。
2.5 NOx生成经验模型
2.5.1 热力型NOx经验公式
基于大量实验数据,可以建立热力型NOx生成的经验关联式:
指数型关联式:
[ NO x ] = A ⋅ exp ( − E a R T ) ⋅ [ O 2 ] n ⋅ τ m [\text{NO}_x] = A \cdot \exp\left(-\frac{E_a}{RT}\right) \cdot [\text{O}_2]^n \cdot \tau^m [NOx]=A⋅exp(−RTEa)⋅[O2]n⋅τm
其中:
- A:前置因子
- Ea:表观活化能(约60-70 kcal/mol)
- n:氧浓度指数(通常0.5-1.0)
- m:停留时间指数(通常0.5-1.0)
- τ:停留时间
De Soete关联式:
d [ NO ] d t = 1.35 × 10 14 exp ( − 67500 R T ) [ O 2 ] 0.5 [ N 2 ] \frac{d[\text{NO}]}{dt} = 1.35 \times 10^{14} \exp\left(-\frac{67500}{RT}\right) [\text{O}_2]^{0.5} [\text{N}_2] dtd[NO]=1.35×1014exp(−RT67500)[O2]0.5[N2]
2.5.2 燃料型NOx经验公式
燃料型NOx可以用以下关联式估算:
η NOx = [ NO x ] N fuel = f ( T , ϕ , τ , N fuel ) \eta_{\text{NOx}} = \frac{[\text{NO}_x]}{N_{\text{fuel}}} = f(T, \phi, \tau, N_{\text{fuel}}) ηNOx=Nfuel[NOx]=f(T,ϕ,τ,Nfuel)
其中η_NOx是燃料氮向NOx的转化率,通常在10-40%范围内。
2.6 NOx还原机理
2.6.1 热还原(Reburning)
在还原性气氛中,NO可以被还原:
NO + CH i → HCN + 产物 \text{NO} + \text{CH}_i \rightarrow \text{HCN} + \text{产物} NO+CHi→HCN+产物
NO + NH i → N 2 + 产物 \text{NO} + \text{NH}_i \rightarrow \text{N}_2 + \text{产物} NO+NHi→N2+产物
NO + CO → 1 2 N 2 + CO 2 \text{NO} + \text{CO} \rightarrow \frac{1}{2}\text{N}_2 + \text{CO}_2 NO+CO→21N2+CO2
再燃技术就是利用这一原理,在主燃烧区后喷入再燃燃料,创造还原性气氛还原已生成的NOx。
2.6.2 选择性非催化还原(SNCR)
使用氨或尿素作为还原剂,在无催化剂条件下选择性还原NOx:
4 NO + 4 NH 3 + O 2 → 4 N 2 + 6 H 2 O 4\text{NO} + 4\text{NH}_3 + \text{O}_2 \rightarrow 4\text{N}_2 + 6\text{H}_2\text{O} 4NO+4NH3+O2→4N2+6H2O
2 NO 2 + 4 NH 3 + O 2 → 3 N 2 + 6 H 2 O 2\text{NO}_2 + 4\text{NH}_3 + \text{O}_2 \rightarrow 3\text{N}_2 + 6\text{H}_2\text{O} 2NO2+4NH3+O2→3N2+6H2O
最佳反应温度窗口:850-1100°C。温度过低反应速率慢,温度过高氨会被氧化生成NOx。
2.6.3 选择性催化还原(SCR)
在催化剂作用下,氨选择性还原NOx:
4 NO + 4 NH 3 + O 2 → 催化剂 4 N 2 + 6 H 2 O 4\text{NO} + 4\text{NH}_3 + \text{O}_2 \xrightarrow{\text{催化剂}} 4\text{N}_2 + 6\text{H}_2\text{O} 4NO+4NH3+O2催化剂4N2+6H2O
常用催化剂:V₂O₅-WO₃/TiO₂、沸石等。
反应温度窗口:300-400°C,脱硝效率可达90%以上。
3. 一氧化碳(CO)与未燃碳氢化合物
3.1 CO生成机理
3.1.1 化学动力学路径
CO是碳氢燃料氧化的中间产物,主要生成路径包括:
甲醛路径:
CH 2 O + OH → HCO + H 2 O \text{CH}_2\text{O} + \text{OH} \rightarrow \text{HCO} + \text{H}_2\text{O} CH2O+OH→HCO+H2O
HCO + M → H + CO + M \text{HCO} + \text{M} \rightarrow \text{H} + \text{CO} + \text{M} HCO+M→H+CO+M
乙醛路径:
CH 3 CHO + OH → CH 3 CO + H 2 O \text{CH}_3\text{CHO} + \text{OH} \rightarrow \text{CH}_3\text{CO} + \text{H}_2\text{O} CH3CHO+OH→CH3CO+H2O
CH 3 CO + M → CH 3 + CO + M \text{CH}_3\text{CO} + \text{M} \rightarrow \text{CH}_3 + \text{CO} + \text{M} CH3CO+M→CH3+CO+M
直接氧化:
C + 1 2 O 2 → CO \text{C} + \frac{1}{2}\text{O}_2 \rightarrow \text{CO} C+21O2→CO
3.1.2 CO氧化为CO₂
CO最终氧化为CO₂的反应:
CO + OH → CO 2 + H \text{CO} + \text{OH} \rightarrow \text{CO}_2 + \text{H} CO+OH→CO2+H
这是CO氧化的主要路径,反应速率:
d [ CO ] d t = − k [ CO ] [ OH ] \frac{d[\text{CO}]}{dt} = -k[\text{CO}][\text{OH}] dtd[CO]=−k[CO][OH]
其中:
k = 2.74 × 10 9 T 1.3 exp ( − 1160 T ) [ cm 3 / ( mol ⋅ s ) ] k = 2.74 \times 10^{9} T^{1.3} \exp\left(-\frac{1160}{T}\right) \quad [\text{cm}^3/(\text{mol} \cdot \text{s})] k=2.74×109T1.3exp(−T1160)[cm3/(mol⋅s)]
3.1.3 CO生成的影响因素
- 温度:低温下CO氧化速率慢,CO排放高
- 混合程度:混合不良导致局部富燃,CO生成增加
- 停留时间:停留时间不足,CO来不及完全氧化
- 当量比:富燃条件下CO排放显著增加
3.2 未燃碳氢化合物(UHC)
3.2.1 UHC来源
未燃碳氢化合物的主要来源:
- 淬熄效应:火焰接触冷壁面或冷流体而熄灭,燃料未完全燃烧
- 混合不良:燃料与氧化剂混合不充分,形成富燃区域
- 缝隙效应:火焰无法进入狭窄缝隙,燃料逃逸
- 不完全燃烧:氧气不足或温度过低导致燃烧不完全
3.2.2 UHC排放特征
UHC排放特征:
- 冷启动时UHC排放最高
- 怠速和低负荷时UHC排放较高
- 过量空气系数偏离化学计量比时UHC增加
- 燃烧室设计不良导致UHC升高
3.3 CO与UHC的关联
CO和UHC排放通常同时出现,但机理不同:
- CO:燃烧中间产物,氧化不完全导致
- UHC:燃料未参与燃烧或燃烧不完全
在贫燃条件下,CO通常先于UHC被氧化;在富燃条件下,两者同时增加。
4. 硫氧化物(SOx)生成机理
4.1 燃料硫的形态
燃料中的硫以多种形态存在:
煤中的硫:
- 有机硫(与碳结合的硫,如噻吩、硫醇)
- 黄铁矿硫(FeS₂)
- 硫酸盐硫(CaSO₄等,通常不燃烧)
石油中的硫:
- 硫醇(R-SH)
- 硫醚(R-S-R)
- 噻吩及其衍生物
- 二硫化物(R-S-S-R)
天然气中的硫:
- 主要是H₂S和有机硫化合物
4.2 SOx生成机理
4.2.1 SO₂生成
燃料硫燃烧主要生成SO₂:
S + O 2 → SO 2 \text{S} + \text{O}_2 \rightarrow \text{SO}_2 S+O2→SO2
H 2 S + 3 2 O 2 → SO 2 + H 2 O \text{H}_2\text{S} + \frac{3}{2}\text{O}_2 \rightarrow \text{SO}_2 + \text{H}_2\text{O} H2S+23O2→SO2+H2O
COS + 3 2 O 2 → SO 2 + CO 2 \text{COS} + \frac{3}{2}\text{O}_2 \rightarrow \text{SO}_2 + \text{CO}_2 COS+23O2→SO2+CO2
SO₂生成量与燃料硫含量成正比:
[ SO 2 ] = 2 × S fuel M S × M SO 2 V flue [\text{SO}_2] = 2 \times \frac{S_{\text{fuel}}}{M_S} \times \frac{M_{\text{SO}_2}}{V_{\text{flue}}} [SO2]=2×MSSfuel×VflueMSO2
其中:
- S_fuel:燃料硫含量(质量分数)
- M_S:硫的摩尔质量(32 g/mol)
- M_SO₂:SO₂的摩尔质量(64 g/mol)
- V_flue:单位质量燃料产生的烟气体积
4.2.2 SO₃生成
少量SO₂进一步氧化生成SO₃:
SO 2 + 1 2 O 2 → SO 3 \text{SO}_2 + \frac{1}{2}\text{O}_2 \rightarrow \text{SO}_3 SO2+21O2→SO3
SO₃生成机理:
- 气相氧化:高温下SO₂与O原子或OH自由基反应
- 催化氧化:金属氧化物(如V₂O₅)催化SO₂氧化
SO₃通常占SOx的1-5%,但危害更大:
- 与水反应生成硫酸雾(H₂SO₄),腐蚀设备
- 形成蓝烟,造成可见污染
- 是酸雨的主要成分
4.2.3 SO₃生成动力学
SO₃生成速率可以用以下方程描述:
d [ SO 3 ] d t = k [ SO 2 ] [ O 2 ] 0.5 [ M ] \frac{d[\text{SO}_3]}{dt} = k[\text{SO}_2][\text{O}_2]^{0.5}[\text{M}] dtd[SO3]=k[SO2][O2]0.5[M]
其中k是速率常数,M是第三体。
SO₃/SO₂平衡比与温度关系:
K p = [ SO 3 ] [ SO 2 ] [ O 2 ] 0.5 K_p = \frac{[\text{SO}_3]}{[\text{SO}_2][\text{O}_2]^{0.5}} Kp=[SO2][O2]0.5[SO3]
温度越低,平衡越偏向SO₃。但在高温燃烧区,平衡偏向SO₂。
4.3 SOx控制技术
4.3.1 燃烧前脱硫
- 煤炭洗选:物理方法去除部分黄铁矿硫
- 煤气化:将煤转化为合成气,同时脱除H₂S
- 煤液化:将煤转化为液体燃料,脱硫更彻底
4.3.2 燃烧中脱硫
炉内喷钙:向炉膛内喷入石灰石(CaCO₃)或生石灰(CaO)
CaCO 3 → CaO + CO 2 \text{CaCO}_3 \rightarrow \text{CaO} + \text{CO}_2 CaCO3→CaO+CO2
CaO + SO 2 + 1 2 O 2 → CaSO 4 \text{CaO} + \text{SO}_2 + \frac{1}{2}\text{O}_2 \rightarrow \text{CaSO}_4 CaO+SO2+21O2→CaSO4
脱硫效率:30-50%(循环流化床可达90%以上)
4.3.3 烟气脱硫(FGD)
湿法脱硫(最常用):
- 石灰石-石膏法:
CaCO 3 + SO 2 + 1 2 O 2 + 2 H 2 O → CaSO 4 ⋅ 2 H 2 O + CO 2 \text{CaCO}_3 + \text{SO}_2 + \frac{1}{2}\text{O}_2 + 2\text{H}_2\text{O} \rightarrow \text{CaSO}_4 \cdot 2\text{H}_2\text{O} + \text{CO}_2 CaCO3+SO2+21O2+2H2O→CaSO4⋅2H2O+CO2 - 氨法:
2 NH 3 + SO 2 + H 2 O → ( NH 4 ) 2 SO 3 2\text{NH}_3 + \text{SO}_2 + \text{H}_2\text{O} \rightarrow (\text{NH}_4)_2\text{SO}_3 2NH3+SO2+H2O→(NH4)2SO3
脱硫效率:95%以上
干法/半干法脱硫:
- 喷雾干燥法
- 循环流化床脱硫
- 电子束脱硫
5. 颗粒物生成模型
5.1 颗粒物分类
燃烧产生的颗粒物按粒径分类:
总悬浮颗粒物(TSP):粒径 < 100 μm
可吸入颗粒物(PM₁₀):粒径 < 10 μm,可进入呼吸道
细颗粒物(PM₂.₅):粒径 < 2.5 μm,可进入肺泡
超细颗粒物(UFP):粒径 < 0.1 μm,可进入血液循环
5.2 颗粒物来源
5.2.1 灰分颗粒
煤和生物质燃烧产生的无机灰分颗粒:
- 飞灰:随烟气排出的细小灰分颗粒
- 底灰:炉膛底部排出的大颗粒灰分
灰分颗粒的形成过程:
- 矿物颗粒在高温下熔融或部分熔融
- 挥发分释放导致颗粒破碎
- 熔融颗粒碰撞聚并
- 烟气冷却过程中凝固形成玻璃质颗粒
5.2.2 碳烟(Soot)
碳烟是碳氢燃料不完全燃烧产生的碳质颗粒,主要成分为碳(>90%)和少量氢。
碳烟生成机理:
- 成核:多环芳烃(PAH)通过碰撞和化学反应形成初始颗粒
- 表面生长:碳烟颗粒表面通过乙炔(C₂H₂)等碳源添加碳原子
- 聚并:小颗粒碰撞聚并形成大颗粒
- 氧化:碳烟颗粒被O₂、OH等氧化剂氧化消耗
碳烟生成模型:
经验模型(如Khan-Greeves模型):
d Y s d t = A ⋅ p 0.5 ⋅ exp ( − E a R T ) ⋅ [ fuel ] n − B ⋅ Y s ⋅ p O 2 p \frac{dY_s}{dt} = A \cdot p^{0.5} \cdot \exp\left(-\frac{E_a}{RT}\right) \cdot [\text{fuel}]^n - B \cdot Y_s \cdot \frac{p_{\text{O}_2}}{p} dtdYs=A⋅p0.5⋅exp(−RTEa)⋅[fuel]n−B⋅Ys⋅ppO2
其中:
- Y_s:碳烟质量分数
- A, B:模型常数
- p:压力
- p_O₂:氧分压
详细模型(如PAH生长模型):
- 跟踪PAH物种浓度
- 考虑PAH成核、生长、氧化全过程
- 计算量大,但更准确
5.2.3 硫酸盐和重金属
- 硫酸盐:SO₃与碱金属反应生成硫酸盐颗粒
- 重金属:燃料中的重金属(Hg、Pb、As等)挥发后冷凝形成颗粒
5.3 颗粒物形成动力学
5.3.1 成核
成核速率可以用经典成核理论描述:
J = N 1 2 σ π m 1 exp ( − 16 π σ 3 v 1 2 3 ( k B T ) 3 ln 2 S ) J = N_1 \sqrt{\frac{2\sigma}{\pi m_1}} \exp\left(-\frac{16\pi\sigma^3 v_1^2}{3(k_BT)^3 \ln^2 S}\right) J=N1πm12σexp(−3(kBT)3ln2S16πσ3v12)
其中:
- J:成核速率
- N₁:单体浓度
- σ:表面张力
- m₁:单体质量
- v₁:单体体积
- S:过饱和度
5.3.2 表面生长
表面生长速率:
d m d t = π d p 2 ⋅ ρ s ⋅ k s ⋅ [ C 2 H 2 ] \frac{dm}{dt} = \pi d_p^2 \cdot \rho_s \cdot k_s \cdot [\text{C}_2\text{H}_2] dtdm=πdp2⋅ρs⋅ks⋅[C2H2]
其中:
- d_p:颗粒直径
- ρ_s:碳烟密度
- k_s:表面生长速率常数
5.3.3 聚并
聚并导致颗粒数减少、粒径增大:
d n d t = − 1 2 β n 2 \frac{dn}{dt} = -\frac{1}{2} \beta n^2 dtdn=−21βn2
其中:
- n:颗粒数浓度
- β:聚并系数
5.3.4 氧化
碳烟氧化速率:
d m d t = − π d p 2 ⋅ ρ s ⋅ k o x ⋅ [ O 2 ] 或 [ OH ] \frac{dm}{dt} = -\pi d_p^2 \cdot \rho_s \cdot k_{ox} \cdot [\text{O}_2] \text{ 或 } [\text{OH}] dtdm=−πdp2⋅ρs⋅kox⋅[O2] 或 [OH]
常用氧化速率表达式(Nagle-Strickland-Constable模型):
k o x = ( k A p O 2 1 + k Z p O 2 ) x + k B p O 2 ( 1 − x ) k_{ox} = \left(\frac{k_A p_{\text{O}_2}}{1 + k_Z p_{\text{O}_2}}\right)x + k_B p_{\text{O}_2}(1-x) kox=(1+kZpO2kApO2)x+kBpO2(1−x)
其中x是活性表面位点比例。
5.4 粒径分布模型
5.4.1 对数正态分布
颗粒物粒径通常符合对数正态分布:
n ( d p ) = N 2 π d p ln σ g exp ( − ( ln d p − ln d p g ) 2 2 ln 2 σ g ) n(d_p) = \frac{N}{\sqrt{2\pi} d_p \ln\sigma_g} \exp\left(-\frac{(\ln d_p - \ln d_{pg})^2}{2\ln^2\sigma_g}\right) n(dp)=2πdplnσgNexp(−2ln2σg(lndp−lndpg)2)
其中:
- N:总颗粒数
- d_pg:几何平均直径
- σ_g:几何标准偏差
5.4.2 矩方法
矩方法通过求解颗粒分布的各阶矩来简化计算:
M k = ∫ 0 ∞ d p k n ( d p ) d d p M_k = \int_0^{\infty} d_p^k n(d_p) dd_p Mk=∫0∞dpkn(dp)ddp
常用的是M₀(颗粒数)、M₁(总直径)、M₂(总表面积)、M₃(总体积)。
5.5 颗粒物控制技术
5.5.1 机械除尘
- 重力除尘器:利用重力沉降,效率低,用于预处理
- 惯性除尘器:利用惯性分离,效率中等
- 旋风除尘器:利用离心力分离,效率80-90%
5.5.2 电除尘(ESP)
利用高压电场使颗粒带电,然后在集尘极被捕集:
- 除尘效率:99%以上
- 可捕集PM₂.₅和亚微米颗粒
- 能耗相对较低
5.5.3 袋式除尘
利用滤袋过滤烟气中的颗粒:
- 除尘效率:99.9%以上
- 对细颗粒捕集效果好
- 运行阻力较大
5.5.4 湿法除尘
利用液体(通常是水)洗涤烟气:
- 可同时去除颗粒物和SO₂
- 适用于高温高湿烟气
- 产生废水需要处理
6. 污染物控制技术
6.1 低NOx燃烧技术
6.1.1 空气分级燃烧
将燃烧所需空气分两级或多级送入:
- 主燃区:富燃燃烧,抑制NOx生成
- 燃尽区:补充空气,完成燃烧
NOx降低幅度:30-50%
6.1.2 燃料分级燃烧(再燃)
在主燃区后喷入再燃燃料(通常是天然气或煤粉):
- 创造还原性气氛
- 还原已生成的NOx
- 再燃燃料比例:10-25%
NOx降低幅度:50-70%
6.1.3 烟气再循环(FGR)
将部分烟气返回燃烧区:
- 降低火焰温度,抑制热力型NOx
- 降低氧浓度,减缓NOx生成
NOx降低幅度:20-50%
6.1.4 低NOx燃烧器
通过特殊设计实现低NOx燃烧:
- 旋流燃烧器:强化混合,缩短高温停留时间
- 分级燃烧器:实现空气或燃料分级
- 富燃-淬熄-贫燃( RQL)燃烧器:航空发动机常用
6.2 后处理技术
6.2.1 选择性催化还原(SCR)
在催化剂作用下,氨选择性还原NOx:
- 反应温度:300-400°C
- 脱硝效率:90%以上
- 氨逃逸:❤️ ppm
催化剂类型:
- 钒基催化剂(V₂O₅-WO₃/TiO₂)
- 沸石催化剂(ZSM-5、β-沸石)
- 贵金属催化剂(Pt、Pd)
6.2.2 选择性非催化还原(SNCR)
在无催化剂条件下,氨或尿素还原NOx:
- 反应温度:850-1100°C
- 脱硝效率:30-50%
- 投资成本低于SCR
6.2.3 联合脱硝技术
SNCR-SCR联合:
- SNCR作为预处理,降低SCR负荷
- 减少催化剂用量
- 提高整体脱硝效率
低NOx燃烧+SCR:
- 低NOx燃烧降低初始NOx浓度
- SCR深度脱硝
- 实现超低排放(NOx < 50 mg/m³)
6.3 多污染物协同控制
6.3.1 活性炭/焦吸附
活性炭或活性焦可同时吸附多种污染物:
- 脱除SO₂、NOx、Hg、二噁英等
- 再生后可重复使用
- 适用于小型锅炉和垃圾焚烧
6.3.2 臭氧氧化
利用臭氧将NO氧化为易溶的高价氮氧化物:
NO + O 3 → NO 2 + O 2 \text{NO} + \text{O}_3 \rightarrow \text{NO}_2 + \text{O}_2 NO+O3→NO2+O2
NO 2 + O 3 → N 2 O 5 + O 2 \text{NO}_2 + \text{O}_3 \rightarrow \text{N}_2\text{O}_5 + \text{O}_2 NO2+O3→N2O5+O2
然后在湿法脱硫系统中脱除。
6.3.3 电子束法
利用电子束辐射烟气,产生自由基氧化污染物:
- 同时脱除SO₂和NOx
- 副产物可作肥料
- 能耗较高,应用受限
7. 排放预测模型
7.1 零维模型
7.1.1 化学平衡模型
假设燃烧达到化学平衡,计算平衡产物组成:
min G = ∑ i n i μ i \min G = \sum_i n_i \mu_i minG=i∑niμi
约束条件:
- 元素守恒
- 质量守恒
- 能量守恒
适用于估算理论最低排放水平。
7.1.2 反应器模型
充分搅拌反应器(PSR):
d n i d t = n ˙ i , in − n ˙ i , out + V ⋅ ω ˙ i = 0 \frac{dn_i}{dt} = \dot{n}_{i,\text{in}} - \dot{n}_{i,\text{out}} + V \cdot \dot{\omega}_i = 0 dtdni=n˙i,in−n˙i,out+V⋅ω˙i=0
适用于模拟燃烧室中的充分混合区域。
柱塞流反应器(PFR):
d n i d x = A ⋅ ω ˙ i \frac{dn_i}{dx} = A \cdot \dot{\omega}_i dxdni=A⋅ω˙i
适用于模拟一维流动和反应。
7.2 一维模型
7.2.1 火焰模型
求解一维层流火焰方程:
连续性方程:
m ˙ = ρ u A = const \dot{m} = \rho u A = \text{const} m˙=ρuA=const
能量方程:
m ˙ d T d x − d d x ( λ d T d x ) + ∑ i ρ Y i V i c p , i d T d x + ∑ i h i ω ˙ i W i = 0 \dot{m} \frac{dT}{dx} - \frac{d}{dx}\left(\lambda \frac{dT}{dx}\right) + \sum_i \rho Y_i V_i c_{p,i} \frac{dT}{dx} + \sum_i h_i \dot{\omega}_i W_i = 0 m˙dxdT−dxd(λdxdT)+i∑ρYiVicp,idxdT+i∑hiω˙iWi=0
组分方程:
m ˙ d Y i d x + d d x ( ρ Y i V i ) − ω ˙ i W i = 0 \dot{m} \frac{dY_i}{dx} + \frac{d}{dx}(\rho Y_i V_i) - \dot{\omega}_i W_i = 0 m˙dxdYi+dxd(ρYiVi)−ω˙iWi=0
可预测火焰中NOx、CO等污染物的生成分布。
7.3 CFD耦合模型
7.3.1 湍流燃烧模型
涡耗散模型(EDM):
ω ˙ fuel = A ρ ε k min ( Y fuel , Y ox s ) \dot{\omega}_{\text{fuel}} = A \rho \frac{\varepsilon}{k} \min\left(Y_{\text{fuel}}, \frac{Y_{\text{ox}}}{s}\right) ω˙fuel=Aρkεmin(Yfuel,sYox)
假设反应速率由混合控制,适用于快速化学反应。
火焰面模型:
在混合分数空间求解标量输运:
ρ ∂ ϕ ∂ t + ρ u ∂ ϕ ∂ x = ∂ ∂ x ( ρ D ∂ ϕ ∂ x ) + ω ˙ ϕ \rho \frac{\partial \phi}{\partial t} + \rho u \frac{\partial \phi}{\partial x} = \frac{\partial}{\partial x}\left(\rho D \frac{\partial \phi}{\partial x}\right) + \dot{\omega}_\phi ρ∂t∂ϕ+ρu∂x∂ϕ=∂x∂(ρD∂x∂ϕ)+ω˙ϕ
适用于非预混火焰。
7.3.2 污染物后处理模型
NOx后处理模型:
在流场计算完成后,基于温度和组分场计算NOx生成:
d [ NO ] d t = f ( T , [ O 2 ] , [ N 2 ] , τ ) \frac{d[\text{NO}]}{dt} = f(T, [\text{O}_2], [\text{N}_2], \tau) dtd[NO]=f(T,[O2],[N2],τ)
采用"冻结流"假设,即NO生成不影响主燃烧过程。
碳烟模型:
求解碳烟输运方程:
∂ ρ Y s ∂ t + ∇ ⋅ ( ρ u Y s ) = ∇ ⋅ ( ρ D ∇ Y s ) + S s \frac{\partial \rho Y_s}{\partial t} + \nabla \cdot (\rho u Y_s) = \nabla \cdot (\rho D \nabla Y_s) + S_s ∂t∂ρYs+∇⋅(ρuYs)=∇⋅(ρD∇Ys)+Ss
其中S_s是碳烟源项(成核+生长-氧化)。
7.4 机器学习模型
7.4.1 代理模型
使用神经网络等机器学习方法建立排放预测代理模型:
输入参数:
- 燃料性质(热值、组分)
- 运行参数(负荷、空燃比)
- 设计参数(燃烧器类型、尺寸)
输出:
- NOx、CO、SOx、颗粒物排放浓度
优势:
- 计算速度快(毫秒级)
- 可用于实时优化
- 可嵌入控制系统
7.4.2 模型训练
训练数据来源于:
- 实验测量
- 详细CFD计算
- 文献数据
常用算法:
- 人工神经网络(ANN)
- 支持向量机(SVM)
- 随机森林(RF)
- 高斯过程回归(GPR)
8. Python仿真实现
8.1 热力型NOx计算
import numpy as np
import matplotlib.pyplot as plt
from scipy.integrate import odeint
# 设置中文字体
plt.rcParams['font.size'] = 10
# 物理常数
R = 8.314 # J/(mol·K)
# Zeldovich机理速率常数 (cm^3/(mol·s))
def k1(T):
"""O + N2 -> NO + N"""
return 1.8e14 * np.exp(-38370 / T)
def k2(T):
"""N + O2 -> NO + O"""
return 1.8e10 * T * np.exp(-4680 / T)
def k3(T):
"""N + OH -> NO + H"""
return 7.1e13 * np.exp(-450 / T)
def k1b(T):
"""NO + N -> O + N2 (逆反应)"""
return 3.8e12 * np.exp(-425 / T)
# 平衡常数
def K_NO(T):
"""NO生成反应平衡常数"""
return 4.0 * np.exp(-21650 / T)
# 热力型NOx生成速率
def thermal_NO_rate(T, O2, N2, NO, O, OH):
"""
计算热力型NOx生成速率
单位: mol/(cm^3·s)
"""
# 使用准稳态近似
# 简化模型:d[NO]/dt = 2*k1*[O]*[N2]
# O原子平衡浓度(来自O2解离)
O_eq = 3.0e16 * O2**0.5 * np.exp(-27100 / T) # 近似表达式
# NO生成速率
if NO < 1e-10: # 初始阶段
dNO_dt = 2 * k1(T) * O_eq * N2 * 1e-6 # 转换为mol/(cm^3·s)
else:
# 考虑逆反应
K = K_NO(T)
dNO_dt = 2 * k1(T) * O_eq * N2 * (1 - NO**2 / (K * O2 * N2)) * 1e-6
return max(0, dNO_dt)
# 计算NOppm随时间变化
def calculate_NO_history(T, O2_frac, N2_frac, P=1.0, t_max=1.0):
"""
计算NO浓度随时间变化
T: 温度 (K)
O2_frac: O2摩尔分数
N2_frac: N2摩尔分数
P: 压力 (atm)
t_max: 最大时间 (s)
"""
# 总浓度 (mol/cm^3)
C_total = P * 1.013e5 / (R * T) * 1e-6 # mol/cm^3
O2 = O2_frac * C_total
N2 = N2_frac * C_total
# 时间数组
t = np.linspace(0, t_max, 1000)
# 求解ODE
def dNO_dt(NO, t):
O_eq = 3.0e16 * O2**0.5 * np.exp(-27100 / T) * 1e-6 # mol/cm^3
rate = 2 * k1(T) * O_eq * N2
# 考虑平衡限制
K = K_NO(T)
if NO > 0 and O2 > 0 and N2 > 0:
rate *= max(0, 1 - NO**2 / (K * O2 * N2))
return rate
NO = odeint(dNO_dt, 0, t)
# 转换为ppm
NO_ppm = NO / C_total * 1e6
return t, NO_ppm.flatten()
# 实验1: 温度对热力型NOx的影响
print("=" * 60)
print("实验1: 温度对热力型NOx生成的影响")
print("=" * 60)
temperatures = np.linspace(1500, 2500, 11)
NO_final = []
fig, axes = plt.subplots(2, 2, figsize=(12, 10))
# 计算不同温度下的NO生成
for T in temperatures[::2]: # 每隔一个温度计算
t, NO_ppm = calculate_NO_history(T, 0.05, 0.75, t_max=2.0)
axes[0, 0].semilogy(t, NO_ppm, label=f'T={T:.0f}K')
NO_final.append(NO_ppm[-1])
axes[0, 0].set_xlabel('Time (s)')
axes[0, 0].set_ylabel('NO Concentration (ppm)')
axes[0, 0].set_title('Thermal NO Formation at Different Temperatures')
axes[0, 0].legend()
axes[0, 0].grid(True, alpha=0.3)
# 最终NO浓度vs温度
axes[0, 1].semilogy(temperatures,
[calculate_NO_history(T, 0.05, 0.75, t_max=2.0)[1][-1]
for T in temperatures],
'ro-', linewidth=2, markersize=8)
axes[0, 1].axvline(x=1800, color='g', linestyle='--', label='Typical threshold (1800K)')
axes[0, 1].set_xlabel('Temperature (K)')
axes[0, 1].set_ylabel('Final NO Concentration (ppm)')
axes[0, 1].set_title('Temperature Effect on Thermal NOx')
axes[0, 1].legend()
axes[0, 1].grid(True, alpha=0.3)
print("\n温度对热力型NOx的影响:")
for T in [1600, 1800, 2000, 2200, 2400]:
_, NO_ppm = calculate_NO_history(T, 0.05, 0.75, t_max=2.0)
print(f" T = {T}K: NO = {NO_ppm[-1]:.2f} ppm")
plt.tight_layout()
plt.savefig('exp1_thermal_NO_temperature.png', dpi=150, bbox_inches='tight')
print("\n结果已保存至: exp1_thermal_NO_temperature.png")
plt.close()
8.2 燃料型NOx计算
# 实验2: 燃料型NOx生成模型
print("\n" + "=" * 60)
print("实验2: 燃料型NOx生成模型")
print("=" * 60)
def fuel_NOx_model(N_fuel, T, phi, tau, beta=0.7, gamma=0.35, delta=0.2):
"""
燃料型NOx生成模型
参数:
N_fuel: 燃料氮含量 (wt%)
T: 温度 (K)
phi: 当量比
tau: 停留时间 (s)
beta: 挥发分氮比例
gamma: 挥发分氮转化率
delta: 焦炭氮转化率
返回:
NOx_ppm: NOx浓度 (ppm, 干基6%O2)
"""
# 温度修正因子
f_T = np.exp(-(T - 1500)**2 / (2 * 200**2)) + 0.3
# 当量比修正因子 (富燃时转化率降低)
if phi > 1.0:
f_phi = np.exp(-0.5 * (phi - 1.0))
else:
f_phi = 1.0 - 0.2 * (1.0 - phi)
# 停留时间修正因子
f_tau = 1.0 - np.exp(-tau / 0.5)
# 总转化率
eta_vol = gamma * f_T * f_phi * f_tau
eta_char = delta * f_T * f_phi * f_tau
# 燃料氮向NOx的总转化率
eta_total = beta * eta_vol + (1 - beta) * eta_char
# 假设燃料完全燃烧,计算烟气量
# 简化:1kg燃料产生约10Nm³烟气
V_flue = 10.0 # Nm³/kg燃料
# 燃料氮质量 (kg/kg燃料)
m_N = N_fuel / 100.0
# NOx质量 (以NO₂计)
m_NOx = m_N * eta_total * (46/14) # NO₂分子量/氮原子量
# 转换为mg/Nm³
NOx_mg = m_NOx * 1e6 / V_flue # mg/Nm³
# 转换为ppm (干基6%O2)
# 假设烟气中NOx浓度与O2浓度关系
NOx_ppm = NOx_mg / 2.05 # 近似转换
return NOx_ppm, eta_total
# 计算不同条件下的燃料型NOx
N_fuel_values = [0.5, 1.0, 1.5, 2.0, 2.5] # 燃料氮含量 (%)
T_values = np.linspace(1200, 1800, 20) # 温度范围
phi_values = np.linspace(0.8, 1.4, 15) # 当量比范围
fig, axes = plt.subplots(2, 2, figsize=(12, 10))
# 燃料氮含量影响
NOx_vs_N = []
for N in N_fuel_values:
NOx, _ = fuel_NOx_model(N, 1500, 1.0, 1.0)
NOx_vs_N.append(NOx)
print(f" 燃料氮含量 {N}%: NOx = {NOx:.1f} ppm")
axes[0, 0].plot(N_fuel_values, NOx_vs_N, 'bo-', linewidth=2, markersize=10)
axes[0, 0].set_xlabel('Fuel Nitrogen Content (wt%)')
axes[0, 0].set_ylabel('NOx Emission (ppm)')
axes[0, 0].set_title('Effect of Fuel Nitrogen Content on NOx')
axes[0, 0].grid(True, alpha=0.3)
# 温度影响
NOx_vs_T = []
eta_vs_T = []
for T in T_values:
NOx, eta = fuel_NOx_model(1.5, T, 1.0, 1.0)
NOx_vs_T.append(NOx)
eta_vs_T.append(eta * 100)
axes[0, 1].plot(T_values, NOx_vs_T, 'r-', linewidth=2, label='NOx')
ax_twin = axes[0, 1].twinx()
ax_twin.plot(T_values, eta_vs_T, 'g--', linewidth=2, label='Conversion Rate')
axes[0, 1].set_xlabel('Temperature (K)')
axes[0, 1].set_ylabel('NOx Emission (ppm)', color='r')
ax_twin.set_ylabel('Conversion Rate (%)', color='g')
axes[0, 1].set_title('Effect of Temperature on Fuel NOx')
axes[0, 1].grid(True, alpha=0.3)
# 当量比影响
NOx_vs_phi = []
for phi in phi_values:
NOx, _ = fuel_NOx_model(1.5, 1500, phi, 1.0)
NOx_vs_phi.append(NOx)
axes[1, 0].plot(phi_values, NOx_vs_phi, 'mo-', linewidth=2, markersize=6)
axes[1, 0].axvline(x=1.0, color='k', linestyle='--', label='Stoichiometric')
axes[1, 0].set_xlabel('Equivalence Ratio')
axes[1, 0].set_ylabel('NOx Emission (ppm)')
axes[1, 0].set_title('Effect of Equivalence Ratio on Fuel NOx')
axes[1, 0].legend()
axes[1, 0].grid(True, alpha=0.3)
# 停留时间影响
tau_values = np.linspace(0.1, 3.0, 20)
NOx_vs_tau = []
for tau in tau_values:
NOx, _ = fuel_NOx_model(1.5, 1500, 1.0, tau)
NOx_vs_tau.append(NOx)
axes[1, 1].plot(tau_values, NOx_vs_tau, 'c-', linewidth=2)
axes[1, 1].set_xlabel('Residence Time (s)')
axes[1, 1].set_ylabel('NOx Emission (ppm)')
axes[1, 1].set_title('Effect of Residence Time on Fuel NOx')
axes[1, 1].grid(True, alpha=0.3)
plt.tight_layout()
plt.savefig('exp2_fuel_NOx_model.png', dpi=150, bbox_inches='tight')
print("\n结果已保存至: exp2_fuel_NOx_model.png")
plt.close()
8.3 碳烟生成模型
# 实验3: 碳烟生成模型
print("\n" + "=" * 60)
print("实验3: 碳烟生成模型")
print("=" * 60)
def soot_model(T, phi, C2H2, O2, OH, dt=0.001, t_max=0.1):
"""
简化碳烟生成模型
参数:
T: 温度 (K)
phi: 当量比
C2H2: 乙炔浓度 (mol/cm^3)
O2: O2浓度 (mol/cm^3)
OH: OH浓度 (mol/cm^3)
返回:
t: 时间数组
Y_soot: 碳烟质量分数历史
n_soot: 颗粒数浓度历史
d_p: 颗粒直径历史
"""
# 模型参数
A_nuc = 1.0e5 # 成核前置因子
Ea_nuc = 15000 # 成核活化能 (cal/mol)
A_sg = 1.0e4 # 表面生长前置因子
Ea_sg = 12000 # 表面生长活化能
A_coag = 1.0e-10 # 聚并系数
A_ox = 1.0e3 # 氧化前置因子
Ea_ox = 18000 # 氧化活化能
# 碳烟密度 (g/cm^3)
rho_s = 1.8
# 碳烟分子量 (g/mol)
W_s = 12.0
# 初始条件
Y_soot = 0.0 # 碳烟质量分数
n_soot = 1.0e6 # 颗粒数浓度 (#/cm^3)
# 时间积分
t = np.arange(0, t_max, dt)
Y_history = []
n_history = []
d_history = []
for ti in t:
# 成核速率 (#/cm^3/s)
k_nuc = A_nuc * np.exp(-Ea_nuc / (1.987 * T))
J_nuc = k_nuc * C2H2**2
# 表面生长速率 (g/cm^3/s)
k_sg = A_sg * np.exp(-Ea_sg / (1.987 * T))
# 聚并速率
beta_coag = A_coag * np.sqrt(T)
# 氧化速率 (g/cm^3/s)
k_ox = A_ox * np.exp(-Ea_ox / (1.987 * T))
# 计算颗粒直径
if n_soot > 1.0e3 and Y_soot > 1.0e-15:
d_p = (6 * Y_soot / (np.pi * rho_s * n_soot))**(1/3)
else:
d_p = 1.0e-7 # 初始直径 1 nm
# 碳烟质量变化
if Y_soot > 0 and n_soot > 1.0e3:
surface_area = np.pi * d_p**2 * n_soot
dY_dt = (k_sg * surface_area * C2H2 -
k_ox * surface_area * (O2 + OH*10))
else:
dY_dt = 0
# 颗粒数变化
dn_dt = J_nuc - 0.5 * beta_coag * n_soot**2
# 更新
Y_soot = max(0, Y_soot + dY_dt * dt)
n_soot = max(1.0e3, n_soot + dn_dt * dt)
Y_history.append(Y_soot)
n_history.append(n_soot)
d_history.append(d_p * 1e7) # 转换为nm
return t, np.array(Y_history), np.array(n_history), np.array(d_history)
# 计算不同当量比下的碳烟生成
phi_values = [1.5, 1.8, 2.0, 2.2, 2.5]
T = 1800 # K
fig, axes = plt.subplots(2, 2, figsize=(12, 10))
colors = plt.cm.viridis(np.linspace(0, 1, len(phi_values)))
for i, phi in enumerate(phi_values):
# 假设乙炔浓度随当量比增加
C2H2 = 1.0e-8 * phi**2
O2 = 1.0e-7 * max(0, 2.0 - phi) / phi
OH = 1.0e-9 * np.exp(-(phi - 1.0)**2)
t, Y_soot, n_soot, d_p = soot_model(T, phi, C2H2, O2, OH, t_max=0.05)
axes[0, 0].semilogy(t*1000, Y_soot*1e6, color=colors[i],
label=f'φ={phi}', linewidth=2)
axes[0, 1].semilogy(t*1000, n_soot, color=colors[i],
label=f'φ={phi}', linewidth=2)
axes[1, 0].plot(t*1000, d_p, color=colors[i],
label=f'φ={phi}', linewidth=2)
axes[0, 0].set_xlabel('Time (ms)')
axes[0, 0].set_ylabel('Soot Mass Fraction (ppm)')
axes[0, 0].set_title('Soot Mass Fraction Evolution')
axes[0, 0].legend()
axes[0, 0].grid(True, alpha=0.3)
axes[0, 1].set_xlabel('Time (ms)')
axes[0, 1].set_ylabel('Soot Number Density (#/cm³)')
axes[0, 1].set_title('Soot Number Density Evolution')
axes[0, 1].legend()
axes[0, 1].grid(True, alpha=0.3)
axes[1, 0].set_xlabel('Time (ms)')
axes[1, 0].set_ylabel('Particle Diameter (nm)')
axes[1, 0].set_title('Soot Particle Growth')
axes[1, 0].legend()
axes[1, 0].grid(True, alpha=0.3)
# 温度对碳烟生成的影响
T_values = np.linspace(1400, 2200, 20)
Y_soot_final = []
for T in T_values:
phi = 2.0
C2H2 = 1.0e-8 * phi**2
O2 = 1.0e-7 * max(0, 2.0 - phi) / phi
OH = 1.0e-9 * np.exp(-(phi - 1.0)**2)
t, Y_soot, n_soot, d_p = soot_model(T, phi, C2H2, O2, OH, t_max=0.05)
Y_soot_final.append(Y_soot[-1] * 1e6)
axes[1, 1].plot(T_values, Y_soot_final, 'r-', linewidth=2)
axes[1, 1].set_xlabel('Temperature (K)')
axes[1, 1].set_ylabel('Final Soot Mass Fraction (ppm)')
axes[1, 1].set_title('Temperature Effect on Soot Formation')
axes[1, 1].grid(True, alpha=0.3)
plt.tight_layout()
plt.savefig('exp3_soot_formation.png', dpi=150, bbox_inches='tight')
print("\n结果已保存至: exp3_soot_formation.png")
plt.close()
print("\n碳烟生成模型结果:")
print(f" 富燃条件(φ=2.0, T=1800K)下最终碳烟浓度: {Y_soot_final[8]:.2f} ppm")
8.4 综合排放预测
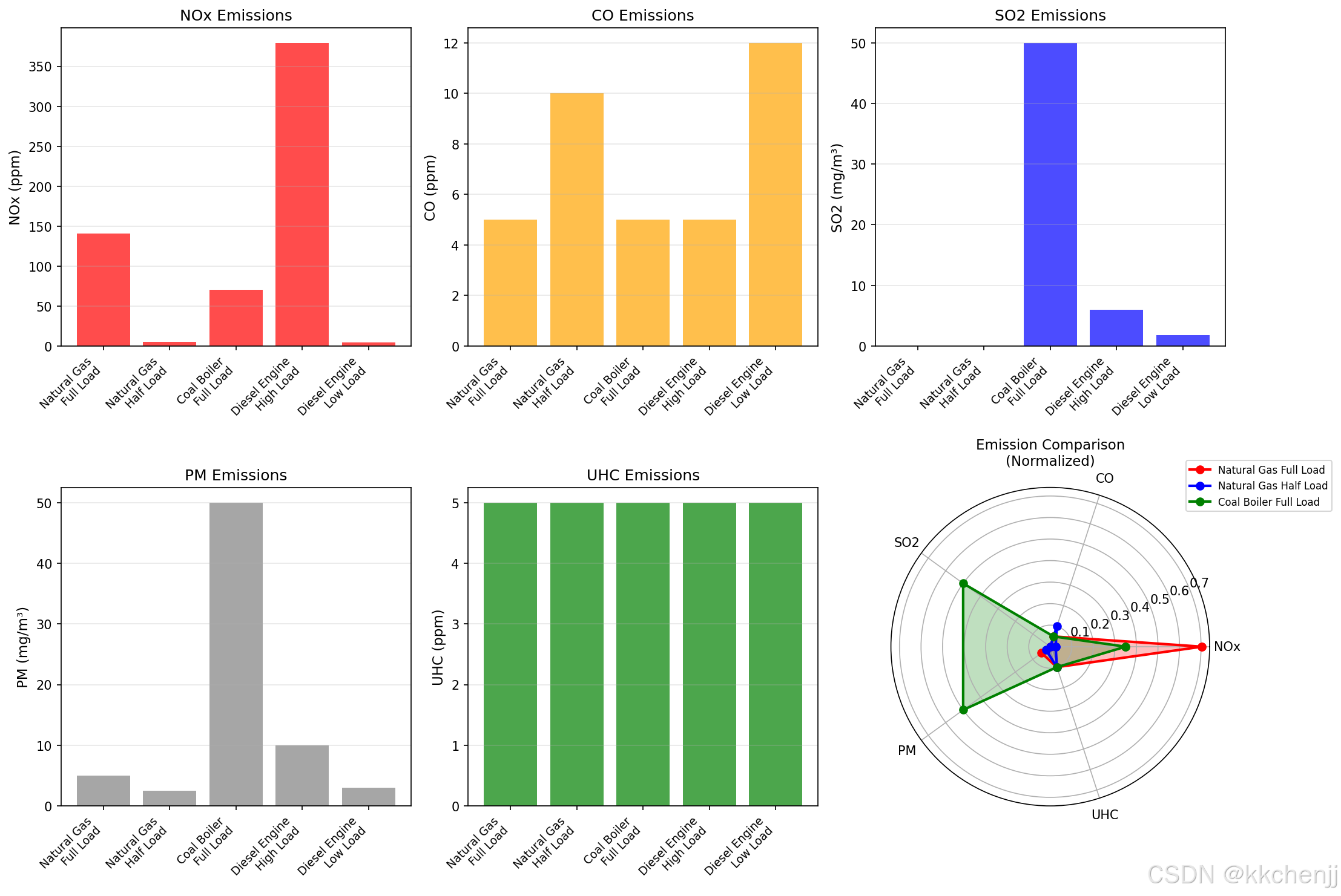
# 实验4: 综合排放预测模型
print("\n" + "=" * 60)
print("实验4: 燃烧污染物排放综合预测")
print("=" * 60)
def comprehensive_emission_model(fuel_type, load, excess_air, T_combustor,
N_content=0, S_content=0):
"""
综合燃烧污染物排放预测模型
参数:
fuel_type: 燃料类型 ('natural_gas', 'coal', 'diesel')
load: 负荷率 (0-1)
excess_air: 过量空气系数
T_combustor: 燃烧室温度 (K)
N_content: 燃料氮含量 (wt%)
S_content: 燃料硫含量 (wt%)
返回:
emissions: 污染物排放字典 (ppm或mg/m³)
"""
# 当量比
phi = 1.0 / excess_air
# O2浓度 (假设)
O2_conc = 0.21 * (excess_air - 1) / excess_air
# N2浓度
N2_conc = 0.79
emissions = {}
# ========== NOx预测 ==========
# 热力型NOx
if T_combustor > 1700:
thermal_NOx = 50 * np.exp((T_combustor - 1800) / 100) * load
else:
thermal_NOx = 5 * load
# 快速型NOx (富燃时增加)
if phi > 1.0:
prompt_NOx = 20 * (phi - 1.0) * load
else:
prompt_NOx = 5 * load
# 燃料型NOx
if N_content > 0:
fuel_NOx = N_content * 50 * load # 简化模型
else:
fuel_NOx = 0
emissions['NOx'] = thermal_NOx + prompt_NOx + fuel_NOx
# ========== CO预测 ==========
# 低温或富燃时CO增加
if T_combustor < 1500:
CO_factor = 1500 / T_combustor
else:
CO_factor = 1.0
if phi > 1.1:
CO_rich = 500 * (phi - 1.0)
else:
CO_rich = 10
emissions['CO'] = CO_rich * CO_factor * (1.5 - load) # 低负荷时CO高
# ========== SOx预测 ==========
if S_content > 0:
emissions['SO2'] = S_content * 20 * load # mg/m³
else:
emissions['SO2'] = 0
# ========== 颗粒物预测 ==========
if fuel_type == 'coal':
base_PM = 50 * load
elif fuel_type == 'diesel':
base_PM = 30 * load if phi > 1.2 else 10 * load
else:
base_PM = 5 * load
# 富燃增加碳烟
if phi > 1.2:
soot_PM = 100 * (phi - 1.2)**2 * load
else:
soot_PM = 0
emissions['PM'] = base_PM + soot_PM # mg/m³
# ========== UHC预测 ==========
if phi > 1.1 or T_combustor < 1400:
emissions['UHC'] = 50 * (phi - 0.9) * (1500 / max(T_combustor, 1200))
else:
emissions['UHC'] = 5
return emissions
# 模拟不同燃烧条件
conditions = [
{'name': '天然气锅炉-满负荷', 'fuel': 'natural_gas', 'load': 1.0,
'air': 1.2, 'T': 1900, 'N': 0, 'S': 0},
{'name': '天然气锅炉-半负荷', 'fuel': 'natural_gas', 'load': 0.5,
'air': 1.3, 'T': 1700, 'N': 0, 'S': 0},
{'name': '燃煤锅炉-满负荷', 'fuel': 'coal', 'load': 1.0,
'air': 1.25, 'T': 1650, 'N': 1.2, 'S': 2.5},
{'name': '柴油机-高负荷', 'fuel': 'diesel', 'load': 1.0,
'air': 1.5, 'T': 2000, 'N': 0.1, 'S': 0.3},
{'name': '柴油机-低负荷', 'fuel': 'diesel', 'load': 0.3,
'air': 2.0, 'T': 1500, 'N': 0.1, 'S': 0.3},
]
print("\n不同燃烧条件下的污染物排放预测:")
print("-" * 80)
print(f"{'工况':<20} {'NOx(ppm)':<12} {'CO(ppm)':<12} {'SO2(mg/m³)':<15} {'PM(mg/m³)':<12} {'UHC(ppm)':<10}")
print("-" * 80)
results = []
for cond in conditions:
emis = comprehensive_emission_model(
cond['fuel'], cond['load'], cond['air'],
cond['T'], cond['N'], cond['S']
)
results.append({
'name': cond['name'],
'NOx': emis['NOx'],
'CO': emis['CO'],
'SO2': emis['SO2'],
'PM': emis['PM'],
'UHC': emis['UHC']
})
print(f"{cond['name']:<20} {emis['NOx']:<12.1f} {emis['CO']:<12.1f} "
f"{emis['SO2']:<15.1f} {emis['PM']:<12.1f} {emis['UHC']:<10.1f}")
# 可视化
fig, axes = plt.subplots(2, 3, figsize=(15, 10))
names = [r['name'] for r in results]
x_pos = np.arange(len(names))
# NOx
axes[0, 0].bar(x_pos, [r['NOx'] for r in results], color='red', alpha=0.7)
axes[0, 0].set_xticks(x_pos)
axes[0, 0].set_xticklabels(names, rotation=45, ha='right')
axes[0, 0].set_ylabel('NOx (ppm)')
axes[0, 0].set_title('NOx Emissions')
axes[0, 0].grid(True, alpha=0.3, axis='y')
# CO
axes[0, 1].bar(x_pos, [r['CO'] for r in results], color='orange', alpha=0.7)
axes[0, 1].set_xticks(x_pos)
axes[0, 1].set_xticklabels(names, rotation=45, ha='right')
axes[0, 1].set_ylabel('CO (ppm)')
axes[0, 1].set_title('CO Emissions')
axes[0, 1].grid(True, alpha=0.3, axis='y')
# SO2
axes[0, 2].bar(x_pos, [r['SO2'] for r in results], color='blue', alpha=0.7)
axes[0, 2].set_xticks(x_pos)
axes[0, 2].set_xticklabels(names, rotation=45, ha='right')
axes[0, 2].set_ylabel('SO2 (mg/m³)')
axes[0, 2].set_title('SO2 Emissions')
axes[0, 2].grid(True, alpha=0.3, axis='y')
# PM
axes[1, 0].bar(x_pos, [r['PM'] for r in results], color='gray', alpha=0.7)
axes[1, 0].set_xticks(x_pos)
axes[1, 0].set_xticklabels(names, rotation=45, ha='right')
axes[1, 0].set_ylabel('PM (mg/m³)')
axes[1, 0].set_title('Particulate Matter Emissions')
axes[1, 0].grid(True, alpha=0.3, axis='y')
# UHC
axes[1, 1].bar(x_pos, [r['UHC'] for r in results], color='green', alpha=0.7)
axes[1, 1].set_xticks(x_pos)
axes[1, 1].set_xticklabels(names, rotation=45, ha='right')
axes[1, 1].set_ylabel('UHC (ppm)')
axes[1, 1].set_title('Unburned HC Emissions')
axes[1, 1].grid(True, alpha=0.3, axis='y')
# 雷达图 - 综合排放比较
ax_radar = axes[1, 2]
ax_radar.remove()
ax_radar = fig.add_subplot(2, 3, 6, projection='polar')
categories = ['NOx', 'CO', 'SO2', 'PM', 'UHC']
N = len(categories)
# 归一化数据
angles = [n / float(N) * 2 * np.pi for n in range(N)]
angles += angles[:1]
colors_radar = ['red', 'blue', 'green', 'orange', 'purple']
for i, cond in enumerate(conditions[:3]): # 只画前3个
emis = comprehensive_emission_model(
cond['fuel'], cond['load'], cond['air'],
cond['T'], cond['N'], cond['S']
)
values = [
emis['NOx'] / 200, # 归一化
emis['CO'] / 100,
emis['SO2'] / 100,
emis['PM'] / 100,
emis['UHC'] / 50
]
values += values[:1]
ax_radar.plot(angles, values, 'o-', linewidth=2,
label=cond['name'], color=colors_radar[i])
ax_radar.fill(angles, values, alpha=0.25, color=colors_radar[i])
ax_radar.set_xticks(angles[:-1])
ax_radar.set_xticklabels(categories)
ax_radar.set_title('Emission Comparison (Normalized)')
ax_radar.legend(loc='upper right', bbox_to_anchor=(1.3, 1.0))
plt.tight_layout()
plt.savefig('exp4_comprehensive_emissions.png', dpi=150, bbox_inches='tight')
print("\n结果已保存至: exp4_comprehensive_emissions.png")
plt.close()
print("\n综合排放预测结果分析:")
print(" 1. 天然气锅炉NOx主要来自热力型,温度控制是关键")
print(" 2. 燃煤锅炉燃料型NOx占主导,需考虑低氮燃烧+SCR")
print(" 3. 柴油机PM排放显著,需要颗粒物捕集器")
print(" 4. 低负荷运行CO和UHC排放增加")
8.5 控制技术效果评估
# 实验5: 污染物控制技术效果评估
print("\n" + "=" * 60)
print("实验5: 污染物控制技术效果评估")
print("=" * 60)
def evaluate_control_technologies(baseline_emissions, technologies):
"""
评估不同控制技术的效果
参数:
baseline_emissions: 基准排放字典
technologies: 控制技术列表,每项包含名称和脱除效率
返回:
控制后的排放字典
"""
results = {'Baseline': baseline_emissions.copy()}
current_emissions = baseline_emissions.copy()
for tech in technologies:
name = tech['name']
efficiency = tech['efficiency'] # 各污染物脱除效率字典
controlled = {}
for pollutant in current_emissions:
if pollutant in efficiency:
removal = efficiency[pollutant]
controlled[pollutant] = current_emissions[pollutant] * (1 - removal)
else:
controlled[pollutant] = current_emissions[pollutant]
results[name] = controlled.copy()
current_emissions = controlled.copy()
return results
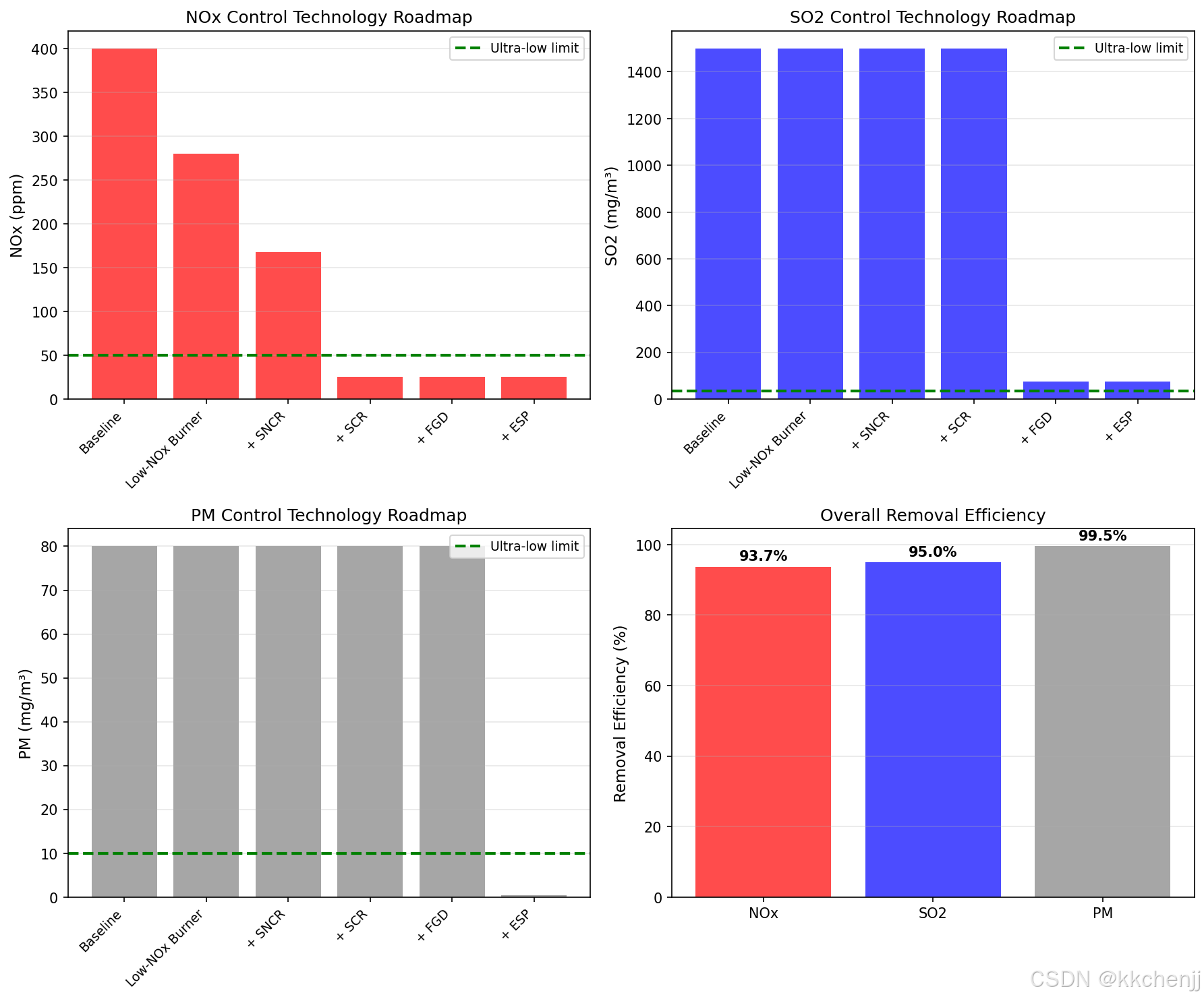
# 燃煤锅炉基准排放
baseline = {
'NOx': 400, # ppm
'SO2': 1500, # mg/m³
'PM': 80, # mg/m³
'CO': 50 # ppm
}
# 控制技术序列
technologies = [
{
'name': 'Low-NOx Burner',
'efficiency': {'NOx': 0.30}
},
{
'name': '+ SNCR',
'efficiency': {'NOx': 0.40}
},
{
'name': '+ SCR',
'efficiency': {'NOx': 0.85}
},
{
'name': '+ FGD',
'efficiency': {'SO2': 0.95}
},
{
'name': '+ ESP',
'efficiency': {'PM': 0.995}
}
]
control_results = evaluate_control_technologies(baseline, technologies)
# 可视化
fig, axes = plt.subplots(2, 2, figsize=(12, 10))
stages = list(control_results.keys())
x_pos = np.arange(len(stages))
# NOx控制效果
NOx_values = [control_results[s]['NOx'] for s in stages]
axes[0, 0].bar(x_pos, NOx_values, color='red', alpha=0.7)
axes[0, 0].axhline(y=50, color='g', linestyle='--', label='Ultra-low emission limit')
axes[0, 0].set_xticks(x_pos)
axes[0, 0].set_xticklabels(stages, rotation=45, ha='right')
axes[0, 0].set_ylabel('NOx (ppm)')
axes[0, 0].set_title('NOx Control Technology Roadmap')
axes[0, 0].legend()
axes[0, 0].grid(True, alpha=0.3, axis='y')
# SO2控制效果
SO2_values = [control_results[s]['SO2'] for s in stages]
axes[0, 1].bar(x_pos, SO2_values, color='blue', alpha=0.7)
axes[0, 1].axhline(y=35, color='g', linestyle='--', label='Ultra-low emission limit')
axes[0, 1].set_xticks(x_pos)
axes[0, 1].set_xticklabels(stages, rotation=45, ha='right')
axes[0, 1].set_ylabel('SO2 (mg/m³)')
axes[0, 1].set_title('SO2 Control Technology Roadmap')
axes[0, 1].legend()
axes[0, 1].grid(True, alpha=0.3, axis='y')
# PM控制效果
PM_values = [control_results[s]['PM'] for s in stages]
axes[1, 0].bar(x_pos, PM_values, color='gray', alpha=0.7)
axes[1, 0].axhline(y=10, color='g', linestyle='--', label='Ultra-low emission limit')
axes[1, 0].set_xticks(x_pos)
axes[1, 0].set_xticklabels(stages, rotation=45, ha='right')
axes[1, 0].set_ylabel('PM (mg/m³)')
axes[1, 0].set_title('PM Control Technology Roadmap')
axes[1, 0].legend()
axes[1, 0].grid(True, alpha=0.3, axis='y')
# 综合脱除效率
pollutants = ['NOx', 'SO2', 'PM']
removal_efficiency = []
for p in pollutants:
initial = control_results['Baseline'][p]
final = control_results[stages[-1]][p]
removal = (initial - final) / initial * 100
removal_efficiency.append(removal)
axes[1, 1].bar(pollutants, removal_efficiency, color=['red', 'blue', 'gray'], alpha=0.7)
axes[1, 1].set_ylabel('Removal Efficiency (%)')
axes[1, 1].set_title('Overall Pollutant Removal Efficiency')
axes[1, 1].grid(True, alpha=0.3, axis='y')
for i, v in enumerate(removal_efficiency):
axes[1, 1].text(i, v + 1, f'{v:.1f}%', ha='center', va='bottom', fontweight='bold')
plt.tight_layout()
plt.savefig('exp5_control_technologies.png', dpi=150, bbox_inches='tight')
print("\n结果已保存至: exp5_control_technologies.png")
plt.close()
print("\n控制技术效果评估:")
print("-" * 60)
for stage in stages:
print(f"\n{stage}:")
for pollutant, value in control_results[stage].items():
print(f" {pollutant}: {value:.1f}")
8.6 排放法规符合性分析
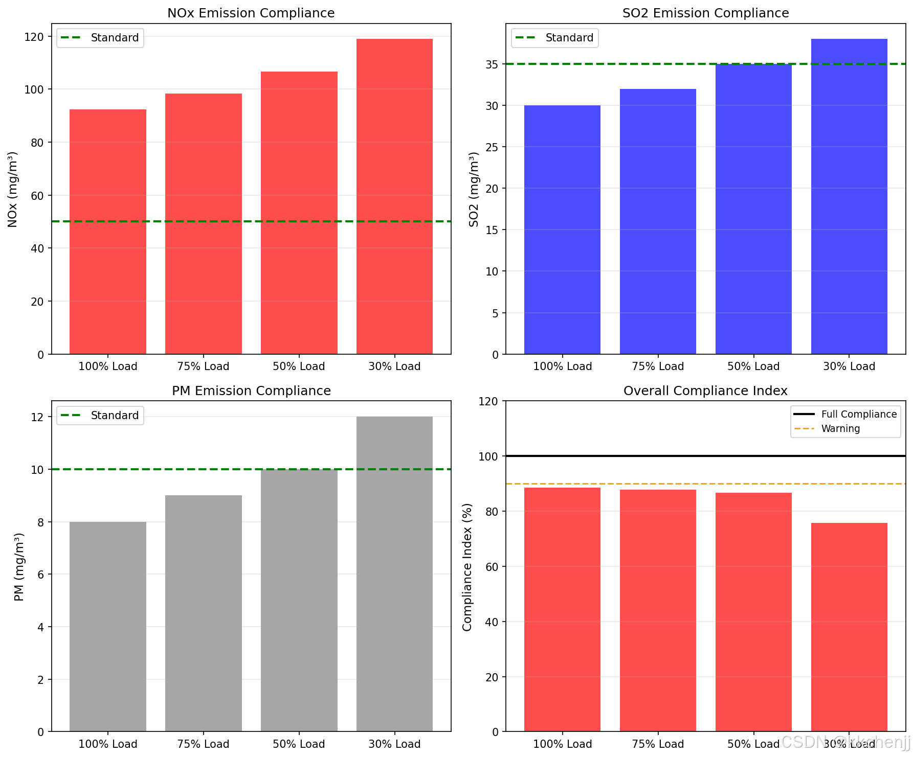
# 实验6: 排放法规符合性分析
print("\n" + "=" * 60)
print("实验6: 排放法规符合性分析")
print("=" * 60)
# 中国超低排放标准 (燃煤电厂)
ultra_low_standards = {
'NOx': 50, # mg/m³
'SO2': 35, # mg/m³
'PM': 10, # mg/m³
'Hg': 0.03 # mg/m³
}
# 不同工况下的排放
operating_conditions = [
{'name': '100% Load', 'NOx': 45, 'SO2': 30, 'PM': 8, 'Hg': 0.025},
{'name': '75% Load', 'NOx': 48, 'SO2': 32, 'PM': 9, 'Hg': 0.028},
{'name': '50% Load', 'NOx': 52, 'SO2': 35, 'PM': 10, 'Hg': 0.030},
{'name': '30% Load', 'NOx': 58, 'SO2': 38, 'PM': 12, 'Hg': 0.035},
]
# 单位转换 (ppm -> mg/m³ for NOx)
# NOx: 1 ppm ≈ 2.05 mg/m³ (标准状态)
for cond in operating_conditions:
cond['NOx_mg'] = cond['NOx'] * 2.05
fig, axes = plt.subplots(2, 2, figsize=(12, 10))
conditions_names = [c['name'] for c in operating_conditions]
x_pos = np.arange(len(conditions_names))
# NOx符合性
NOx_values = [c['NOx_mg'] for c in operating_conditions]
axes[0, 0].bar(x_pos, NOx_values, color='red', alpha=0.7)
axes[0, 0].axhline(y=ultra_low_standards['NOx'], color='g',
linestyle='--', linewidth=2, label='Standard (50 mg/m³)')
axes[0, 0].set_xticks(x_pos)
axes[0, 0].set_xticklabels(conditions_names)
axes[0, 0].set_ylabel('NOx (mg/m³)')
axes[0, 0].set_title('NOx Emission Compliance')
axes[0, 0].legend()
axes[0, 0].grid(True, alpha=0.3, axis='y')
# 标记超标
for i, v in enumerate(NOx_values):
if v > ultra_low_standards['NOx']:
axes[0, 0].text(i, v + 1, 'Non-compliant', ha='center',
color='red', fontsize=8, rotation=45)
# SO2符合性
SO2_values = [c['SO2'] for c in operating_conditions]
axes[0, 1].bar(x_pos, SO2_values, color='blue', alpha=0.7)
axes[0, 1].axhline(y=ultra_low_standards['SO2'], color='g',
linestyle='--', linewidth=2, label='Standard (35 mg/m³)')
axes[0, 1].set_xticks(x_pos)
axes[0, 1].set_xticklabels(conditions_names)
axes[0, 1].set_ylabel('SO2 (mg/m³)')
axes[0, 1].set_title('SO2 Emission Compliance')
axes[0, 1].legend()
axes[0, 1].grid(True, alpha=0.3, axis='y')
# PM符合性
PM_values = [c['PM'] for c in operating_conditions]
axes[1, 0].bar(x_pos, PM_values, color='gray', alpha=0.7)
axes[1, 0].axhline(y=ultra_low_standards['PM'], color='g',
linestyle='--', linewidth=2, label='Standard (10 mg/m³)')
axes[1, 0].set_xticks(x_pos)
axes[1, 0].set_xticklabels(conditions_names)
axes[1, 0].set_ylabel('PM (mg/m³)')
axes[1, 0].set_title('PM Emission Compliance')
axes[1, 0].legend()
axes[1, 0].grid(True, alpha=0.3, axis='y')
# 综合符合性指数
compliance_index = []
for cond in operating_conditions:
idx = 0
idx += min(1.0, ultra_low_standards['NOx'] / cond['NOx_mg'])
idx += min(1.0, ultra_low_standards['SO2'] / cond['SO2'])
idx += min(1.0, ultra_low_standards['PM'] / cond['PM'])
idx += min(1.0, ultra_low_standards['Hg'] / cond['Hg'])
compliance_index.append(idx / 4 * 100) # 百分比
colors_comp = ['green' if c >= 100 else 'orange' if c >= 90 else 'red'
for c in compliance_index]
axes[1, 1].bar(x_pos, compliance_index, color=colors_comp, alpha=0.7)
axes[1, 1].axhline(y=100, color='k', linestyle='-', linewidth=2, label='Full Compliance')
axes[1, 1].axhline(y=90, color='orange', linestyle='--', label='Warning Level')
axes[1, 1].set_xticks(x_pos)
axes[1, 1].set_xticklabels(conditions_names)
axes[1, 1].set_ylabel('Compliance Index (%)')
axes[1, 1].set_title('Overall Emission Compliance Index')
axes[1, 1].set_ylim([0, 120])
axes[1, 1].legend()
axes[1, 1].grid(True, alpha=0.3, axis='y')
plt.tight_layout()
plt.savefig('exp6_emission_compliance.png', dpi=150, bbox_inches='tight')
print("\n结果已保存至: exp6_emission_compliance.png")
plt.close()
print("\n排放法规符合性分析:")
print("-" * 60)
print(f"{'工况':<15} {'NOx':<12} {'SO2':<12} {'PM':<12} {'符合性':<10}")
print("-" * 60)
for i, cond in enumerate(operating_conditions):
status = '✓' if compliance_index[i] >= 100 else '✗'
print(f"{cond['name']:<15} {cond['NOx_mg']:<12.1f} {cond['SO2']:<12.1f} "
f"{cond['PM']:<12.1f} {status:<10}")
9. 工程应用案例
9.1 燃煤电厂超低排放改造
9.1.1 项目背景
某600MW燃煤电厂进行超低排放改造,目标达到:
- NOx ≤ 50 mg/m³
- SO₂ ≤ 35 mg/m³
- 烟尘 ≤ 10 mg/m³
9.1.2 改造方案
低NOx燃烧系统:
- 采用低NOx燃烧器,降低热力型NOx生成
- 空气分级燃烧,主燃区富燃运行
- 烟气再循环,降低火焰温度
SNCR+SCR联合脱硝:
- SNCR作为预处理,在850-1000°C区域喷入氨水
- SCR深度脱硝,使用V₂O₅-WO₃/TiO₂催化剂
- 脱硝效率达到90%以上
湿法脱硫:
- 石灰石-石膏湿法脱硫
- 脱硫效率95%以上
- 增设GGH消除白烟
除尘系统:
- 低低温电除尘器+湿式电除尘器
- 除尘效率99.9%以上
9.1.3 改造效果
改造后排放水平:
- NOx: 35-45 mg/m³
- SO₂: 20-30 mg/m³
- 烟尘: 3-8 mg/m³
达到超低排放要求,年减少污染物排放:
- NOx: 约800吨
- SO₂: 约3000吨
- 烟尘: 约400吨
9.2 燃气轮机低NOx燃烧器设计
9.2.1 技术挑战
燃气轮机燃烧室温度高达2000K以上,热力型NOx生成显著。主要挑战:
- 高温燃烧导致NOx排放高
- 燃烧稳定性与低排放的平衡
- 变工况运行的适应性
9.2.2 设计方案
干式低NOx(DLN)燃烧器:
- 燃料分级:主燃料+预混燃料
- 贫燃预混燃烧,降低火焰温度
- 旋流稳定火焰
燃烧模式:
- 启动:扩散燃烧模式,保证点火和稳定性
- 低负荷:部分预混模式
- 高负荷:完全预混模式,最低NOx排放
9.2.3 性能指标
- NOx排放: < 25 ppm (@15% O₂)
- CO排放: < 10 ppm
- 燃烧效率: > 99.9%
- 燃烧脉动: < 1% (RMS)
9.3 柴油机排放后处理系统
9.3.1 系统组成
氧化催化器(DOC):
- 氧化CO和HC
- 将NO氧化为NO₂(促进DPF再生)
- 贵金属催化剂(Pt/Pd)
颗粒物捕集器(DPF):
- 壁流式蜂窝陶瓷
- 捕集效率>95%
- 定期再生(被动+主动)
选择性催化还原(SCR):
- 尿素喷射系统
- 钒基或沸石催化剂
- NOx转化效率>90%
氨逃逸催化器(ASC):
- 氧化逃逸的NH₃
- 防止二次污染
9.3.2 国六排放标准达标
后处理系统使柴油机满足国六b标准:
- NOx: 0.06 g/kWh (相比国五降低80%)
- PM: 0.01 g/kWh (相比国五降低50%)
- PN: 6×10¹¹ #/kWh






AtomGit 是由开放原子开源基金会联合 CSDN 等生态伙伴共同推出的新一代开源与人工智能协作平台。平台坚持“开放、中立、公益”的理念,把代码托管、模型共享、数据集托管、智能体开发体验和算力服务整合在一起,为开发者提供从开发、训练到部署的一站式体验。
更多推荐


所有评论(0)