燃烧仿真-主题040-辐射传热模型
主题040:辐射传热模型
目录
1. 引言
1.1 辐射传热在燃烧中的重要性
辐射传热是燃烧过程中最重要的传热方式之一,在高温燃烧系统中往往占据主导地位。与导热和对流不同,辐射传热不需要介质,可以在真空中传播,且与温度的四次方成正比,因此在高温条件下变得极其重要。
燃烧系统中辐射传热的重要性体现在:
- 能量传递:在锅炉、炉窑等燃烧设备中,辐射传热占总传热量的70-90%
- 温度分布:辐射影响燃烧室内的温度分布,进而影响燃烧效率和污染物排放
- 火焰可视化:辐射是火焰发光的原因,也是火焰检测和诊断的基础
- 热应力:不均匀的辐射热流会导致设备热应力和变形
- 安全分析:辐射热流是火灾安全分析的关键参数
1.2 辐射传热的主要特点
与导热和对流的区别:
| 特性 | 导热 | 对流 | 辐射 |
|---|---|---|---|
| 传播介质 | 需要物质 | 需要流体 | 不需要介质 |
| 温度依赖 | 线性 | 线性 | 四次方 |
| 方向性 | 无 | 有 | 各向异性 |
| 波长特性 | 无 | 无 | 光谱分布 |
辐射传热的复杂性:
- 非线性:与温度的四次方成正比
- 光谱依赖性:不同波长有不同的辐射特性
- 方向性:辐射强度随方向变化
- 参与性介质:气体和颗粒吸收、发射和散射辐射
1.3 辐射传热模型的应用
工业应用:
- 锅炉和炉窑设计优化
- 燃烧室热负荷计算
- 火焰检测和监控
- 火灾安全评估
- 航天器热控设计
科学研究:
- 火焰结构和温度测量
- 燃烧诊断技术
- 新型燃烧技术开发
- 污染物生成预测
2. 热辐射基础理论
2.1 黑体辐射
2.1.1 黑体定义
黑体是理想化的辐射体,具有以下特性:
- 吸收所有入射辐射(吸收率α = 1)
- 在相同温度下发射最大的辐射能量
- 辐射特性仅取决于温度,与材料无关
2.1.2 Planck定律
Planck定律描述了黑体辐射的光谱分布:
E b λ ( T ) = 2 π h c 2 λ 5 1 exp ( h c λ k B T ) − 1 E_{b\lambda}(T) = \frac{2\pi h c^2}{\lambda^5} \frac{1}{\exp\left(\frac{hc}{\lambda k_B T}\right) - 1} Ebλ(T)=λ52πhc2exp(λkBThc)−11
其中:
- E b λ E_{b\lambda} Ebλ:光谱辐射力 (W/(m²·μm))
- h h h:Planck常数 (6.626×10⁻³⁴ J·s)
- c c c:光速 (2.998×10⁸ m/s)
- k B k_B kB:Boltzmann常数 (1.381×10⁻²³ J/K)
- λ \lambda λ:波长 (m)
- T T T:温度 (K)
Wien位移定律:
峰值波长与温度的关系:
KaTeX parse error: Undefined control sequence: \cdotp at position 1: \̲c̲d̲o̲t̲p̲
这表明温度越高,辐射峰值向短波方向移动。
Stefan-Boltzmann定律:
黑体总辐射力:
E b ( T ) = σ T 4 E_b(T) = \sigma T^4 Eb(T)=σT4
其中Stefan-Boltzmann常数:
KaTeX parse error: Undefined control sequence: \cdotp at position 1: \̲c̲d̲o̲t̲p̲
2.1.3 实际表面的辐射特性
发射率(ε):
实际表面的辐射力与黑体辐射力之比:
ε = E E b \varepsilon = \frac{E}{E_b} ε=EbE
发射率取决于:
- 材料种类
- 表面状况(粗糙度、氧化层)
- 温度
- 波长(光谱发射率)
- 方向(方向发射率)
Kirchhoff定律:
在热平衡条件下:
ε = α \varepsilon = \alpha ε=α
即发射率等于吸收率。对于灰体(光谱特性与波长无关),此关系在非平衡条件下也近似成立。
灰体近似:
当光谱发射率不随波长变化时,称为灰体:
ε λ = ε = const \varepsilon_\lambda = \varepsilon = \text{const} ελ=ε=const
这在工程计算中常用,可大大简化计算。
2.2 辐射强度与辐射力
2.2.1 辐射强度
辐射强度 I I I定义为单位面积、单位立体角、单位时间的辐射能量:
KaTeX parse error: Undefined control sequence: \cdotp at position 1: \̲c̲d̲o̲t̲p̲
对于黑体,辐射强度与方向无关(Lambert表面):
I b = σ T 4 π I_b = \frac{\sigma T^4}{\pi} Ib=πσT4
2.2.2 辐射力
半球辐射力:单位表面积向半球空间发射的总辐射功率:
E = ∫ 2 π I cos θ d Ω E = \int_{2\pi} I \cos\theta \, d\Omega E=∫2πIcosθdΩ
对于Lambert表面:
E = π I E = \pi I E=πI
光谱辐射力:单位波长间隔内的辐射力:
E λ = d E d λ E_\lambda = \frac{dE}{d\lambda} Eλ=dλdE
2.3 视角因子
2.3.1 定义
视角因子 F i j F_{ij} Fij表示从表面 i i i发射的辐射能直接到达表面 j j j的比例:
F i j = 1 A i ∫ A i ∫ A j cos θ i cos θ j π r 2 d A j d A i F_{ij} = \frac{1}{A_i} \int_{A_i} \int_{A_j} \frac{\cos\theta_i \cos\theta_j}{\pi r^2} dA_j dA_i Fij=Ai1∫Ai∫Ajπr2cosθicosθjdAjdAi
其中:
- A i A_i Ai, A j A_j Aj:表面面积
- r r r:两微元面之间的距离
- θ i \theta_i θi, θ j \theta_j θj:连线与法线的夹角
2.3.2 视角因子性质
互易关系:
A i F i j = A j F j i A_i F_{ij} = A_j F_{ji} AiFij=AjFji
完整性:
∑ j = 1 N F i j = 1 \sum_{j=1}^{N} F_{ij} = 1 j=1∑NFij=1
自视角因子:对于凸表面或平面, F i i = 0 F_{ii} = 0 Fii=0
2.3.3 常见几何形状的视角因子
平行平板:
F 12 = F 21 = 1 F_{12} = F_{21} = 1 F12=F21=1
同心球或无限长同心圆柱:
F 12 = 1 , F 21 = A 1 A 2 F_{12} = 1, \quad F_{21} = \frac{A_1}{A_2} F12=1,F21=A2A1
两个无限大平行平面:
F 12 = F 21 = 1 F_{12} = F_{21} = 1 F12=F21=1
微元面与矩形面:有专门的图表和公式可查
3. 辐射传递方程(RTE)
3.1 方程推导
3.1.1 辐射在介质中的传播
考虑沿方向 s s s传播的辐射,辐射强度的变化由以下因素引起:
吸收:介质吸收辐射能量
d I λ = − κ λ I λ d s dI_\lambda = -\kappa_\lambda I_\lambda ds dIλ=−κλIλds
其中 κ λ \kappa_\lambda κλ是光谱吸收系数。
发射:介质发射辐射能量
d I λ = κ λ I b λ d s dI_\lambda = \kappa_\lambda I_{b\lambda} ds dIλ=κλIbλds
根据Kirchhoff定律,发射系数等于吸收系数。
散射:辐射被散射到其他方向
d I λ = − σ s λ I λ d s dI_\lambda = -\sigma_{s\lambda} I_\lambda ds dIλ=−σsλIλds
其中 σ s λ \sigma_{s\lambda} σsλ是光谱散射系数。
入散射:从其他方向散射来的辐射
d I λ = σ s λ 4 π ∫ 4 π I λ ( s ′ ) Φ ( s ′ , s ) d Ω ′ d s dI_\lambda = \frac{\sigma_{s\lambda}}{4\pi} \int_{4\pi} I_\lambda(\mathbf{s}') \Phi(\mathbf{s}', \mathbf{s}) d\Omega' ds dIλ=4πσsλ∫4πIλ(s′)Φ(s′,s)dΩ′ds
其中 Φ \Phi Φ是散射相函数。
3.1.2 辐射传递方程
综合以上各项,得到辐射传递方程(RTE):
d I λ d s = − κ λ I λ ⏟ 吸收 + κ λ I b λ ⏟ 发射 − σ s λ I λ ⏟ 散射损失 + σ s λ 4 π ∫ 4 π I λ Φ d Ω ′ ⏟ 散射增益 \frac{dI_\lambda}{ds} = \underbrace{-\kappa_\lambda I_\lambda}_{\text{吸收}} + \underbrace{\kappa_\lambda I_{b\lambda}}_{\text{发射}} \underbrace{-\sigma_{s\lambda} I_\lambda}_{\text{散射损失}} + \underbrace{\frac{\sigma_{s\lambda}}{4\pi} \int_{4\pi} I_\lambda \Phi d\Omega'}_{\text{散射增益}} dsdIλ=吸收 −κλIλ+发射 κλIbλ散射损失 −σsλIλ+散射增益 4πσsλ∫4πIλΦdΩ′
定义消光系数:
β λ = κ λ + σ s λ \beta_\lambda = \kappa_\lambda + \sigma_{s\lambda} βλ=κλ+σsλ
和单次散射反照率:
ω λ = σ s λ β λ \omega_\lambda = \frac{\sigma_{s\lambda}}{\beta_\lambda} ωλ=βλσsλ
RTE可改写为:
d I λ d s = − β λ I λ + β λ ( 1 − ω λ ) I b λ + β λ ω λ 4 π ∫ 4 π I λ Φ d Ω ′ \frac{dI_\lambda}{ds} = -\beta_\lambda I_\lambda + \beta_\lambda (1-\omega_\lambda) I_{b\lambda} + \frac{\beta_\lambda \omega_\lambda}{4\pi} \int_{4\pi} I_\lambda \Phi d\Omega' dsdIλ=−βλIλ+βλ(1−ωλ)Ibλ+4πβλωλ∫4πIλΦdΩ′
3.1.3 方程的物理意义
RTE描述了辐射强度在参与性介质中的输运过程:
- 左边:辐射强度的空间变化率
- 右边第一项:消光(吸收+散射)导致的衰减
- 右边第二项:介质热发射
- 右边第三项:散射引起的强度变化
3.2 光学厚度与发射率
3.2.1 光学厚度
光学厚度定义为:
τ λ = ∫ 0 L β λ d s \tau_\lambda = \int_0^L \beta_\lambda ds τλ=∫0Lβλds
物理意义:无量纲路径长度,表征介质对辐射的阻挡能力。
分类:
- 光学薄: τ ≪ 1 \tau \ll 1 τ≪1,辐射几乎不受阻碍地通过
- 光学厚: τ ≫ 1 \tau \gg 1 τ≫1,辐射在短距离内被吸收
3.2.2 介质发射率
对于等温均匀介质层,光谱发射率:
ε λ = 1 − exp ( − τ λ ) \varepsilon_\lambda = 1 - \exp(-\tau_\lambda) ελ=1−exp(−τλ)
总发射率需要对光谱和方向积分。
3.3 边界条件
3.3.1 表面边界条件
在壁面处,出射辐射强度包括:
- 表面发射的辐射
- 入射辐射的反射
I λ + ( r w , s ) = ε λ ( r w ) I b λ ( T w ) + 1 − ε λ ( r w ) π ∫ n ⋅ s ′ < 0 I λ − ( r w , s ′ ) ∣ n ⋅ s ′ ∣ d Ω ′ I_\lambda^+(\mathbf{r}_w, \mathbf{s}) = \varepsilon_\lambda(\mathbf{r}_w) I_{b\lambda}(T_w) + \frac{1-\varepsilon_\lambda(\mathbf{r}_w)}{\pi} \int_{\mathbf{n}\cdot\mathbf{s}'<0} I_\lambda^-(\mathbf{r}_w, \mathbf{s}') |\mathbf{n}\cdot\mathbf{s}'| d\Omega' Iλ+(rw,s)=ελ(rw)Ibλ(Tw)+π1−ελ(rw)∫n⋅s′<0Iλ−(rw,s′)∣n⋅s′∣dΩ′
其中:
- I λ + I_\lambda^+ Iλ+:出射辐射强度( n ⋅ s > 0 \mathbf{n}\cdot\mathbf{s} > 0 n⋅s>0)
- I λ − I_\lambda^- Iλ−:入射辐射强度( n ⋅ s < 0 \mathbf{n}\cdot\mathbf{s} < 0 n⋅s<0)
- ε λ \varepsilon_\lambda ελ:表面光谱发射率
3.3.2 对称边界条件
在对称边界上:
I ( r , s ) = I ( r , s ′ ) I(\mathbf{r}, \mathbf{s}) = I(\mathbf{r}, \mathbf{s}') I(r,s)=I(r,s′)
其中 s ′ \mathbf{s}' s′是 s \mathbf{s} s关于对称面的镜像方向。
3.3.3 入口/出口边界条件
对于开放边界:
- 入口:给定入射辐射强度(通常来自环境)
- 出口:无入射辐射( I − = 0 I^- = 0 I−=0)
4. 气体辐射特性
4.1 气体辐射的特点
与固体和液体不同,气体辐射具有以下特点:
- 选择性:只在特定波段(谱带)发射和吸收辐射
- 体积性:辐射来自整个体积,不仅是表面
- 温度依赖性:辐射特性强烈依赖于温度
- 压力依赖性:高压下谱线展宽效应显著
4.2 主要辐射性气体
4.2.1 双原子分子
N₂和O₂:
- 对称分子,无永久偶极矩
- 辐射很弱,通常可忽略
CO:
- 在2.35 μm和4.67 μm有强吸收带
- 燃烧产物中的重要辐射气体
4.2.2 三原子分子
CO₂:
主要吸收/发射波段:
- 2.7 μm带(最强)
- 4.3 μm带(很重要)
- 15 μm带(重要)
H₂O:
主要吸收/发射波段:
- 1.38 μm和1.87 μm(较弱)
- 2.7 μm(强,与CO₂重叠)
- 6.3 μm(强)
4.2.3 碳氢化合物
CH₄:
- 3.3 μm和7.6 μm有强吸收带
- 天然气燃烧中的重要辐射气体
其他烃类:
- 在3.4 μm附近有C-H键振动带
4.3 谱带模型
4.3.1 谱线结构
分子辐射/吸收由大量离散的谱线组成,谱线位置由量子力学决定。
谱线展宽机制:
- 自然展宽:由Heisenberg不确定性原理决定
- Doppler展宽:由分子热运动引起,高温下显著
- 碰撞展宽(压力展宽):由分子间碰撞引起,高压下显著
Voigt线型:综合考虑Doppler和压力展宽:
ϕ V ( ν ) = ∫ − ∞ ∞ ϕ D ( ν ′ ) ϕ C ( ν − ν ′ ) d ν ′ \phi_V(\nu) = \int_{-\infty}^{\infty} \phi_D(\nu') \phi_C(\nu-\nu') d\nu' ϕV(ν)=∫−∞∞ϕD(ν′)ϕC(ν−ν′)dν′
4.3.2 窄谱带模型
当光谱分辨率足够高时,可以分辨单个谱线。常用模型:
Elsasser模型:假设等强度、等间距的谱线
统计模型(Goody模型):假设谱线位置和强度随机分布
窄谱带平均吸收率:
A ˉ = 1 − exp ( − W ˉ d ) \bar{A} = 1 - \exp\left(-\frac{\bar{W}}{d}\right) Aˉ=1−exp(−dWˉ)
其中 W ˉ \bar{W} Wˉ是平均等效线宽, d d d是平均谱线间距。
4.3.3 宽谱带模型
在宽光谱范围内平均,常用Edwards指数宽谱带模型:
W ˉ d = α ω [ ln ( τ 0 α / ω + 1 ) ] 1 / 2 \frac{\bar{W}}{d} = \frac{\alpha}{\omega} \left[\ln\left(\frac{\tau_0}{\alpha/\omega} + 1\right)\right]^{1/2} dWˉ=ωα[ln(α/ωτ0+1)]1/2
其中:
- α \alpha α:积分吸收率
- ω \omega ω:谱带宽
- τ 0 \tau_0 τ0:光学厚度
4.3.4 总发射率模型
Hottel图表:
基于实验数据的总发射率图表,考虑了:
- 气体温度
- 分压力
- 射线长度(平均光束长度)
Leckner模型:
经验关联式,将总发射率表示为:
ε g = exp ( a 0 + a 1 ln T + a 2 ln 2 T + ⋯ ) \varepsilon_g = \exp\left(a_0 + a_1 \ln T + a_2 \ln^2 T + \cdots\right) εg=exp(a0+a1lnT+a2ln2T+⋯)
系数 a i a_i ai是压力和射线长度的函数。
4.4 加权求和灰气体模型(WSGGM)
4.4.1 模型原理
将非灰气体近似为多个灰气体的加权和:
ε g ( T g , T b ) = ∑ i = 0 N a i ( T g ) [ 1 − exp ( − κ i p L ) ] \varepsilon_g(T_g, T_b) = \sum_{i=0}^{N} a_i(T_g) \left[1 - \exp(-\kappa_i p L)\right] εg(Tg,Tb)=i=0∑Nai(Tg)[1−exp(−κipL)]
其中:
- a i a_i ai:权重系数,与气体温度有关
- κ i \kappa_i κi:灰气体吸收系数
- p p p:气体分压
- L L L:射线长度
4.4.2 模型参数
对于CO₂-H₂O混合气体,Smith等人给出的四灰气体模型参数:
| i | a i a_i ai | κ i \kappa_i κi (atm⁻¹m⁻¹) |
|---|---|---|
| 0 | 0.350 | 0.0 (透明窗口) |
| 1 | 0.350 | 0.5 |
| 2 | 0.225 | 5.0 |
| 3 | 0.075 | 50.0 |
权重系数 a i a_i ai随温度变化。
4.4.3 模型优点
- 计算效率高,适合CFD耦合
- 精度较好,误差通常在10-20%
- 可以考虑气体温度与壁温不同的情况
5. 颗粒辐射特性
5.1 颗粒辐射的重要性
在燃烧系统中,颗粒(煤粉、炭、灰、碳烟)对辐射有重要影响:
- 增强辐射:颗粒通常是强辐射体,增强传热
- 改变光谱特性:颗粒辐射通常是连续的(灰体特性)
- 散射效应:颗粒散射辐射,改变辐射方向
5.2 单颗粒辐射特性
5.2.1 颗粒尺寸参数
定义无量纲尺寸参数:
x = π D λ x = \frac{\pi D}{\lambda} x=λπD
其中 D D D是颗粒直径, λ \lambda λ是辐射波长。
分类:
- x ≪ 1 x \ll 1 x≪1:Rayleigh散射区(小颗粒)
- x ≈ 1 x \approx 1 x≈1:Mie散射区(中等颗粒)
- x ≫ 1 x \gg 1 x≫1:几何光学区(大颗粒)
5.2.2 Mie理论
Mie理论是描述球形颗粒对电磁波散射的精确解。
消光效率:
Q e x t = Q a b s + Q s c a Q_{ext} = Q_{abs} + Q_{sca} Qext=Qabs+Qsca
其中:
- Q e x t Q_{ext} Qext:消光效率
- Q a b s Q_{abs} Qabs:吸收效率
- Q s c a Q_{sca} Qsca:散射效率
效率因子与尺寸参数的关系:
对于大颗粒( x ≫ 1 x \gg 1 x≫1):
Q a b s ≈ 1 , Q s c a ≈ 1 Q_{abs} \approx 1, \quad Q_{sca} \approx 1 Qabs≈1,Qsca≈1
对于小颗粒( x ≪ 1 x \ll 1 x≪1,Rayleigh区):
Q a b s ∝ x , Q s c a ∝ x 4 Q_{abs} \propto x, \quad Q_{sca} \propto x^4 Qabs∝x,Qsca∝x4
5.2.3 复折射率
颗粒的光学性质由复折射率描述:
m = n − i κ m = n - i\kappa m=n−iκ
其中:
- n n n:实部,折射率
- κ \kappa κ:虚部,吸收指数
复折射率与波长和材料有关。对于碳烟,典型值:
- n ≈ 1.5 − 2.0 n \approx 1.5-2.0 n≈1.5−2.0
- κ ≈ 0.5 − 1.0 \kappa \approx 0.5-1.0 κ≈0.5−1.0
5.3 颗粒云辐射特性
5.3.1 体积吸收和散射系数
对于颗粒云,定义体积系数:
体积吸收系数:
κ p = ∫ 0 ∞ N ( D ) π D 2 4 Q a b s ( D ) d D \kappa_p = \int_0^{\infty} N(D) \frac{\pi D^2}{4} Q_{abs}(D) dD κp=∫0∞N(D)4πD2Qabs(D)dD
体积散射系数:
σ s p = ∫ 0 ∞ N ( D ) π D 2 4 Q s c a ( D ) d D \sigma_{sp} = \int_0^{\infty} N(D) \frac{\pi D^2}{4} Q_{sca}(D) dD σsp=∫0∞N(D)4πD2Qsca(D)dD
其中 N ( D ) N(D) N(D)是颗粒数密度分布。
5.3.2 散射相函数
描述散射辐射的方向分布。常用近似:
各向同性散射:
Φ ( Θ ) = 1 \Phi(\Theta) = 1 Φ(Θ)=1
线性各向异性散射:
Φ ( Θ ) = 1 + g cos Θ \Phi(\Theta) = 1 + g \cos\Theta Φ(Θ)=1+gcosΘ
其中 g g g是不对称因子:
- g = 0 g = 0 g=0:各向同性
- g > 0 g > 0 g>0:前向散射为主
- g < 0 g < 0 g<0:后向散射为主
Henyey-Greenstein相函数:
Φ ( Θ ) = 1 − g 2 ( 1 + g 2 − 2 g cos Θ ) 3 / 2 \Phi(\Theta) = \frac{1-g^2}{(1+g^2-2g\cos\Theta)^{3/2}} Φ(Θ)=(1+g2−2gcosΘ)3/21−g2
5.3.3 碳烟辐射
碳烟是燃烧中最重要的颗粒辐射体:
碳烟体积分数:
f v = 碳烟质量 气体体积 × ρ 碳烟 f_v = \frac{\text{碳烟质量}}{\text{气体体积} \times \rho_{\text{碳烟}}} fv=气体体积×ρ碳烟碳烟质量
Rayleigh近似下的吸收系数:
κ s o o t = 36 π n k ( n 2 − k 2 + 2 ) 2 + 4 n 2 k 2 f v λ \kappa_{soot} = \frac{36\pi n k}{(n^2-k^2+2)^2 + 4n^2k^2} \frac{f_v}{\lambda} κsoot=(n2−k2+2)2+4n2k236πnkλfv
对于典型碳烟( n = 1.85 n=1.85 n=1.85, k = 0.48 k=0.48 k=0.48):
κ s o o t ≈ 8.7 f v λ \kappa_{soot} \approx 8.7 \frac{f_v}{\lambda} κsoot≈8.7λfv
这表明碳烟吸收与波长成反比(与黑体不同)。
6. 辐射传热数值方法
6.1 离散坐标法(DOM)
6.1.1 方法原理
将连续的方向空间离散为有限个方向:
∫ 4 π f ( s ) d Ω ≈ ∑ i = 1 M w i f ( s i ) \int_{4\pi} f(\mathbf{s}) d\Omega \approx \sum_{i=1}^{M} w_i f(\mathbf{s}_i) ∫4πf(s)dΩ≈i=1∑Mwif(si)
其中 s i \mathbf{s}_i si是离散方向, w i w_i wi是权重。
6.1.2 Sₙ方法
常用的方向离散方案,如S₂、S₄、S₆、S₈等。
S₂方法(2个方向):
- 方向: μ = ± 1 / 3 \mu = \pm 1/\sqrt{3} μ=±1/3
- 权重: w = 2 π w = 2\pi w=2π
S₄方法(12个方向):
- 更精确,但计算量更大
6.1.3 空间离散
沿每个离散方向求解RTE:
d I i d s = − β I i + β S i \frac{dI_i}{ds} = -\beta I_i + \beta S_i dsdIi=−βIi+βSi
其中 S i S_i Si是源项。
使用有限差分或有限体积法离散空间。
6.1.4 伪散射问题
DOM的主要缺点:
- 射线效应:离散方向导致的数值误差
- 假散射:数值扩散
改进方法:
- 增加离散方向数
- 使用有限体积法(FVM)
- 使用其他方法如FVM、MC等
6.2 有限体积法(FVM)
6.2.1 方法原理
与DOM类似,但在控制体积内对方向进行积分:
∫ Δ V ∫ Δ Ω d I d s d Ω d V = ⋯ \int_{\Delta V} \int_{\Delta \Omega} \frac{dI}{ds} d\Omega dV = \cdots ∫ΔV∫ΔΩdsdIdΩdV=⋯
6.2.2 优点
- 守恒性好
- 射线效应较弱
- 与CFD方法一致,便于耦合
6.2.3 实施步骤
- 将空间域划分为控制体积
- 将方向空间划分为立体角
- 对每个控制体积和立体角,建立离散方程
- 迭代求解
6.3 蒙特卡洛法(MC)
6.3.1 方法原理
通过模拟大量光子的随机传播来求解辐射传递:
- 从发射点发射光子
- 随机决定光子的传播方向
- 计算自由程,确定吸收或散射位置
- 如果散射,随机决定新方向
- 重复直到光子被吸收或离开系统
6.3.2 随机抽样
发射位置抽样:
根据发射功率分布:
P ( r ) = κ ( r ) I b ( r ) ∫ κ I b d V P(\mathbf{r}) = \frac{\kappa(\mathbf{r}) I_b(\mathbf{r})}{\int \kappa I_b dV} P(r)=∫κIbdVκ(r)Ib(r)
方向抽样:
对于各向同性发射:
θ = cos − 1 ( 1 − 2 R 1 ) , ϕ = 2 π R 2 \theta = \cos^{-1}(1-2R_1), \quad \phi = 2\pi R_2 θ=cos−1(1−2R1),ϕ=2πR2
其中 R 1 R_1 R1, R 2 R_2 R2是[0,1]区间均匀分布的随机数。
自由程抽样:
根据Beer定律:
s = − 1 β ln ( 1 − R ) s = -\frac{1}{\beta} \ln(1-R) s=−β1ln(1−R)
6.3.3 优点和缺点
优点:
- 可以处理复杂几何
- 可以处理各向异性散射
- 可以处理光谱特性
- 并行性好
缺点:
- 统计噪声
- 计算量大
- 收敛慢
6.4 其他方法
6.4.1 球谐函数法(Pₙ)
将辐射强度展开为球谐函数的级数:
I ( r , s ) = ∑ l = 0 N ∑ m = − l l I l m ( r ) Y l m ( s ) I(\mathbf{r}, \mathbf{s}) = \sum_{l=0}^{N} \sum_{m=-l}^{l} I_l^m(\mathbf{r}) Y_l^m(\mathbf{s}) I(r,s)=l=0∑Nm=−l∑lIlm(r)Ylm(s)
对于一维问题,简化为P₁近似:
I = 1 4 π ( G + 3 q ⋅ s ) I = \frac{1}{4\pi}(G + 3\mathbf{q} \cdot \mathbf{s}) I=4π1(G+3q⋅s)
其中 G G G是入射辐射, q \mathbf{q} q是辐射热流。
6.4.2 扩散近似
光学厚介质的近似:
q = − 1 3 β ∇ G \mathbf{q} = -\frac{1}{3\beta} \nabla G q=−3β1∇G
类似于Fourier导热定律。
6.4.3 光学薄近似
光学薄介质中,忽略自吸收:
∇ ⋅ q = 4 π κ I b \nabla \cdot \mathbf{q} = 4\pi \kappa I_b ∇⋅q=4πκIb
7. 燃烧中的辐射传热
7.1 火焰辐射特性
7.1.1 非发光火焰
- 主要辐射源:CO₂和H₂O气体
- 蓝色(来自CH*化学发光)
- 辐射较弱
7.1.2 发光火焰
- 含有碳烟颗粒
- 黄/橙色
- 辐射强(碳烟是强辐射体)
碳烟辐射的重要性:
- 增强传热
- 影响火焰温度分布
- 影响燃烧效率
7.1.3 煤粉火焰
- 挥发分燃烧:气体辐射为主
- 焦炭燃烧:颗粒辐射为主
- 灰分:液态灰滴辐射
7.2 辐射与能量方程耦合
7.2.1 能量方程
包含辐射源项的能量方程:
ρ c p D T D t = ∇ ⋅ ( k ∇ T ) − ∇ ⋅ q r + Q ˙ chem \rho c_p \frac{DT}{Dt} = \nabla \cdot (k \nabla T) - \nabla \cdot \mathbf{q}_r + \dot{Q}_{\text{chem}} ρcpDtDT=∇⋅(k∇T)−∇⋅qr+Q˙chem
其中辐射源项:
− ∇ ⋅ q r = κ ( G − 4 π I b ) -\nabla \cdot \mathbf{q}_r = \kappa (G - 4\pi I_b) −∇⋅qr=κ(G−4πIb)
7.2.2 耦合求解
顺序求解:
- 求解流动和能量方程(无辐射)
- 求解RTE得到辐射热流
- 更新温度场
- 重复直到收敛
耦合求解:
- 同时求解所有方程
- 更稳定但计算量大
7.3 辐射传热计算实例
7.3.1 一维平行平板
两个无限大平行平板之间的辐射传热:
纯辐射介质:
q = σ ( T 1 4 − T 2 4 ) 3 4 τ + 1 ε 1 + 1 ε 2 − 1 q = \frac{\sigma(T_1^4 - T_2^4)}{\frac{3}{4}\tau + \frac{1}{\varepsilon_1} + \frac{1}{\varepsilon_2} - 1} q=43τ+ε11+ε21−1σ(T14−T24)
其中 τ \tau τ是光学厚度。
7.3.2 圆柱形燃烧室
考虑气体辐射的圆柱形燃烧室:
平均光束长度:
L m = 3.6 V A L_m = 3.6 \frac{V}{A} Lm=3.6AV
其中 V V V是体积, A A A是表面积。
总发射率法:
使用Hottel图表或关联式计算气体发射率,然后:
q = ε g σ T g 4 − α g σ T w 4 q = \varepsilon_g \sigma T_g^4 - \alpha_g \sigma T_w^4 q=εgσTg4−αgσTw4
8. Python仿真实现
8.1 黑体辐射计算
import numpy as np
import matplotlib
matplotlib.use('Agg')
import matplotlib.pyplot as plt
# 物理常数
h = 6.626e-34 # Planck常数 (J·s)
c = 2.998e8 # 光速 (m/s)
k_B = 1.381e-23 # Boltzmann常数 (J/K)
sigma = 5.67e-8 # Stefan-Boltzmann常数 (W/(m²·K⁴))
print("=" * 70)
print("主题040:辐射传热模型 - Python仿真")
print("=" * 70)
# ============================================================================
# 实验1: 黑体辐射特性
# ============================================================================
print("\n" + "=" * 70)
print("实验1: 黑体辐射特性")
print("=" * 70)
def planck_law(lambda_m, T):
"""
Planck黑体辐射定律
lambda_m: 波长 (m)
T: 温度 (K)
返回: 光谱辐射力 (W/(m²·m))
"""
C1 = 2 * np.pi * h * c**2 # 第一辐射常数
C2 = h * c / k_B # 第二辐射常数 (hc/k_B)
E_lambda = C1 / (lambda_m**5 * (np.exp(C2 / (lambda_m * T)) - 1))
return E_lambda
def wien_displacement(T):
"""
Wien位移定律
返回峰值波长 (μm)
"""
return 2898 / T
# 温度范围
T_values = [1000, 1500, 2000, 2500, 3000] # K
# 波长范围 (0.1 - 20 μm)
wavelengths = np.linspace(0.1, 20, 1000) * 1e-6 # m
fig, axes = plt.subplots(2, 2, figsize=(12, 10))
colors = plt.cm.jet(np.linspace(0, 1, len(T_values)))
# 绘制不同温度下的黑体辐射光谱
for i, T in enumerate(T_values):
E_lambda = planck_law(wavelengths, T)
axes[0, 0].plot(wavelengths*1e6, E_lambda/1e6, color=colors[i],
label=f'T={T}K', linewidth=2)
# 标记峰值
lambda_max = wien_displacement(T)
E_max = planck_law(lambda_max*1e-6, T)
axes[0, 0].plot(lambda_max, E_max/1e6, 'o', color=colors[i], markersize=8)
axes[0, 0].set_xlabel('Wavelength (μm)', fontsize=11)
axes[0, 0].set_ylabel('Spectral Emissive Power (W/(m²·μm))', fontsize=11)
axes[0, 0].set_title('Blackbody Radiation Spectrum', fontsize=12)
axes[0, 0].legend(fontsize=9)
axes[0, 0].grid(True, alpha=0.3)
axes[0, 0].set_xlim([0, 20])
# Wien位移定律验证
T_range = np.linspace(500, 4000, 100)
lambda_max_values = [wien_displacement(T) for T in T_range]
axes[0, 1].plot(T_range, lambda_max_values, 'b-', linewidth=2)
axes[0, 1].set_xlabel('Temperature (K)', fontsize=11)
axes[0, 1].set_ylabel('Peak Wavelength (μm)', fontsize=11)
axes[0, 1].set_title('Wien Displacement Law', fontsize=12)
axes[0, 1].grid(True, alpha=0.3)
# Stefan-Boltzmann定律验证
T_range_sb = np.linspace(300, 3000, 100)
E_total = [sigma * T**4 for T in T_range_sb]
axes[1, 0].plot(T_range_sb, E_total, 'r-', linewidth=2, label='E = σT⁴')
axes[1, 0].set_xlabel('Temperature (K)', fontsize=11)
axes[1, 0].set_ylabel('Total Emissive Power (W/m²)', fontsize=11)
axes[1, 0].set_title('Stefan-Boltzmann Law', fontsize=12)
axes[1, 0].legend(fontsize=10)
axes[1, 0].grid(True, alpha=0.3)
# 温度对辐射的影响
T_demo = np.linspace(300, 2500, 50)
E_demo = [sigma * T**4 for T in T_demo]
axes[1, 1].semilogy(T_demo, E_demo, 'g-', linewidth=2)
axes[1, 1].set_xlabel('Temperature (K)', fontsize=11)
axes[1, 1].set_ylabel('Total Emissive Power (W/m²)', fontsize=11)
axes[1, 1].set_title('Temperature Effect on Radiation (Log Scale)', fontsize=12)
axes[1, 1].grid(True, alpha=0.3)
plt.tight_layout()
plt.savefig('exp1_blackbody_radiation.png', dpi=150, bbox_inches='tight')
print("\n结果已保存至: exp1_blackbody_radiation.png")
print("\n黑体辐射特性:")
for T in T_values:
lambda_max = wien_displacement(T)
E_total = sigma * T**4
print(f" T = {T}K: λ_max = {lambda_max:.2f} μm, E_total = {E_total/1e6:.2e} MW/m²")
plt.close()
8.2 气体辐射特性计算
# ============================================================================
# 实验2: 气体辐射特性
# ============================================================================
print("\n" + "=" * 70)
print("实验2: 气体辐射特性")
print("=" * 70)
def co2_emissivity(T, P_CO2, L):
"""
CO₂发射率简化模型 (Leckner模型简化版)
T: 温度 (K)
P_CO2: CO₂分压 (atm)
L: 射线长度 (m)
"""
# 简化关联式
a0 = -0.35
a1 = 0.75
a2 = -0.15
PL = P_CO2 * L * 100 # atm·cm
# 温度修正
T_factor = (T / 1000)**a1
# 发射率
epsilon = 1 - np.exp(-(a0 + a2 * np.log(PL)) * T_factor * np.sqrt(PL))
return max(0, min(1, epsilon))
def h2o_emissivity(T, P_H2O, L):
"""
H₂O发射率简化模型
"""
# 简化关联式
b0 = 0.5
b1 = 0.6
b2 = -0.1
PL = P_H2O * L * 100 # atm·cm
T_factor = (T / 1000)**b1
epsilon = 1 - np.exp(-(b0 + b2 * np.log(PL)) * T_factor * np.sqrt(PL))
return max(0, min(1, epsilon))
def gas_mixture_emissivity(T, P_CO2, P_H2O, L):
"""
CO₂-H₂O混合气体发射率
"""
eps_CO2 = co2_emissivity(T, P_CO2, L)
eps_H2O = h2o_emissivity(T, P_H2O, L)
# 重叠修正 (简化)
delta_eps = 0.1 * eps_CO2 * eps_H2O
eps_total = eps_CO2 + eps_H2O - delta_eps
return min(1, eps_total)
fig, axes = plt.subplots(2, 2, figsize=(12, 10))
# 温度对发射率的影响
T_range = np.linspace(500, 2500, 100)
P_CO2 = 0.1 # atm
P_H2O = 0.2 # atm
L = 1.0 # m
eps_CO2 = [co2_emissivity(T, P_CO2, L) for T in T_range]
eps_H2O = [h2o_emissivity(T, P_H2O, L) for T in T_range]
eps_total = [gas_mixture_emissivity(T, P_CO2, P_H2O, L) for T in T_range]
axes[0, 0].plot(T_range, eps_CO2, 'b-', linewidth=2, label='CO₂')
axes[0, 0].plot(T_range, eps_H2O, 'r-', linewidth=2, label='H₂O')
axes[0, 0].plot(T_range, eps_total, 'g--', linewidth=2, label='Mixture')
axes[0, 0].set_xlabel('Temperature (K)', fontsize=11)
axes[0, 0].set_ylabel('Emissivity', fontsize=11)
axes[0, 0].set_title('Gas Emissivity vs Temperature', fontsize=12)
axes[0, 0].legend(fontsize=10)
axes[0, 0].grid(True, alpha=0.3)
# 射线长度对发射率的影响
L_range = np.linspace(0.1, 5.0, 100)
T_fixed = 1500 # K
eps_CO2_L = [co2_emissivity(T_fixed, P_CO2, L) for L in L_range]
eps_H2O_L = [h2o_emissivity(T_fixed, P_H2O, L) for L in L_range]
axes[0, 1].plot(L_range, eps_CO2_L, 'b-', linewidth=2, label='CO₂')
axes[0, 1].plot(L_range, eps_H2O_L, 'r-', linewidth=2, label='H₂O')
axes[0, 1].set_xlabel('Beam Length (m)', fontsize=11)
axes[0, 1].set_ylabel('Emissivity', fontsize=11)
axes[0, 1].set_title(f'Gas Emissivity vs Beam Length (T={T_fixed}K)', fontsize=12)
axes[0, 1].legend(fontsize=10)
axes[0, 1].grid(True, alpha=0.3)
# 分压对发射率的影响
P_range = np.linspace(0.01, 0.5, 100)
L_fixed = 1.0 # m
eps_CO2_P = [co2_emissivity(1500, P, L_fixed) for P in P_range]
eps_H2O_P = [h2o_emissivity(1500, P, L_fixed) for P in P_range]
axes[1, 0].plot(P_range, eps_CO2_P, 'b-', linewidth=2, label='CO₂')
axes[1, 0].plot(P_range, eps_H2O_P, 'r-', linewidth=2, label='H₂O')
axes[1, 0].set_xlabel('Partial Pressure (atm)', fontsize=11)
axes[1, 0].set_ylabel('Emissivity', fontsize=11)
axes[1, 0].set_title('Gas Emissivity vs Partial Pressure', fontsize=12)
axes[1, 0].legend(fontsize=10)
axes[1, 0].grid(True, alpha=0.3)
# 燃烧产物发射率
T_comb = np.linspace(1000, 2500, 100)
# 典型燃烧产物:CO₂=0.1atm, H₂O=0.2atm
eps_comb = [gas_mixture_emissivity(T, 0.1, 0.2, 1.0) for T in T_comb]
axes[1, 1].plot(T_comb, eps_comb, 'm-', linewidth=2)
axes[1, 1].set_xlabel('Temperature (K)', fontsize=11)
axes[1, 1].set_ylabel('Emissivity', fontsize=11)
axes[1, 1].set_title('Combustion Products Emissivity', fontsize=12)
axes[1, 1].grid(True, alpha=0.3)
plt.tight_layout()
plt.savefig('exp2_gas_radiation.png', dpi=150, bbox_inches='tight')
print("\n结果已保存至: exp2_gas_radiation.png")
print("\n气体辐射特性:")
print(f" CO₂发射率 (T=1500K, P=0.1atm, L=1m): {co2_emissivity(1500, 0.1, 1.0):.3f}")
print(f" H₂O发射率 (T=1500K, P=0.2atm, L=1m): {h2o_emissivity(1500, 0.2, 1.0):.3f}")
print(f" 混合气体发射率: {gas_mixture_emissivity(1500, 0.1, 0.2, 1.0):.3f}")
plt.close()
8.3 颗粒辐射特性
# ============================================================================
# 实验3: 颗粒辐射特性
# ============================================================================
print("\n" + "=" * 70)
print("实验3: 颗粒辐射特性")
print("=" * 70)
def mie_efficiency(x, m):
"""
简化Mie效率计算 (小颗粒和大颗粒近似)
x: 尺寸参数 πD/λ
m: 复折射率 n - ik
"""
n = m.real
k = m.abs()
if x < 0.1: # Rayleigh区
# 吸收效率
Q_abs = 8 * x * (n**2 * k) / ((n**2 - k**2 + 2)**2 + (2*n*k)**2)
# 散射效率 (Rayleigh散射 ∝ x⁴)
Q_sca = (8/3) * x**4 * ((n**2 - 1)/(n**2 + 2))**2
elif x > 10: # 几何光学区
Q_abs = 1.0
Q_sca = 1.0
else: # Mie区 - 简化插值
f = (x - 0.1) / 9.9
Q_abs_rayleigh = 8 * 0.1 * (n**2 * k) / ((n**2 - k**2 + 2)**2 + (2*n*k)**2)
Q_abs = Q_abs_rayleigh * (1-f) + 1.0 * f
Q_sca_rayleigh = (8/3) * 0.1**4 * ((n**2 - 1)/(n**2 + 2))**2
Q_sca = Q_sca_rayleigh * (1-f) + 1.0 * f
Q_ext = Q_abs + Q_sca
return Q_ext, Q_abs, Q_sca
def soot_absorption_coefficient(fv, lambda_m, n=1.85, k=0.48):
"""
碳烟吸收系数 (Rayleigh近似)
fv: 碳烟体积分数
lambda_m: 波长 (m)
"""
# Rayleigh近似
C_abs = 36 * np.pi * n * k / ((n**2 - k**2 + 2)**2 + 4*n**2*k**2)
kappa = C_abs * fv / lambda_m
return kappa
fig, axes = plt.subplots(2, 2, figsize=(12, 10))
# Mie效率随尺寸参数变化
x_range = np.logspace(-2, 2, 100)
m_soot = 1.85 - 0.48j # 碳烟复折射率
Q_ext_list = []
Q_abs_list = []
Q_sca_list = []
for x in x_range:
Q_ext, Q_abs, Q_sca = mie_efficiency(x, m_soot)
Q_ext_list.append(Q_ext)
Q_abs_list.append(Q_abs)
Q_sca_list.append(Q_sca)
axes[0, 0].loglog(x_range, Q_ext_list, 'b-', linewidth=2, label='Q_ext')
axes[0, 0].loglog(x_range, Q_abs_list, 'r-', linewidth=2, label='Q_abs')
axes[0, 0].loglog(x_range, Q_sca_list, 'g-', linewidth=2, label='Q_sca')
axes[0, 0].axvline(x=0.1, color='k', linestyle='--', alpha=0.5, label='Rayleigh limit')
axes[0, 0].axvline(x=10, color='k', linestyle='--', alpha=0.5, label='Geometric limit')
axes[0, 0].set_xlabel('Size Parameter x = πD/λ', fontsize=11)
axes[0, 0].set_ylabel('Efficiency Factor', fontsize=11)
axes[0, 0].set_title('Mie Efficiency Factors', fontsize=12)
axes[0, 0].legend(fontsize=9)
axes[0, 0].grid(True, alpha=0.3)
# 碳烟吸收系数随波长变化
wavelengths_soot = np.linspace(0.5, 10, 100) * 1e-6 # m
fv_values = [1e-6, 5e-6, 1e-5, 5e-5] # 碳烟体积分数
colors_soot = plt.cm.plasma(np.linspace(0, 1, len(fv_values)))
for i, fv in enumerate(fv_values):
kappa_soot = [soot_absorption_coefficient(fv, lam) for lam in wavelengths_soot]
axes[0, 1].plot(wavelengths_soot*1e6, kappa_soot, color=colors_soot[i],
label=f'fv={fv:.0e}', linewidth=2)
axes[0, 1].set_xlabel('Wavelength (μm)', fontsize=11)
axes[0, 1].set_ylabel('Absorption Coefficient (1/m)', fontsize=11)
axes[0, 1].set_title('Soot Absorption Coefficient', fontsize=12)
axes[0, 1].legend(fontsize=9)
axes[0, 1].grid(True, alpha=0.3)
# 颗粒直径对辐射特性的影响
D_range = np.linspace(0.01, 10, 100) * 1e-6 # m
lambda_fixed = 1e-6 # 1 μm
x_values = np.pi * D_range / lambda_fixed
Q_abs_diam = []
for x in x_values:
_, Q_abs, _ = mie_efficiency(x, m_soot)
Q_abs_diam.append(Q_abs)
axes[1, 0].semilogy(D_range*1e6, Q_abs_diam, 'b-', linewidth=2)
axes[1, 0].set_xlabel('Particle Diameter (μm)', fontsize=11)
axes[1, 0].set_ylabel('Absorption Efficiency', fontsize=11)
axes[1, 0].set_title(f'Absorption vs Diameter (λ={lambda_fixed*1e6:.1f}μm)', fontsize=12)
axes[1, 0].grid(True, alpha=0.3)
# 碳烟发射率与温度
T_soot = np.linspace(1000, 2500, 100)
# 假设碳烟层厚度1cm,体积分数1e-6
fv_soot = 1e-6
L_soot = 0.01 # m
# 使用平均波长 (Wien定律)
eps_soot = []
for T in T_soot:
lambda_avg = wien_displacement(T) * 1e-6 # m
kappa = soot_absorption_coefficient(fv_soot, lambda_avg)
tau = kappa * L_soot
eps = 1 - np.exp(-tau)
eps_soot.append(eps)
axes[1, 1].plot(T_soot, eps_soot, 'r-', linewidth=2)
axes[1, 1].set_xlabel('Temperature (K)', fontsize=11)
axes[1, 1].set_ylabel('Soot Layer Emissivity', fontsize=11)
axes[1, 1].set_title('Soot Emissivity vs Temperature', fontsize=12)
axes[1, 1].grid(True, alpha=0.3)
plt.tight_layout()
plt.savefig('exp3_particle_radiation.png', dpi=150, bbox_inches='tight')
print("\n结果已保存至: exp3_particle_radiation.png")
print("\n颗粒辐射特性:")
print(f" 碳烟复折射率: m = {m_soot.real} - {abs(m_soot.imag)}i")
print(f" 小颗粒(x=0.01)吸收效率: {mie_efficiency(0.01, m_soot)[1]:.4f}")
print(f" 大颗粒(x=100)吸收效率: {mie_efficiency(100, m_soot)[1]:.4f}")
plt.close()
8.4 辐射传递方程求解
# ============================================================================
# 实验4: 一维辐射传递方程求解
# ============================================================================
print("\n" + "=" * 70)
print("实验4: 一维辐射传递方程求解")
print("=" * 70)
def solve_rte_1d(N, tau_total, omega, epsilon_wall, T_gas, T_wall_hot, T_wall_cold):
"""
求解一维平板几何的RTE (DOM方法)
参数:
N: 空间网格数
tau_total: 总光学厚度
omega: 单次散射反照率
epsilon_wall: 壁面发射率
T_gas: 气体温度 (K)
T_wall_hot: 热壁温度 (K)
T_wall_cold: 冷壁温度 (K)
返回:
tau: 光学厚度网格
G: 入射辐射
q: 辐射热流
"""
# 空间离散
tau = np.linspace(0, tau_total, N)
dtau = tau[1] - tau[0]
# S4方向离散 (简化版,使用2个方向)
mu = [1/np.sqrt(3), -1/np.sqrt(3)] # 方向余弦
w = [np.pi, np.pi] # 权重
n_dir = len(mu)
# 黑体辐射力
E_b_gas = sigma * T_gas**4 / np.pi
E_b_hot = sigma * T_wall_hot**4 / np.pi
E_b_cold = sigma * T_wall_cold**4 / np.pi
# 初始化辐射强度
I = np.zeros((N, n_dir))
# 源项
S = (1 - omega) * E_b_gas * np.ones(N)
# 迭代求解
max_iter = 1000
tol = 1e-6
for iteration in range(max_iter):
I_old = I.copy()
# 正向传播 (mu > 0)
for d in range(n_dir):
if mu[d] > 0:
# 边界条件 (冷壁)
I[0, d] = epsilon_wall * E_b_cold + (1 - epsilon_wall) * I[0, 1-d] if n_dir > 1 else epsilon_wall * E_b_cold
for i in range(1, N):
# 离散RTE
I[i, d] = (I[i-1, d] * (mu[d]/dtau - 0.5) + S[i]) / (mu[d]/dtau + 0.5)
# 反向传播 (mu < 0)
for d in range(n_dir):
if mu[d] < 0:
# 边界条件 (热壁)
I[N-1, d] = epsilon_wall * E_b_hot + (1 - epsilon_wall) * I[N-1, 1-d] if n_dir > 1 else epsilon_wall * E_b_hot
for i in range(N-2, -1, -1):
I[i, d] = (I[i+1, d] * (-mu[d]/dtau - 0.5) + S[i]) / (-mu[d]/dtau + 0.5)
# 检查收敛
if np.max(np.abs(I - I_old)) < tol:
break
# 计算入射辐射和热流
G = np.zeros(N)
q = np.zeros(N)
for i in range(N):
for d in range(n_dir):
G[i] += w[d] * I[i, d]
q[i] += w[d] * mu[d] * I[i, d]
return tau, G, q
fig, axes = plt.subplots(2, 2, figsize=(12, 10))
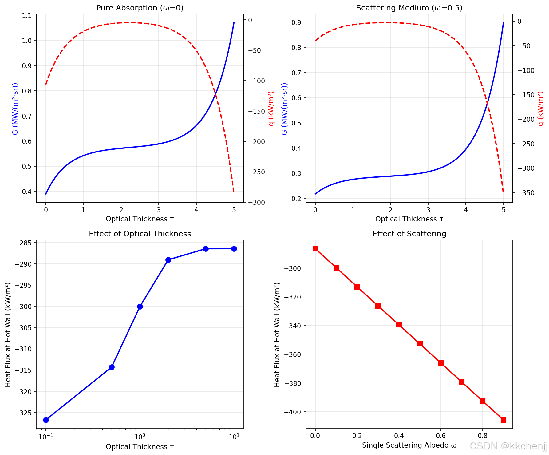
# 案例1: 纯吸收介质 (omega = 0)
tau, G1, q1 = solve_rte_1d(100, 5.0, 0.0, 0.8, 1500, 2000, 1000)
axes[0, 0].plot(tau, G1*1e-6, 'b-', linewidth=2, label='Incident Radiation G')
ax_twin = axes[0, 0].twinx()
ax_twin.plot(tau, q1/1e3, 'r--', linewidth=2, label='Radiative Heat Flux q')
axes[0, 0].set_xlabel('Optical Thickness τ', fontsize=11)
axes[0, 0].set_ylabel('G (MW/(m²·sr))', color='b', fontsize=11)
ax_twin.set_ylabel('q (kW/m²)', color='r', fontsize=11)
axes[0, 0].set_title('Pure Absorption (ω=0)', fontsize=12)
axes[0, 0].grid(True, alpha=0.3)
# 案例2: 散射介质 (omega = 0.5)
tau, G2, q2 = solve_rte_1d(100, 5.0, 0.5, 0.8, 1500, 2000, 1000)
axes[0, 1].plot(tau, G2*1e-6, 'b-', linewidth=2, label='Incident Radiation G')
ax_twin2 = axes[0, 1].twinx()
ax_twin2.plot(tau, q2/1e3, 'r--', linewidth=2, label='Radiative Heat Flux q')
axes[0, 1].set_xlabel('Optical Thickness τ', fontsize=11)
axes[0, 1].set_ylabel('G (MW/(m²·sr))', color='b', fontsize=11)
ax_twin2.set_ylabel('q (kW/m²)', color='r', fontsize=11)
axes[0, 1].set_title('Scattering Medium (ω=0.5)', fontsize=12)
axes[0, 1].grid(True, alpha=0.3)
# 光学厚度影响
tau_values = [0.1, 0.5, 1.0, 2.0, 5.0, 10.0]
q_hot_wall = []
for tau_val in tau_values:
tau_grid, G, q = solve_rte_1d(50, tau_val, 0.0, 0.8, 1500, 2000, 1000)
q_hot_wall.append(q[-1]) # 热壁热流
axes[1, 0].semilogx(tau_values, np.array(q_hot_wall)/1e3, 'bo-', linewidth=2, markersize=8)
axes[1, 0].set_xlabel('Optical Thickness τ', fontsize=11)
axes[1, 0].set_ylabel('Heat Flux at Hot Wall (kW/m²)', fontsize=11)
axes[1, 0].set_title('Effect of Optical Thickness', fontsize=12)
axes[1, 0].grid(True, alpha=0.3)
# 散射反照率影响
omega_values = np.linspace(0, 0.9, 10)
q_hot_wall_omega = []
for omega in omega_values:
tau_grid, G, q = solve_rte_1d(50, 5.0, omega, 0.8, 1500, 2000, 1000)
q_hot_wall_omega.append(q[-1])
axes[1, 1].plot(omega_values, np.array(q_hot_wall_omega)/1e3, 'rs-', linewidth=2, markersize=8)
axes[1, 1].set_xlabel('Single Scattering Albedo ω', fontsize=11)
axes[1, 1].set_ylabel('Heat Flux at Hot Wall (kW/m²)', fontsize=11)
axes[1, 1].set_title('Effect of Scattering', fontsize=12)
axes[1, 1].grid(True, alpha=0.3)
plt.tight_layout()
plt.savefig('exp4_rte_solution.png', dpi=150, bbox_inches='tight')
print("\n结果已保存至: exp4_rte_solution.png")
print("\nRTE求解结果:")
print(f" 纯吸收介质,热壁热流: {q1[-1]/1e3:.2f} kW/m²")
print(f" 散射介质(ω=0.5),热壁热流: {q2[-1]/1e3:.2f} kW/m²")
print(f" 散射使热流降低: {(1-q2[-1]/q1[-1])*100:.1f}%")
plt.close()
8.5 视角因子计算
# ============================================================================
# 实验5: 视角因子计算
# ============================================================================
print("\n" + "=" * 70)
print("实验5: 视角因子计算")
print("=" * 70)
def view_factor_parallel_rectangles(W, H, L):
"""
两个平行矩形之间的视角因子
W: 宽度
H: 高度
L: 间距
"""
X = W / L
Y = H / L
# 使用Hottel交叉线法或查表
# 这里使用简化公式
F = (2 / (np.pi * X * Y)) * (
np.log(np.sqrt((1 + X**2) * (1 + Y**2) / (1 + X**2 + Y**2))) +
X * np.sqrt(1 + Y**2) * np.arctan(X / np.sqrt(1 + Y**2)) +
Y * np.sqrt(1 + X**2) * np.arctan(Y / np.sqrt(1 + X**2)) -
X * np.arctan(X) - Y * np.arctan(Y)
)
return F
def view_factor_perpendicular_rectangles(W, H, L):
"""
两个垂直矩形之间的视角因子
"""
X = W / L
Y = H / L
# 简化计算
F = (1 / (np.pi * Y)) * (
Y * np.arctan(1/Y) + X * np.arctan(1/X) -
np.sqrt(X**2 + Y**2) * np.arctan(1/np.sqrt(X**2 + Y**2)) +
0.25 * np.log((1 + X**2) * (1 + Y**2) / (1 + X**2 + Y**2))
)
return F
fig, axes = plt.subplots(2, 2, figsize=(12, 10))
# 平行平板视角因子
W_range = np.linspace(0.1, 5, 50)
L_fixed = 1.0
H_fixed = 1.0
F_parallel = [view_factor_parallel_rectangles(W, H_fixed, L_fixed) for W in W_range]
axes[0, 0].plot(W_range, F_parallel, 'b-', linewidth=2)
axes[0, 0].set_xlabel('W/L Ratio', fontsize=11)
axes[0, 0].set_ylabel('View Factor F₁₂', fontsize=11)
axes[0, 0].set_title(f'Parallel Rectangles (H/L={H_fixed/L_fixed})', fontsize=12)
axes[0, 0].grid(True, alpha=0.3)
# 间距对视角因子的影响
L_range = np.linspace(0.1, 5, 50)
W_fixed = 1.0
H_fixed = 1.0
F_vs_L = [view_factor_parallel_rectangles(W_fixed, H_fixed, L) for L in L_range]
axes[0, 1].plot(L_range, F_vs_L, 'r-', linewidth=2)
axes[0, 1].set_xlabel('Spacing L (m)', fontsize=11)
axes[0, 1].set_ylabel('View Factor F₁₂', fontsize=11)
axes[0, 1].set_title(f'Effect of Spacing (W=H={W_fixed}m)', fontsize=12)
axes[0, 1].grid(True, alpha=0.3)
# 垂直平板视角因子
F_perp = [view_factor_perpendicular_rectangles(W, H_fixed, L_fixed) for W in W_range]
axes[1, 0].plot(W_range, F_perp, 'g-', linewidth=2)
axes[1, 0].set_xlabel('W/L Ratio', fontsize=11)
axes[1, 0].set_ylabel('View Factor F₁₂', fontsize=11)
axes[1, 0].set_title(f'Perpendicular Rectangles (H/L={H_fixed/L_fixed})', fontsize=12)
axes[1, 0].grid(True, alpha=0.3)
# 不同几何形状的视角因子比较
geometries = ['Parallel\n(Inf)', 'Parallel\n(W=H=L)', 'Perpendicular\n(W=H=L)',
'Concentric\nSpheres', 'Concentric\nCylinders']
F_values = [1.0, view_factor_parallel_rectangles(1, 1, 1),
view_factor_perpendicular_rectangles(1, 1, 1), 1.0, 1.0]
colors_geo = ['blue', 'green', 'orange', 'red', 'purple']
axes[1, 1].bar(range(len(geometries)), F_values, color=colors_geo, alpha=0.7)
axes[1, 1].set_xticks(range(len(geometries)))
axes[1, 1].set_xticklabels(geometries, fontsize=9)
axes[1, 1].set_ylabel('View Factor F₁₂', fontsize=11)
axes[1, 1].set_title('View Factors for Different Geometries', fontsize=12)
axes[1, 1].set_ylim([0, 1.2])
axes[1, 1].grid(True, alpha=0.3, axis='y')
plt.tight_layout()
plt.savefig('exp5_view_factors.png', dpi=150, bbox_inches='tight')
print("\n结果已保存至: exp5_view_factors.png")
print("\n视角因子计算结果:")
print(f" 无限大平行平板: F₁₂ = 1.0")
print(f" 平行矩形(W=H=L): F₁₂ = {view_factor_parallel_rectangles(1, 1, 1):.3f}")
print(f" 垂直矩形(W=H=L): F₁₂ = {view_factor_perpendicular_rectangles(1, 1, 1):.3f}")
plt.close()





AtomGit 是由开放原子开源基金会联合 CSDN 等生态伙伴共同推出的新一代开源与人工智能协作平台。平台坚持“开放、中立、公益”的理念,把代码托管、模型共享、数据集托管、智能体开发体验和算力服务整合在一起,为开发者提供从开发、训练到部署的一站式体验。
更多推荐


所有评论(0)