3 xgboost
目录
1 怎么让损失函数最小?泰勒展开到二阶导数,然后定位到当叶子节点的是 sum(g) / sum(h),时候有最小的损失。
2 怎么寻找最佳分割点?分裂前后损失函数降低了多少。
你需要知道的是:
- 如何选择最优分裂节点;
- 如何计算叶子上的权重;
- 如何预测一个样本。
XGBoost(eXtreme Gradient Boosting)是一种基于决策树集成的机器学习算法,被广泛应用于分类、回归和排名等任务。XGBoost 在 Kaggle 等数据科学竞赛中取得了很好的表现,被认为是一种高效且强大的机器学习算法。
XGBoost算法通过优化结构化损失函数(加入了正则项的损失函数,可以起到降低过拟合的风险)来实现弱学习器的生成,并且XGBoost算法没有采用搜索方法,而是直接利用了损失函数的一阶导数和二阶导数值,并通过预排序、加权分位数等技术来大大提高了算法的性能。
1 定义
1.1 模型定义
XGBoost与GBDT比较大的不同就是目标函数的定义,基本思想是一致的,同样是利用加法模型与前向分步算法实现学习的优化过程。预测过程如下:
1.2 损失函数
符号:
表示损失函数。
表示前t-1颗树的预测结果。
表示第t颗决策树。
第t颗树的复杂度。
1.3 化简损失函数
1 把 替换进目标函数。过程如下


什么时候上面的损失函数有最优解呢?

记住叶子的值是什么!先求每个叶子结点中的样本的偏差的一次导数和二次导数相除,再对所有叶子节点求和。

如下: 需要知道 样本的在损失函数的一阶导数g与二阶导数信息H.


1.4 xgboost多分类问题
XGBoost在多分类问题中的理论过程涉及多个关键步骤,包括损失函数的选择、梯度计算、树的构建以及叶子节点权重的计算等。下面是详细的理论过程,包含相关的公式和解释:
1. 初始化
对于多分类问题,假设我们有 𝐾K 个类别,每个样本 𝑖的初始预测值 𝑦^𝑖(0)可以初始化为每个类别的先验概率或对数几率的平均值,1/K。通常情况下,我们会初始化为每个类别的对数几率形式。
2. 定义损失函数
对于多分类问题,XGBoost通常使用softmax损失函数。损失函数可以定义为:
其中:
- 𝑛n 是样本数量;
- 𝐾K 是类别数量;
- 𝑦𝑖𝑘 是one-hot编码的目标变量,如果样本 𝑖属于类别 𝑘,𝑦𝑖𝑘=1,否则为0;
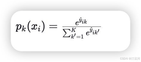
- 𝑝𝑘(𝑥𝑖) 是样本 𝑖 属于类别 𝑘 的概率,softmax计算得到。
3. 训练过程
3.1 梯度和Hessian计算
对于每个样本 𝑖i 和类别 𝑘k,计算梯度 𝑔𝑖𝑘和Hessian ℎ𝑖𝑘:
3.2 分裂节点
对于每个可能的分裂点,我们计算左子树和右子树的梯度和与Hessian和。
- 对于每个内部节点,计算分裂后的增益,选择增益最大的分裂方式。增益公式如下:
其中:
- 𝐺𝐿 和 𝐻𝐿 是左子树中所有样本的梯度和Hessian和;
- 𝐺𝑅 和 𝐻𝑅 是右子树中所有样本的梯度和Hessian和;
- 𝜆 是L2正则化系数;
- 𝛾是对树复杂度的惩罚项。
3.3 叶子节点输出
对于每个叶子节点 𝑞q 和类别 𝑘k,计算输出值 𝑤𝑞𝑘:
其中:
Gqk 和 𝐻𝑞𝑘分别是叶子节点 𝑞 中所有样本针对类别 𝑘 的梯度和Hessian总和。
4. 更新预测值
对于每个样本 𝑖和类别 𝑘,更新预测值 𝑦^𝑖𝑘:
其中:
- 𝜂 是学习率;
- 𝑇(𝑖)表示样本 𝑖 所在的叶子节点集合。
5. 转换为概率
一旦所有树的输出都已计算完毕,我们需要将输出值转换为概率。这通常是通过softmax函数完成的:
6. 预测
最终的预测结果是通过比较各个类别的概率来确定的:
为了更好地理解这个过程,我们可以举一个具体的例子。假设我们有一个简单的二叉树,其中包含两个叶子节点,分别对应不同的类别输出。
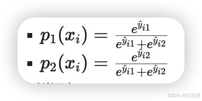
假设:
- 样本 𝑖i 在叶子节点 𝑞1q1 上。
- 类别 𝑘=1 对应叶子节点 𝑞1 的输出 𝑤𝑞11。
- 类别 𝑘=2 对应叶子节点 𝑞1的输出 𝑤𝑞12。
- 类别 𝑘=1 对应叶子节点 𝑞2 的输出 𝑤𝑞21。
- 类别 𝑘=2 对应叶子节点 𝑞2 的输出 𝑤𝑞22。
计算:
- 假设 𝑦^𝑖1y^i1 和 𝑦^𝑖2y^i2 分别是样本 𝑖i 对类别 1 和类别 2 的初始预测值。
- 更新预测值:
- 转换为概率:
- 预测类别:
- 如果 𝑝1(𝑥𝑖)>𝑝2(𝑥𝑖)p1(xi)>p2(xi),则 𝑦^𝑖=1y^i=1;否则 𝑦^𝑖=2y^i=2。
4、具体计算示例
4.1 初始设定
假设有 5 个样本,3 分类问题:
表格
| 样本 | 真实标签 | 初始预测分数 [类1, 类2, 类3] |
|---|---|---|
| 1 | 1 | [0, 0, 0] |
| 2 | 2 | [0, 0, 0] |
| 3 | 3 | [0, 0, 0] |
| 4 | 1 | [0, 0, 0] |
| 5 | 2 | [0, 0, 0] |
4.2 第1轮迭代 - 第1棵树(类别1)
Step 1: 计算初始概率

Step 2: 计算梯度(类别1)
表格
| 样本 | yi | I(yi=1) | gi1=pi1−I | hi1= pi1(1−pi1) |
|---|---|---|---|---|
| 1 | 1 | 1 | 1/3−1=−2/3 | 1/3×2/3=2/9 |
| 2 | 2 | 0 | 1/3−0=1/3 | 2/9 |
| 3 | 3 | 0 | 1/3 | 2/9 |
| 4 | 1 | 1 | −2/3 | 2/9 |
| 5 | 2 | 0 | 1/3 | 2/9 |
Step 3: 尝试分裂(假设按特征 x 分裂)
假设分裂后:
- 左节点 L:样本 {1, 4}(真实标签都是1)
- 右节点 R:样本 {2, 3, 5}
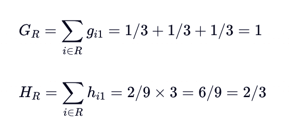
计算左节点统计量:

计算右节点统计量:

计算父节点统计量:

Step 4: 计算分裂增益(设 λ=1, γ=0)

Step 5: 计算叶子节点权重

Step 6: 更新预测分数
表格
| 样本 | 原分数 | 新分数(类别1) |
|---|---|---|
| 1, 4 | 0 | 0 + 0.923 = 0.923 |
| 2, 3, 5 | 0 | 0 + (-0.6) = -0.6 |
4.3 同类别树组完成
对 类别2 和 类别3 重复上述过程,得到各自的树和权重更新。
假设第1轮结束后:
表格
| 样本 | 类别1分数 | 类别2分数 | 类别3分数 |
|---|---|---|---|
| 1 | 0.923 | -0.5 | -0.423 |
| 2 | -0.6 | 0.85 | -0.25 |
| 3 | -0.6 | -0.3 | 0.9 |
| 4 | 0.923 | -0.5 | -0.423 |
| 5 | -0.6 | 0.85 | -0.25 |
4.4 第2轮迭代
Step 1: 重新计算概率(以样本1为例)

Step 2: 重新计算梯度
样本1(真实标签=1):

Step 3: 基于新梯度构建新树
重复上述分裂增益计算过程,生成第2轮的 K=3 棵树。
五、关键数学要点总结
表格
| 要点 | 公式/说明 |
|---|---|
| 树的数量 | 每轮迭代生成 K 棵树(K=类别数) |
| 分数累加 | y^ik(t)=y^ik(t−1)+ftk(xi)y^ik(t)=y^ik(t−1)+ftk(xi) |
| 概率归一 | ∑k=1Kpik=1∑k=1Kpik=1 (Softmax 约束) |
| 梯度关系 | ∑k=1Kgik=0∑k=1Kgik=0 (梯度之和为0) |
| 最优叶子权 | w∗=−G/(H+λ)w∗=−G/(H+λ) |
| 分裂判据 | Gain > γ 则分裂,否则剪枝 |
| 最终预测 | y^i=argmaxk(y^ik)y^i=argmaxk(y^ik) |
2 面试知识点
2.1 叶子上的权重: - 梯度/(二阶梯度+x)
在 XGBoost 中,计算叶子结点的一阶导数和二阶导数的过程如下:
- 对于每个样本,计算损失函数关于预测值的一阶导数和二阶导数。
- 将所有样本的一阶导数和二阶导数汇总到叶子结点上。
- 根据一阶导数和二阶导数的值,计算叶子结点的分裂增益(split gain)。
- 根据分裂增益选择最佳的分裂点。
2.2 预测过程
XGBoost 模型中每个叶子节点的值并不直接输出,而是通过叶子节点的路径上的所有节点值的加和来计算最终的预测值。在 XGBoost 中,每个叶子节点存储的是一个分数值,表示该叶子节点对应的预测值的贡献,不会改变的。当进行预测时,XGBoost 会根据输入特征的取值,将样本沿着树的路径下至叶子节点,并将各个叶子节点的分数值相加得到最终的预测值。
具体来说,XGBoost 在预测时的过程如下:
- 对于输入的样本,根据特征的取值,沿着树的路径下至叶子节点。
- 在每个非叶子节点,根据特征的取值进行划分,决定下一个节点的方向。
- 当到达叶子节点时,将叶子节点的分数值(即预测值的贡献)加到最终的预测值中。
- 对于多棵树的情况(XGBoost 是集成多棵树的模型),将每棵树的预测值相加得到最终的预测值。
训练是"写模型",预测是"读模型"。训练完成后,所有树的结构和叶子权重都固化了,预测时只需做前向计算(查表 + 累加 + Softmax),没有任何优化或更新操作。
2.3 常见面试题目
1.1XGBoost与GBDT有什么不同
- 基分类器:XGBoost的基分类器不仅支持CART决策树,还支持线性分类器,此时XGBoost相当于带L1和L2正则化项的Logistic回归(分类问题)或者线性回归(回归问题)。
- 导数信息:XGBoost对损失函数做了二阶泰勒展开,GBDT只用了一阶导数信息,并且XGBoost还支持自定义损失函数,只要损失函数一阶、二阶可导。
- 正则项:XGBoost的目标函数加了正则项, 相当于预剪枝,使得学习出来的模型更加不容易过拟合。
- 列抽样:XGBoost支持列采样,与随机森林类似,用于防止过拟合。
- 缺失值处理:对树中的每个非叶子结点,XGBoost可以自动学习出它的默认分裂方向。如果某个样本该特征值缺失,会将其划入默认分支。
- 并行化:注意不是tree维度的并行,而是特征维度的并行。XGBoost预先将每个特征按特征值排好序,存储为块结构,分裂结点时可以采用多线程并行查找每个特征的最佳分割点,极大提升训练速度
1.2 XGBoost为什么使用泰勒二阶展开
- 精准性:相对于GBDT的一阶泰勒展开,XGBoost采用二阶泰勒展开,可以更为精准的逼近真实的损失函数
- 可扩展性:损失函数支持自定义,只需要新的损失函数二阶可导。
4. XGBoost为什么可以并行训练。
- XGBoost的并行,并不是说每棵树可以并行训练,XGB本质上仍然采用boosting思想,每棵树训练前需要等前面的树训练完成才能开始训练。
- XGBoost的并行,指的是特征维度的并行:在训练之前,每个特征按特征值对样本进行预排序,并存储为Block结构,在后面查找特征分割点时可以重复使用,而且特征已经被存储为一个个block结构,那么在寻找每个特征的最佳分割点时,可以利用多线程对每个block并行计算。
5. XGBoost为什么快。
- 分块并行:训练前每个特征按特征值进行排序并存储为Block结构,后面查找特征分割点时重复使用,并且支持并行查找每个特征的分割点
- 候选分位点:每个特征采用常数个分位点作为候选分割点
- CPU cache 命中优化: 使用缓存预取的方法,对每个线程分配一个连续的buffer,读取每个block中样本的梯度信息并存入连续的Buffer中。
- Block 处理优化:Block预先放入内存;Block按列进行解压缩;将Block划分到不同硬盘来提高吞吐
6. XGBoost防止过拟合的方法
XGBoost在设计时,为了防止过拟合做了很多优化,具体如下:
- 目标函数添加正则项:叶子节点个数+叶子节点权重的L2正则化
- 列抽样:训练的时候只用一部分特征(不考虑剩余的block块即可)
- 子采样:每轮计算可以不使用全部样本,使算法更加保守
- shrinkage: 可以叫学习率或步长,为了给后面的训练留出更多的学习空间
7. XGBoost如何处理缺失值。
XGBoost模型的一个优点就是允许特征存在缺失值。对缺失值的处理方式如下:
- 在特征k上寻找最佳 split point 时,不会对该列特征 missing 的样本进行遍历,而只对该列特征值为 non-missing 的样本上对应的特征值进行遍历,通过这个技巧来减少了为稀疏离散特征寻找 split point 的时间开销。
- 在逻辑实现上,为了保证完备性,会将该特征值missing的样本分别分配到左叶子结点和右叶子结点,两种情形都计算一遍后,选择分裂后增益最大的那个方向(左分支或是右分支),作为预测时特征值缺失样本的默认分支方向。
- 如果在训练中没有缺失值而在预测中出现缺失,那么会自动将缺失值的划分方向放到右子结点。
2.4 超参数
祖传代码:
import pandas as pd
import xgboost as xgb
from sklearn.model_selection import train_test_split,KFold
import numpy as np
import seaborn as sns
pd.set_option('display.max_rows', 100)
pd.set_option('display.max_columns', 100)
xgb_params = {'eta': 0.005, 'max_depth': 10, 'subsample': 0.8, 'colsample_bytree': 0.8,
'objective': 'reg:linear', 'eval_metric': 'rmse', 'silent': True, 'nthread': 4}
folds = KFold(n_splits=10, shuffle=True, random_state=2018)
oof_xgb = np.zeros(len(train))
predictions_xgb = np.zeros(len(test))
for fold_, (trn_idx, val_idx) in enumerate(folds.split(X_train, y_train)):
print("fold n°{}".format(fold_+1))
trn_data = xgb.DMatrix(X_train[trn_idx], y_train[trn_idx])
val_data = xgb.DMatrix(X_train[val_idx], y_train[val_idx])
watchlist = [(trn_data, 'train'), (val_data, 'valid_data')]
clf = xgb.train(dtrain=trn_data, num_boost_round=20000, evals=watchlist, early_stopping_rounds=200, verbose_eval=100, params=xgb_params)
oof_xgb[val_idx] = clf.predict(xgb.DMatrix(X_train[val_idx]), ntree_limit=clf.best_ntree_limit)
predictions_xgb += clf.predict(xgb.DMatrix(X_test), ntree_limit=clf.best_ntree_limit) / folds.n_splits
print("CV score: {:<8.8f}".format(mean_squared_error(oof_xgb, target)))
AtomGit 是由开放原子开源基金会联合 CSDN 等生态伙伴共同推出的新一代开源与人工智能协作平台。平台坚持“开放、中立、公益”的理念,把代码托管、模型共享、数据集托管、智能体开发体验和算力服务整合在一起,为开发者提供从开发、训练到部署的一站式体验。
更多推荐














所有评论(0)