数字图像处理篇---导向滤波
1. 什么是导向滤波?
导向滤波(Guided Filter)是一种基于局部线性模型的边缘保持滤波算法,由何凯明等人在2010年提出。它的核心思想是利用一张引导图像来指导输入图像的滤波过程,使得输出图像既能平滑噪声,又能保持引导图像中的边缘结构。
2. 核心原理
关键假设:在局部窗口内,输出图像与引导图像之间存在线性关系。
对于任意像素 k 的局部窗口 \omega_k,输出图像 q 可以表示为引导图像 I 的线性变换:
其中:
-
q_i:输出图像的像素值
-
I_i:引导图像的像素值
-
a_k, b_k:在窗口 \omega_k 内的线性系数(常数)
3. 数学推导
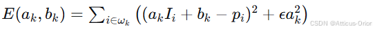
为了确定线性系数 a_k, b_k,我们最小化以下代价函数(输出图像与输入图像 p 的差异):![]()
通过求解这个优化问题,得到:
其中:
-
\mu_k, \sigma_k^2:引导图像在窗口 \omega_k 内的均值和方差
-
|\omega|:窗口内的像素总数
-
\bar{p}_k:输入图像在窗口 \omega_k 内的均值
-
\epsilon:正则化参数,控制平滑程度
最终输出:由于每个像素被多个窗口覆盖,取所有窗口系数的平均值:![]()
4. 算法步骤
-
输入:输入图像 p,引导图像 I(可以与 p 相同),窗口半径 r,正则化参数 ε
-
计算:对引导图像 I 和输入图像 p 分别进行均值滤波
-
计算:引导图像 I 的方差,以及 I 和 p 的协方差
-
计算:线性系数 a 和 b
-
计算:对 a 和 b 进行均值滤波得到 \bar{a}和\bar{b}
-
输出:q = \bar{a} \cdot I + \bar{b}
5. 关键特性
| 特性 | 描述 | 优势 |
|---|---|---|
| 边缘保持 | 输出图像保留引导图像中的边缘 | 避免梯度反转伪影 |
| O(N)时间复杂度 | 算法复杂度与图像像素数成线性关系 | 计算效率高,适合实时应用 |
| 无梯度反转 | 相比双边滤波,不会产生梯度反转 | 图像视觉效果更自然 |
| 易于实现 | 主要基于均值滤波和基本算术运算 | 编程简单,易于优化 |
6. 主要应用
-
图像平滑与去噪:在平滑区域进行模糊,在边缘区域保持清晰
-
细节增强:通过提取细节层进行放大,增强图像细节
-
高动态范围压缩:保持局部对比度的同时压缩全局动态范围
-
图像融合:多曝光图像融合,多焦点图像融合
-
去雾/去雨:作为透射率估计的基础
-
立体匹配:作为代价聚合的滤波器
7. 变体与扩展
-
快速导向滤波:通过下采样加速计算
-
加权导向滤波:引入权重项增强鲁棒性
-
梯度域导向滤波:在梯度域进行操作,更好地保持边缘
-
深度导向滤波:针对深度图像的优化版本
8. 与双边滤波的对比
| 比较维度 | 导向滤波 | 双边滤波 |
|---|---|---|
| 计算复杂度 | O(N),独立于窗口大小 | O(N·r²),依赖于窗口大小 |
| 边缘保持 | 优秀,基于线性模型 | 优秀,基于像素相似性 |
| 梯度反转 | 无 | 可能存在 |
| 理论基础 | 局部线性模型 | 空间与灰度域加权 |
| 参数调优 | 相对简单(r, ε) | 较复杂(空间σ,灰度σ) |
9. 代码示例(Python简易实现)
import numpy as np
import cv2
def guided_filter(I, p, r, eps):
"""
导向滤波的简单实现
I: 引导图像,p: 输入图像,r: 窗口半径,eps: 正则化参数
"""
mean_I = cv2.boxFilter(I, cv2.CV_64F, (r, r))
mean_p = cv2.boxFilter(p, cv2.CV_64F, (r, r))
corr_I = cv2.boxFilter(I * I, cv2.CV_64F, (r, r))
corr_Ip = cv2.boxFilter(I * p, cv2.CV_64F, (r, r))
var_I = corr_I - mean_I * mean_I
cov_Ip = corr_Ip - mean_I * mean_p
a = cov_Ip / (var_I + eps)
b = mean_p - a * mean_I
mean_a = cv2.boxFilter(a, cv2.CV_64F, (r, r))
mean_b = cv2.boxFilter(b, cv2.CV_64F, (r, r))
q = mean_a * I + mean_b
return q
Mermaid总结框图

导向滤波以其简洁的理论、高效的实现和优秀的滤波效果,已成为计算机视觉和图像处理领域的重要工具之一。它的边缘保持特性和线性时间复杂度使其在众多应用中都表现出色,是值得掌握的经典算法。
AtomGit 是由开放原子开源基金会联合 CSDN 等生态伙伴共同推出的新一代开源与人工智能协作平台。平台坚持“开放、中立、公益”的理念,把代码托管、模型共享、数据集托管、智能体开发体验和算力服务整合在一起,为开发者提供从开发、训练到部署的一站式体验。
更多推荐


所有评论(0)