何凯明大佬的Focal Loss对交叉熵进行改进,主要解决分类问题中类别不均衡导致的模型训偏问题。

 在计算机视觉(CV)任务里常常会碰到类别不平衡的问题, 例如: 
1. 图片分类任务,有的类别图片多,有的类别图片少 
2. 检测任务。现在的检测方法如SSD和RCNN系列,都使用anchor机制。 训练时正负anchor的比例很悬殊. 
3. 分割任务, 背景像素数量通常远大于前景像素。 
从实质上来讲, 它们可以归类成分类问题中的类别不平衡问题:对图片/anchor/像素的分类。

1. 交叉熵

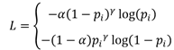
2. focal loss

对于二分类,alpha取值0.25, gamma取值2效果比较好,可以根据自身任务调整参数:

tensorflow实现

Logo

旨在为数千万中国开发者提供一个无缝且高效的云端环境,以支持学习、使用和贡献开源项目。

更多推荐