【数据结构】二叉树的前序遍历(七)
题目:二叉树的前序遍历
题目详情:给你二叉树的根节点 root ,返回它节点值的 前序 遍历;
我们先来看几个示例:

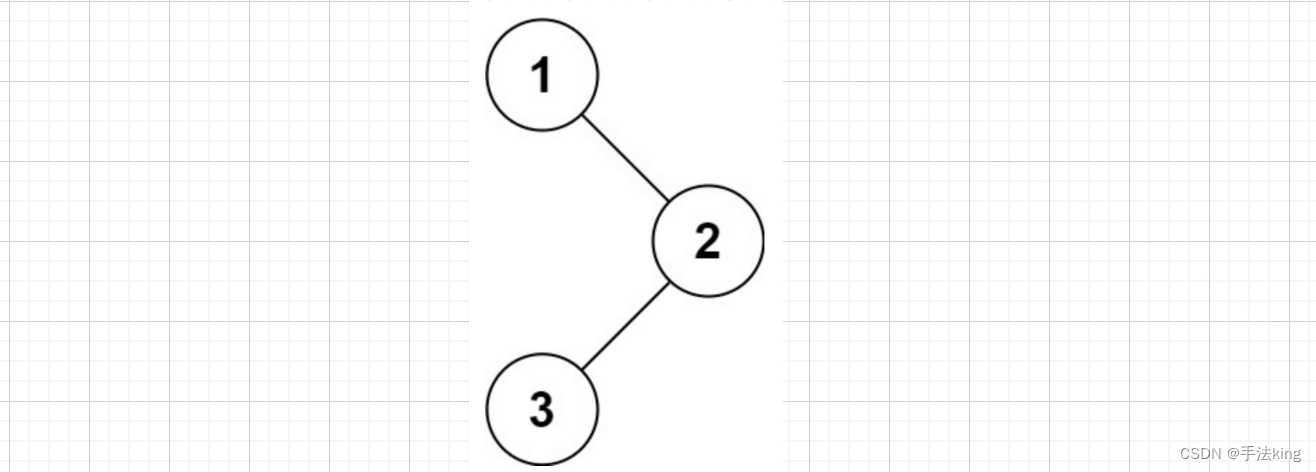
输入:root = [ 1,null,2,3 ]
输出:[ 1,2,3 ]
示例2:

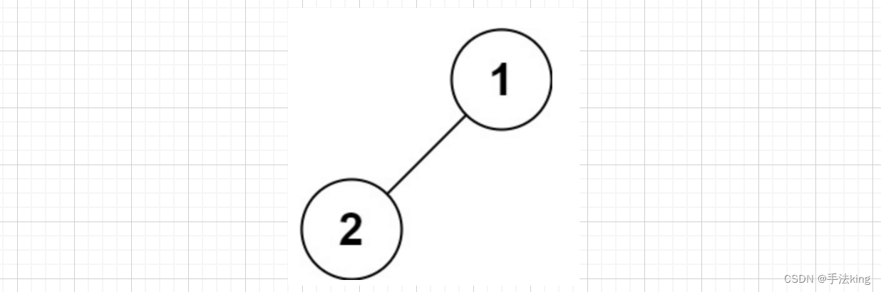
输入:root = [ 1,2 ]
输出:[ 1,2 ]
示例三:
输入:root = [ ]
输出:[ ]
提示:
树中结点数目在范围【0,100】内
-100 <= Node.val <= 100
开始分析:
通过以上的示例我们得知,这道题呢就是把一棵树用前序遍历的方式将结点的值赋给一个数组,然后返回这个数组的指针;
我们之前学过二叉树的前序遍历打印结点的值,现在是将结点的值储存起来,其实原理都一样;
这个是要实现的函数的基本信息;
int* preorderTraversal(struct TreeNode* root, int* returnSize)
思路实现:
我们首先要确定数组的大小,数组的个数等于树中结点的个数,所以我们要先计算树中结点的个数;
int TreeSize(struct TreeNode* root)
{
return root==NULL?0:TreeSize(root->left)+TreeSize(root->right)+1;
}
//算结点的个数
*returnSize=TreeSize(root);
这个计算树结点个数的函数之前有些过,大体思路就是树结点的总和等于 根结点本身加上左,右子树的结点个数;
然后数组的元素个数知道了就要开始申请动态空间来定义数组了;
//开辟动态空间
int* arr=(int*)malloc(sizeof(int)*(*returnSize));
直接一个 malloc 拿下,元素类型与树结点的值类型一致;
然后数组也有了我们就要对其赋值了;
易错点:
1,前序遍历是需要用递归来实现的,不能直接在主函数里递归,因为主函数里有开辟动态空间还挺大的,会造成堆溢出,所以我们需要用另外一个函数来进行赋值操作;
void _preorderTraversal(struct TreeNode* root,int* arr)
{
if(root==NULL)
{
return ;
}
int i=0;
arr[i++]=root->val;
_preorderTraversal(root->left,arr);
_preorderTraversal(root->right,arr);
}
//赋值
_preorderTraversal(root,arr);

初学者们经常犯的错误,这里很明显错误的是下标 i 在递归调用函数时的不断重置,那我们把下标 i 放在主函数里是不是就可以解决呢?
void _preorderTraversal(struct TreeNode* root,int* arr,int i)
{
if(root==NULL)
{
return ;
}
arr[i++]=root->val;
_preorderTraversal(root->left,arr,i);
_preorderTraversal(root->right,arr,i);
}
int i=0;
//赋值
_preorderTraversal(root,arr,i);

这为什么也通过不了呢?很简单,每一次调用的下标 i 只是上一个函数的形参而已,形参的改变不会影响实参!
这有人就会问呀那也运行成功了一半呀! 那是因为能运行成功的树都是【斜树】这种树都只有一边的,我前面也介绍过;
斜树图示:

对,就是这种树才程序才可以通过,那为什么其他树不可以呢?因为像【斜树】这种每次的函数返回都是空并不涉及下标 i 的值的改变,但是其他树呢,就比如这棵树;

当函数走到 D 点的时候下标 i 为3,然后返回 B 开始给其右子树 E 赋值;
此时 E 中下标 i 的值是 4 吗?并不是! D 中改变 i 的值出了函数就失效了,形参的改变不能影响实参,所以此时 E 中下标 i 的值还是 2 ,因此程序通过不了了;
所以既然传值不行,那我们就传地址嘛,这样下标 i 就可以灵活变通了;
void _preorderTraversal(struct TreeNode* root,int* arr,int* i)
{
if(root==NULL)
{
return ;
}
arr[(*i)++]=root->val;
_preorderTraversal(root->left,arr,i);
_preorderTraversal(root->right,arr,i);
}
int i=0;
//赋值
_preorderTraversal(root,arr,&i);

这样就ok了,还有人说用全局变量也行,那我们来看看;
int i=0;
void _preorderTraversal(struct TreeNode* root,int* arr)
{
if(root==NULL)
{
return ;
}
arr[i++]=root->val;
_preorderTraversal(root->left,arr);
_preorderTraversal(root->right,arr);
}
//赋值
_preorderTraversal(root,arr);

大家忽略了一个问题,这种方式只能是一次性的;
因为全局变量 i 的值会一直变化且保存的,而要通过的话是要进行大量测试的,要调用很多次函数,而每一次调用函数下标 i 的值都是在上个函数里调用过的值,并没有重置,所以调用多了下标 i 就会无限大就会越界访问了;
源代码:
void _preorderTraversal(struct TreeNode* root,int* arr,int* i)
{
if(root==NULL)
{
return ;
}
arr[(*i)++]=root->val;
_preorderTraversal(root->left,arr,i);
_preorderTraversal(root->right,arr,i);
}
int TreeSize(struct TreeNode* root)
{
return root==NULL?0:TreeSize(root->left)+TreeSize(root->right)+1;
}
int* preorderTraversal(struct TreeNode* root, int* returnSize){
//算结点的个数
*returnSize=TreeSize(root);
//开辟动态空间
int* arr=(int*)malloc(sizeof(int)*(*returnSize));
int i=0;
//赋值
_preorderTraversal(root,arr,&i);
return arr;
}
这就是这道题的解题思路以及易错点了,写程序还是得细心得全面,特别是递归问题考虑的东西就更多了;
这阶段也还是带大家刷一些常见且经典的题目,掌握算法形成思路!
后面博主会陆续更新;
如有不足之处欢迎来补充交流!
完结。
AtomGit 是由开放原子开源基金会联合 CSDN 等生态伙伴共同推出的新一代开源与人工智能协作平台。平台坚持“开放、中立、公益”的理念,把代码托管、模型共享、数据集托管、智能体开发体验和算力服务整合在一起,为开发者提供从开发、训练到部署的一站式体验。
更多推荐


所有评论(0)