运算放大电路的基础(秒懂)
运算放大器(下文简称运放),理想的运放,它的输入阻抗无穷大,输出阻抗为零。

理想的运放电路分析有两大重要原则贯穿始终,即“虚短”与“虚断”。
“虚短”的意思是正端和负端接近短路,即V+ = V- ,看起来像“短路”;
“虚断”的意思是流入正端及负端的电流接近于零,即I+=I-=0,看起来像断路(因为输入阻抗无穷大)。
--------------放大电路------------------
-
反相比例放大电路

根据“虚短”和“虚断”法则可以很简单的计算得到结果:

等式1.1中的负号,表示输出和输入相位差180°
推导过程:
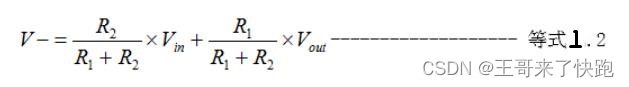
(1)电流的流入等于流出,所以i1=i2+i3 。由“虚断”法则得知i3=0A,所以i1=i2。
根据叠加法则:
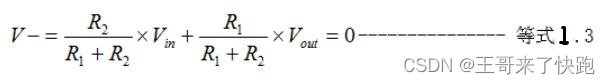
(2)又根据“虚短”法则,得知运放的正负两个端等同于“短路”,所以V+=V-。而因为运放的正端子V+被R3下拉至地平面,所以V-=V+=0V,代入等式1.2得到:

再根据等式1.3可以推导出等式1.1。
因为Vout与Vin成线性的比例关系,因此这个典型放大电路被称为比例放大电路。
关于R1、R2、R3的选值:
(1)R1、R2、R3应该在K级,不宜达到M级;
(2)R3应该等于或近似于R1和R2的并联,以消除偏置电流的影响。
-
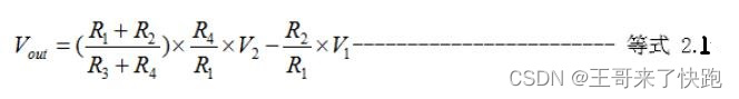
差分放大电路

同样可以推导:

当R1=R3并且R2=R4时,得到等式2.2.这就是电路的命名由来,它可以对差分信号进行放大。

-
同相放大电路
同相放大电路的输出和输入保持相同的相位。理想的运放具有输入阻抗无穷大,输出阻抗无穷小的特点,同相放大电路保持了运放的这种特性。

应用运放的“虚短”,可知V2=V1;此外,因为运放的“虚断”,输出电压的电流全部流经R2和R1,因此V2由R1和R2对Vout分压得到:

因此:

调节R2可以改变电路的放大倍数。
!!!注意
同相放大电路的应用场合具有局限性,一般只用于直流电平的放大,不适合用于交流信号的放大,因此它会将交流信号的直流偏置电压一并放大,从而使其偏置电位发生偏移。带参考电平的反相比例放大电路在信号放大时比较有实用性。

实际上再差分放大器的基础上加一个隔直电容C1。
-
电压跟随电路

电压跟随电路是运放的一种特殊应用方式,很容易得到Vout=Vin。输出电压跟随输入电压,因此称之为“电压跟随器”。
电压跟随电路是同相放大电路的衍生产物,是放大倍数为1的同相放大电路。前文已经介绍理想的同相放大电路的输入阻抗无穷大,输出阻抗无穷小。
基于此特性,电压跟随电路一般用于信号的隔离。如下图由于R1和R2产生参考电压供给下一级电路使用,因为下一级电路的等效内阻会影响R1和R2的分压比,因此参考电压将会发生变化,如果内阻不是固定的,那么这个电路将无法使用。
不可靠的参考电压电路

可靠的参考电压电路

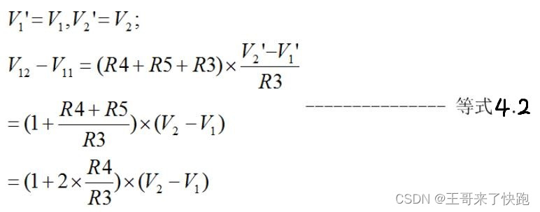
仪器放大电路

典型的仪器放大电路,顾名思义此方法电路使用于小信号的放大,一般用于传感器信号的放大。传感器的输出信号很小,一般只有几毫伏到几十毫伏。
电路由两级放大电路组成,第一级由A1,A2组成,同相输入,输入阻抗高,电路结构对称,可很好的抑制零点漂移;第二级由A3组成,良好的共模抑制比,输入阻抗高,增益在大范围内可调。
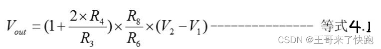
选值要求:R4=R5,R6=R7,R8=R9(保持电路的对称性),R3为可调电阻,用于调节电路增益。电路输入输出的关系式如下:

推导过程:
仪器放大电路是前文的同相放大电路及差分放大电路的综合体。
(1)首先分析由A1和A2组成的同相放大电路,由“虚短”和“虚断”原则,推导得到:

(2)由A3组成的差分放大电路,由“虚短”及“虚断”原则,推导得到:

(3)结合上面两个等式得出结论:

-
比较器
(1)简单的比较器

利用的原理是“理想的运放具有无穷大的增益”。因此,V+和V-之间稍有电压差,即可引起输出的翻转。微弱的电压差经运放放大引起输出饱和。

Av为运放的开环放大倍数(一般为100dB左右,即十万倍)。当V+大于V-时,输出为正饱和(接近VCC,但是无法达到),当V+小于V-时,输出为负饱和(接近-VSS,但是无法达到)。连接V+到地,构成过零比较器,如下图所示。
过零比较器

过零比较器虽然简单,但是并不实用,问题在于比较器只有一个临界电压,输入信号上的杂波易引起输出误操作。如下图的信号杂波引起的比较器误操作。

(2)迟滞比较器
这是一种比较实用的迟滞比较器

相比简单比较器,迟滞比较器只是增加了一个电阻R2。
通俗地说,R2在输入与输出之间搭起了一座桥梁,输出的变化可以通过R2传递至输入,然后比较器的阈值将随输出的变化而改变,达到了磁滞的目的。
R2的作用是将输出电压引入临界电压。
(3)窗口比较器
窗口比较器用于判别输入电压是否落在某一个范围之内。
其中,URH>URL,D1和D2不能省略,防止两个运放输出电平相反时损坏运放。比如,运放A1输出VOH,但是运放A2输出VOL,D1导通,但是D2截止,因此电流不会从A1流入A2,避免大电流损坏器件。

窗口比较的工作原理
1)、Uin>URH>URL,A1输出UOH,A2输出UOL,D1导通,D2截止,Uout=UOH;
2)、Uin<URL<URH,A1输出UOL,A2输出UOH,D1截止,D2导通,Uout=UOH;
3)、URL< Uin<URH,A1输出UOL,A2输出UOL,D1截止,D2截止,Uout=UOL;

AtomGit 是由开放原子开源基金会联合 CSDN 等生态伙伴共同推出的新一代开源与人工智能协作平台。平台坚持“开放、中立、公益”的理念,把代码托管、模型共享、数据集托管、智能体开发体验和算力服务整合在一起,为开发者提供从开发、训练到部署的一站式体验。
更多推荐



所有评论(0)