傅里叶变换 ~ 离散傅里叶变换(DFT)
文章目录
一、离散傅里叶变换(DFT)–有限长序列的离散频域表示
离散傅里叶变换(DFT)是数字信号处理中非常有用的一种变换,因为它是频域也离散化的一种傅里叶变换。也就是说,时域和频域都离散化了,这样使计算机对信号的时域、频域都能进行计算;另外DFT作为有限长序列的一种傅里叶表示法在理论上相当重要;最后由于DFT有多种快速算法。使得信号处理速度有非常大的提高。
离 散 傅 里 叶 变 换 ( D F T ) 是 离 散 傅 里 叶 级 数 ( D F S ) 引 申 出 来 的 , \color{red}{离散傅里叶变换(DFT)是离散傅里叶级数(DFS)引申出来的, } 离散傅里叶变换(DFT)是离散傅里叶级数(DFS)引申出来的, 这二者的时域、频域都是离散的,因而它们的时域、频域又必然是周期的。但是 DFT 是针对有限长序列的,实际上,它是取周期序列的 DFS 的一个周期的对应关系来加以定义和研究的,因而它隐含有周期性的。
1、主值区间、主值序列
设 x(n) 为有限长序列,只在 0≤n≤N-1 处有值,可以把它看成是以 N 为周期的周期性序列
的第一个周期(0≤n≤N-1),这第一个周期[0,N-1]就称为主值区间,主值区间的序列 x(n) 就称为主值序列,则有:

2、DFT的定义
设 x(n) 为M点有限长序列,即在 0≤n≤M-1 内有值,则可定义 x(n) 的 N 点(N≥M。当N>M时,补N-M个零值点)离散傅里叶变换定义为:
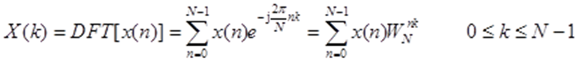
2.1、正变换:

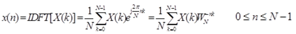
2.2、反变换:

3、DFT用矩阵表示

IDFT也可用矩阵表示:

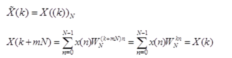
4、DFT与DFS的关系


5、DFT与DTFT、Z变换的关系 – 频域抽样

6、离散傅里叶变换对x(n)与X(k)中各参量间的关系
(1) 时域相邻两抽样点的时间间距 等于抽样频率的倒数。
(2) 频域相邻两抽样点的频率间距 等于时域序列的时间长度的倒数。
(3)频域相邻两抽样点的频率间距也等于抽样频率 与抽样点数 N 之比值。
7、DFT 隐含的周期性


二、DFT的主要性质
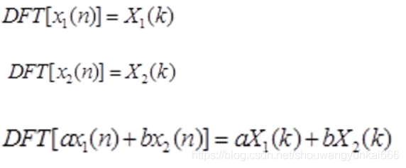
1、线性


2、圆周移位性质
2.1、圆周移位序列
一个有限长序列 x ( n ) x(n) x(n) 的圆周位移是指用它的点数 N 为周期,将其延拓成周期序列 x ~ ( n ) \tilde x(n) x~(n),将周期序列 x ~ ( n ) \tilde x(n) x~(n) 加以位移,然后取主值区间(n 为 0~(N - 1))上的序列值。因此一个有限长序列 x ( n ) x(n) x(n) 的m点圆周移位定义为:
上式中 x ( ( n + m ) ) N x{((n + m))_N} x((n+m))N 表示 x(n) 的周期延拓序列 x ~ ( n ) \tilde x(n) x~(n) 的 m 点线性移位
x ( ( n + m ) ) N = x ~ ( n + m ) x{((n + m))_N}{\rm{ = }}\tilde x(n + m) x((n+m))N=x~(n+m)
在作DFT运算时,N点有限长序列的m点移位,可以看成将x(n)以N为周期,延拓成周期序列 ,
将 x((n))N作m点线性移位后,再取主值区间中的序列,即得到x(n)的m点圆周移位序列 xm(n) 。
2.2、圆周移位性质
序列的圆周移位过程:
上图中N=6。

调制特性 ~ 离散时域的调制(相乘)等效于离散频域的圆周移位。
2、圆周共轭对称性质
2.1、圆周对称中心
(未完待续!)
AtomGit 是由开放原子开源基金会联合 CSDN 等生态伙伴共同推出的新一代开源与人工智能协作平台。平台坚持“开放、中立、公益”的理念,把代码托管、模型共享、数据集托管、智能体开发体验和算力服务整合在一起,为开发者提供从开发、训练到部署的一站式体验。
更多推荐


所有评论(0)