【OpenCV--边缘检测】
目录
2.应用:
一、边缘检测概念
1.边缘检测是图像处理和计算机视觉中的基本问题,边缘检测的目的是标识数字图像中亮度变化明显的点,往往以轮廓的形式表现出来
2.分类:边缘检测大幅度减少了数据量,删除了不相干的信息,保留图像重要的结构属性,它大幅可以分为两类
1>基于搜索:通过寻找图像一阶导数中最大值来检测边界利用计算结果估计边缘局部方向,通常采用梯度方向,利用此方向找到局部梯度模最大值,代表算法是Sobel算子和Scharr算子
2>基于零穿越:通过寻找图像二阶导数零穿越来寻找边界,代表算法为Laplacian算子
二、Sobel算子
1.描述:
Sobel边缘检测算法相对简单,实际应用时效率比canny要高,但是没有其精确,Sobel算子是高斯平滑和微分操作的结合体,其抗噪声能力强,当对效率要求较高,而对细纹理不太关心时,普遍应用Sobel算子
2.方法:
将图像I与基数大小的模板进行卷积,当模板大小为3时,垂直变化以及水平变化:


基于以上两个结果,求出每一点:

注意:当内核大小为3时,Sobel算子会产生比较明显误差,需要使用Scharr算法(只有大小为3核)

3.Sobel算子的应用:
Sobel_x_y=cv.Sobel(src,ddepth,dx,dy,dst,ksize,scale,delta,borderType)
参数:
dx,dy指求导的阶数,取值为0(表示没有求导),1
ksize:卷积核大小,为奇数,默认是3,当为-1时,演变成3*3Scharr算子
scale:缩放导数比例常数,默认没有
import numpy as np
import matplotlib.pyplot as plt
import cv2 as cv
img=cv.imread('cat.png',0)
#显示原图
#plt.imshow(img,cmap=plt.cm.gray)
#plt.show()
#计算Sobel卷积结果
x=cv.Sobel(img,cv.CV_16S,1,0)#cv.CV_16S表示图像转换成16位有符号数据类型
y=cv.Sobel(img,cv.CV_16S,0,1)
#将数据进行转换会uint8形式
Sobel_x=cv.convertScaleAbs(x)
Sobel_y=cv.convertScaleAbs(y)
#利用函数将结果进行合成
result=cv.addWeighted(Sobel_x,0.5,Sobel_y,0.5,0)
#t图像显示
#plt.imshow(result,cmap=plt.cm.gray)
#plt.show()
#利用Scharr算子
x1=cv.Sobel(img,cv.CV_16S,1,0,ksize=-1)
y1=cv.Sobel(img,cv.CV_16S,0,1,ksize=-1)
Sobel_x1=cv.convertScaleAbs(x1)
Sobel_y1=cv.convertScaleAbs(y1)
result1=cv.addWeighted(Sobel_x1,0.5,Sobel_y1,0.5,0)
plt.imshow(result1,cmap=plt.cm.gray)
plt.show()



三、Laplacian算子
1.描述:
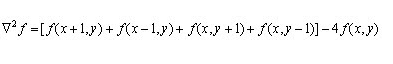
Laplacian算子是利用二阶导来检测边缘,不连续函数二阶导数计算:

则卷积核大小为:

2.应用:
laplacian=cv.Laplacian(src,ddepth,dst,ksize,scale,delta,borderType)
ddepth:图像的深度,-1表示和原图像深度相同,目标图像的深度大于等于原图像
import numpy as np
import matplotlib.pyplot as plt
import cv2 as cv
img=cv.imread('cat.png',0)
#显示原图
#plt.imshow(img,cmap=plt.cm.gray)
#plt.show()
#计算Laplacian卷积结果
laplacian=cv.Laplacian(img,cv.CV_16S)
#数据进行转换成uint8形式
result=cv.convertScaleAbs(laplacian)
plt.imshow(result,cmap=plt.cm.gray)
plt.show()


四、Canny边缘检测
1.原理:
1>噪声去除:由于边缘检测很容易受到噪声的影响,所以首先使用5 * 5高斯滤波器去除噪声
2>计算图像梯度:对平滑后的图像使用Sobel算子计算水平方向和竖直方向的一阶导数(Gx 和Gy)。根据得到的这两幅梯度,找到边界梯度和方向
3>非极大值抑制:在获得梯度的方向和大小之后,对整幅图像进行扫描,去除那些非边界上的点。对每一个像素进行检查,看这个点的梯度是不是周围具有相同梯度方向的点中最大的
4>滞后阈值:确定真正的边界,设置两个阈值: minVal 和maxVal。当图像的灰度梯度高于maxVal时被认为是真的边界,低于minVal的边界会被抛弃
2.应用:
canny=cv.Canny(src,threshold1,threshold2)
threshold1:较小的阈值minval,threshold2:较大的阈值maxval
import numpy as np
import matplotlib.pyplot as plt
import cv2 as cv
img=cv.imread('cat.png',0)
#plt.imshow(img,cmap=plt.cm.gray)
#plt.show()
canny=cv.Canny(img,0,100)
plt.imshow(canny,cmap=plt.cm.gray)
plt.show()


AtomGit 是由开放原子开源基金会联合 CSDN 等生态伙伴共同推出的新一代开源与人工智能协作平台。平台坚持“开放、中立、公益”的理念,把代码托管、模型共享、数据集托管、智能体开发体验和算力服务整合在一起,为开发者提供从开发、训练到部署的一站式体验。
更多推荐


所有评论(0)