《统计学》第八版贾俊平第四章总结及课后习题答案
1.考点归纳

2.考点提示
(1)集中趋势、离散趋势的度量指标,包括每个指标的含义、计算公式、特点、意义、适用范围(选择题、简答题、计算题考点);
(2)众数、中位数和平均数三个指标的特点和应用场合,偏态分布下三个指标的关系(选择题、简答题、计算题考点);
(3)分布形状的测度指标:偏态系数和峰态系数的数值含义(选择题、简答题考点)。
(4)标准分数的计算公式及应用(选择题、简答题、计算题考点);
(5)经验法则、切比雪夫不等式的具体应用(选择题考点)。
3.考点核心
(1):集中趋势的度量

【注意】不同偏态程度的分布中集中趋势度量指标的关系:①对称分布中,众数、中位数和平均数相等;②左偏分布中,数据存在极小值,拉动平均数向极小值一方靠,而众数和中位数不受极值的影响,有x<Me<Mo;③右偏分布中,数据存在极大值,必然拉动平均数向极大值一方靠,因此Mo<Me<x。
(2)离散程度的度量
数据的离散程度反映了各变量值远离其中心值的程度,离散程度越小,代表性就越好。

(3)分布形状的测度
偏态是对数据分布对称性的测度,峰态是对数据分布平峰或尖峰程度的测度。


(4)相对位置的度量
(1)标准分数(标准化值或z分数)
①计算公式:zi=(xi-x)/s。
②特点:平均数为0、标准差为1;对数据进行了线性变换,不改变数据在该组数据中的位置,也不改变该组数据分布的形状。
③用途:
a.测定某一数据在该组数据中的相对位置,并可以用它来判断一组数据是否有离群数据;
b.处理多个具有不同量纲的变量时,标准分数可用于对各变量进行标准化处理。
(2)经验法则(3σ原则)
当一组数据对称分布时,经验法则表明:
①约有68%的数据在平均数±1个标准差的范围之内;
②约有95%的数据在平均数±2个标准差的范围之内;
③约有99%的数据在平均数±3个标准差的范围之内。
因此,在平均数±3个标准差的范围内几乎包含了全部数据,而在±3个标准差之外的数据称为离群点。
(3)切比雪夫不等式
①概念:对于任意分布形态的数据,根据切比雪夫不等式,至少有(1-1/k2)的数据落在±k个标准差之内。其中k是大于1的任意值,不一定是整数。对于k=2,3,4,该不等式的含义是:
a.至少有75%的数据落在平均数±2个标准差的范围之内;
b.至少有89%的数据落在平均数±3个标准差的范围之内;
c.至少有94%的数据落在平均数±4个标准差的范围之内。
②特点:切比雪夫不等式对任何分布形状的数据都适用。
二练习题
1一家汽车零售店的10名销售人员5月份销售的汽车数量(单位:台)排序后如下:
2 4 7 10 10 10 12 12 14 15
要求:
(1)计算汽车销售量的众数、中位数和平均数。
(2)根据定义公式计算四分位数。
(3)计算销售量的标准差。
(4)说明汽车销售量分布的特征。
解:(1)10名销售人员5月份销售的汽车数量中,销售10台汽车的人数最多,为3人,因此众数M0=10。
中位数位置=(n+1)/2=(10+1)/2=5.5,所以Me=(10+10)/2=10(台)。
平均数
(2)由题中数据可得:
①QL位置=n/4=10/4=2.5,即QL在第2个数值(4)和第3个数值(7)之间0.5的位置上。因此
QL=(4+7)/2=5.5(台)
②QU位置=3n/4=3×10÷4=7.5,即QU在第7个数值(12)和第8个数值(12)之间0.5的位置上,因此
QU=(12+12)/2=12(台)
(3)由平均数x=9.6可得:

(4)由于平均数小于中位数和众数,所以汽车销售量为左偏分布。
2随机抽取25个网络用户,得到他们的年龄数据如表4-4所示。
要求:
(1)计算众数、中位数。
(2)计算四分位数。
(3)计算平均数和标准差。
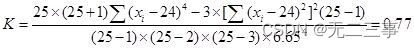
(4)计算偏态系数和峰态系数。
(5)对网民年龄的分布特征进行综合分析。
解:(1)对表4-4中数据按从小到大顺序排列:
![]()
由排序数据可知,年龄出现频数最多的是19和23,都出现3次,所以有两个众数,即Mo=19和Mo=23。
由于中位数位置=(n+1)/n=(25+1)/2=13,所以Me=23(岁)
(2)由题中数据可计算四分位数:
①QL位置=n/4=25/4=6.25,即QL在第6个数值(19)和第7个数值(19)之间0.25的位置上,因此
QL=19+0.25×(19-19)=19(岁)
②由于QU位置=3×25/4=25/4=18.75,即QU在第18个数值(25)和第19个数值(27)之间0.75的位置上,因此
QU=25+0.75×(27-25)=26.5(岁)
(3)平均数

由平均数x=24可得:

(4)偏态系数:

峰态系数:
![]()
(5)对网民年龄的分布特征进行综合分析的结果如下:从众数、中位数和平均数来看,网民年龄在23岁左右的人占多数;标准差较大,说明网民之间的年龄差异较大;偏态系数大于1,表明网民的年龄分布为右偏,且偏斜程度很大。峰态系数为正值,是尖峰分布,表明网民的年龄分布较为集中。
3某电商6月份各天的销售额数据

要求:
(1)计算该百货公司日销售额的平均数和中位数。
(2)计算四分位数。
(3)计算日销售额的标准差。
解:(1)由日销售额的平均数为:

将表4-5中数据排序可得:

中位数位置=(30+1)/2=15.5,因此Me=(272+273)/2=272.5
(2)由题中数据可计算四分位数:
①由于QL位置=30/4=7.5,即QL在第7个数值(258)和第8个数值(261)之间0.5的位置上。因此
QL=(258+261)/2=259.5(万元)②QU位置=3×30÷4=22.5,即QL在第22个数值(284)和第23个数值(291)之间0.5的位置上。因此
QU=(284+291)/2=287.5(万元)
(3)由日销售额的平均数x=274.1可得:

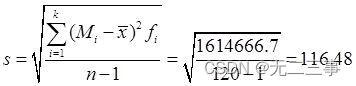
4在某地区抽取120家企业,按利润额进行分组。

要求:
(1)计算120家企业利润额的平均数和标准差。
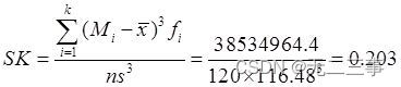
(2)计算分布的偏态系数和峰态系数。
解:(1)平均数计算过程如表4-7所示。
表4-7 某地区120家企业利润额平均数计算过程表

由表4-7中数据可得平均数:

标准差计算过程如表4-8所示。

表4-8 某地区120家企业利润额标准差计算过程表
由表4-8中数据可得:

(2)偏态系数和峰态系数的计算过程如表4-9所示。
表4-9 偏态系数和峰态系数计算过程表

由表中数据可得偏态系数为:

由表中数据可得峰态系数:

5一条产品生产线平均每天的产量为3700件,标准差为50件。如果某一天的产量低于或高于平均产量,并落入±2个标准差的范围之外,就认为该生产线“失去控制”。表4-10是一周各天的产量,该生产线哪几天失去了控制?
表4-10 产品生产线产量资料
![]()
解:由于x=3700,s=50,利用公式zi=(xi-x)/s可以计算每天的标准分数,如表4-11所示。
![]()
表4-11 产品生产线产量的标准分数表
由表4-11中数据可知:周一、周六的标准分数的绝对值大于2,所以周一和周六两天失去了控制。
6一种产品需要人工组装,现有三种可供选择的组装方法。为检验哪种方法更好,随机抽取15个工人,让他们分别用三种方法组装。表4-12是15个工人分别用三种方法在相同的时间内组装的产品数量。
表4-12 工人用三种方法在相同的时间内组装的产品数量(单位:个)

要求:
(1)你准备采用什么方法来评价组装方法的优劣?
(2)如果让你选择一种方法,你会作出怎样的选择?试说明理由。解:(1)应该从平均数和标准差两个方面进行评价。在对各种方法的离散程度进行比较时,应该采用离散系数。
(2)表4-13给出了用Excel计算一些主要描述统计量。
表4-13 描述统计量

从三种方法的集中趋势来看,方法A的平均产量最高,中位数和众数也都高于其他两种方法。从离散程度来看,三种方法的离散系数分别为:
vA=sA/xA=2.13/165.6=0.013
vB=sB/xB=1.75/128.73=0.014
vA=sC/xC=2.77/125.53=0.022
方法A的离散系数最小,即离散程度最小,因此应选择方法A。
新一代开源开发者平台 GitCode,通过集成代码托管服务、代码仓库以及可信赖的开源组件库,让开发者可以在云端进行代码托管和开发。旨在为数千万中国开发者提供一个无缝且高效的云端环境,以支持学习、使用和贡献开源项目。
更多推荐



所有评论(0)