背包问题(四种)
背包问题
文章目录
一、背包模型(定义)
01背包: 有N个物品和一个容量为V的背包,每一个物品有两个属性,一个是它的体积Vi,另一个是它的价值Wi(这里的价值其实是权重的意思),每件物品最多只能用一次(即0次或者1次);问题为从这些物品中挑一些物品,使得总体积 ≤ V,目标是使我们选出的这些物品的总价值最大,最大值是多少?
完全背包:每件物品能用无限次
多重背包:每件物品最多有Si个
分组背包: 物品有N组,每组物品里有若干个,每组里最多选一个物品
注:不一定要装满背包
二、01背包
题目
有 N 件物品和一个容量是 V 的背包。每件物品只能使用一次。
第 i 件物品的体积是 vi ,价值是 wi。
求解将哪些物品装入背包,可使这些物品的总体积不超过背包容量,且总价值最大。
输出最大价值。
输入格式
第一行两个整数,N,V,用空格隔开,分别表示物品数量和背包容积。
接下来有 N 行,每行两个整数 vi,wi,用空格隔开,分别表示第 i 件物品的体积和价值。
输出格式
输出一个整数,表示最大价值。
数据范围
0 < N,V ≤ 1000
0 < vi,wi ≤ 1000
输入样例
4 5
1 2
2 4
3 4
4 5
输出样例:
8
题意

思路

图解:
状态表示f(i,j):考虑需要几维来表示状态,每个状态的含义是什么
集合:考虑f(i,j)表示哪一个集合,01背包问题中,表示所有满足下列两个条件的选法的集合
属性:01背包问题中,集合中所有选法的价值的最大值
状态计算:如何把每一个f(i,j)状态算出来
f(i,j)的集合划分中的含i的集合的计算:由于所有的选法都包含第i个物品,所以先把第i个物品去掉,然后求最大值,然后再把第i个物品加上(可能为空集:当j<vi时)
注:Dp优化一般来说都是对Dp问题的代码或者计算方程做一个等价变形
二维AC代码
#include<iostream>
#include<cstdio>
#include<cstring>
#include<algorithm>
using namespace std;
const int N=1010;
int n,m;//n表示所有物品的个数,m表示容量
int v[N],w[N];//v表示体积,w表示价值
int f[N][N];//表示状态
int main()
{
cin>>n>>m;
for(int i=1;i<=n;i++)
{
cin>>v[i]>>w[i];
}
for(int i=1;i<=n;i++)
{
for(int j=0;j<=m;j++)
{
f[i][j]=f[i-1][j];
if(j>=v[i])
{
f[i][j]=max(f[i][j],f[i-1][j-v[i]]+w[i]);
}
}
}
cout<<f[n][m]<<endl;
return 0;
}
一维AC代码
#include<iostream>
#include<cstdio>
#include<cstring>
#include<algorithm>
using namespace std;
const int N=1010;
int n,m;//n表示所有物品的个数,m表示容量
int v[N],w[N];//v表示体积,w表示价值
int f[N];//表示状态
int main()
{
cin>>n>>m;
for(int i=1;i<=n;i++)
{
cin>>v[i]>>w[i];
}
for(int i=1;i<=n;i++)
{
for(int j=m;j>=v[i];j--)
{
f[j]=max(f[j],f[j-v[i]]+w[i]);
}
}
cout<<f[m]<<endl;
return 0;
}
三、完全背包
题目
有 N 种物品和一个容量是 V 的背包,每种物品都有无限件可用。
第 i 种物品的体积是 vi,价值是 wi。
求解将哪些物品装入背包,可使这些物品的总体积不超过背包容量,且总价值最大。
输出最大价值。
输入格式
第一行两个整数,N,V,用空格隔开,分别表示物品种数和背包容积。
接下来有 N 行,每行两个整数 vi,wi,用空格隔开,分别表示第 i 种物品的体积和价值。
输出格式
输出一个整数,表示最大价值。
数据范围
0 < N,V ≤ 1000
0 < vi,wi ≤ 1000
输入样例
4 5
1 2
2 4
3 4
4 5
输出样例:
10
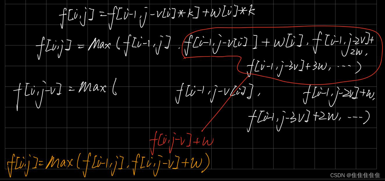
思路1

朴素TLE代码
#include<iostream>
#include<cstdio>
#include<cstring>
#include<algorithm>
using namespace std;
const int N=1010;
int n,m;//n表示所有物品的个数,m表示容量
int v[N],w[N];//v表示体积,w表示价值
int f[N][N];//表示状态
int main()
{
cin>>n>>m;
for(int i=1;i<=n;i++)
{
cin>>v[i]>>w[i];
}
for(int i=1;i<=n;i++)
{
for(int j=0;j<=m;j++)
{
for(int k=0;k*v[i]<=j;k++)
{
f[i][j]=max(f[i][j],f[i-1][j-v[i]*k]+w[i]*k);
}
}
}
cout<<f[n][m]<<endl;
return 0;
}
思路2

二维AC代码
#include<iostream>
#include<cstdio>
#include<cstring>
#include<algorithm>
using namespace std;
const int N=1010;
int n,m;//n表示所有物品的个数,m表示容量
int v[N],w[N];//v表示体积,w表示价值
int f[N][N];//表示状态
int main()
{
cin>>n>>m;
for(int i=1;i<=n;i++)
{
cin>>v[i]>>w[i];
}
for(int i=1;i<=n;i++)
{
for(int j=0;j<=m;j++)
{
f[i][j]=f[i-1][j];
if(j>=v[i])
{
f[i][j]=max(f[i][j],f[i][j-v[i]]+w[i]);
}
}
}
cout<<f[n][m]<<endl;
return 0;
}
一维AC代码
#include<iostream>
#include<cstdio>
#include<cstring>
#include<algorithm>
using namespace std;
const int N=1010;
int n,m;//n表示所有物品的个数,m表示容量
int v[N],w[N];//v表示体积,w表示价值
int f[N];//表示状态
int main()
{
cin>>n>>m;
for(int i=1;i<=n;i++)
{
cin>>v[i]>>w[i];
}
for(int i=1;i<=n;i++)
{
for(int j=v[i];j<=m;j++)
{
f[j]=max(f[j],f[j-v[i]]+w[i]);
}
}
cout<<f[m]<<endl;
return 0;
}
四、多重背包
多重背包问题I
题目
有 N 种物品和一个容量是 V 的背包。
第 i 种物品最多有 si件,每件体积是 vi,价值是 wi。
求解将哪些物品装入背包,可使物品体积总和不超过背包容量,且价值总和最大。
输出最大价值。
输入格式
第一行两个整数,N,V,用空格隔开,分别表示物品种数和背包容积。
接下来有 N 行,每行三个整数 vi,wi,si,用空格隔开,分别表示第 i 种物品的体积、价值和数量。
输出格式
输出一个整数,表示最大价值。
数据范围
0 < N,V ≤ 100
0 < vi,wi,si ≤ 100
输入样例
4 5
1 2 3
2 4 1
3 4 3
4 5 2
输出样例:
10
思路

暴力AC代码
#include<iostream>
#include<cstdio>
#include<cstring>
#include<algorithm>
using namespace std;
const int N=110;
int n,m;//n表示所有物品的个数,m表示容量
int v[N],w[N],s[N];//v表示体积,w表示价值
int f[N][N];//表示状态
int main()
{
cin>>n>>m;
for(int i=1;i<=n;i++)
{
cin>>v[i]>>w[i]>>s[i];
}
for(int i=1;i<=n;i++)
{
for(int j=0;j<=m;j++)
{
for(int k=0;k<=s[i]&&k*v[i]<=j;k++)
{
f[i][j]=max(f[i][j],f[i-1][j-v[i]*k]+w[i]*k);
}
}
}
cout<<f[n][m]<<endl;
return 0;
}
多重背包问题II
题目
有 N 种物品和一个容量是 V 的背包。
第 i 种物品最多有 si件,每件体积是 vi,价值是 wi。
求解将哪些物品装入背包,可使物品体积总和不超过背包容量,且价值总和最大。
输出最大价值。
输入格式
第一行两个整数,N,V,用空格隔开,分别表示物品种数和背包容积。
接下来有 N 行,每行三个整数 vi,wi,si,用空格隔开,分别表示第 i 种物品的体积、价值和数量。
输出格式
输出一个整数,表示最大价值。
数据范围
0 < N ≤ 1000
0 < V ≤ 2000
0 < vi,wi,si ≤ 2000
提示:
本题考查多重背包的二进制优化方法。
输入样例
4 5
1 2 3
2 4 1
3 4 3
4 5 2
输出样例:
10
AC代码
#include<iostream>
#include<cstdio>
#include<cstring>
#include<algorithm>
using namespace std;
const int N=25000,M=2010;
int n,m;//n表示所有物品的个数,m表示容量
int v[N],w[N];//v表示体积,w表示价值
int f[N];//表示状态
int main()
{
cin>>n>>m;
int cnt=0;
for(int i=1;i<=n;i++)
{
int a,b,s;
cin>>a>>b>>s;
int k=1;
while(k<=s)
{
cnt++;
v[cnt]=a*k;
w[cnt]=b*k;
s-=k;
k*=2;
}
if(s>0)
{
cnt++;
v[cnt]=a*s;
w[cnt]=b*s;
}
}
n=cnt;
for(int i=1;i<=n;i++)
{
for(int j=m;j>=v[i];j--)
{
f[j]=max(f[j],f[j-v[i]]+w[i]);
}
}
cout<<f[m]<<endl;
return 0;
}
五、分组背包
题目
有 N 组物品和一个容量是 V 的背包。
每组物品有若干个,同一组内的物品最多只能选一个。
每件物品的体积是 vij,价值是 wij,其中 i 是组号,j 是组内编号。
求解将哪些物品装入背包,可使物品总体积不超过背包容量,且总价值最大。
输出最大价值。
输入格式
第一行有两个整数 N,V,用空格隔开,分别表示物品组数和背包容量。
接下来有 N 组数据:
- 每组数据第一行有一个整数 Si,表示第 i 个物品组的物品数量;
- 每组数据接下来有 Si 行,每行有两个整数 vij,wij,用空格隔开,分别表示第 i 个物品组的第 j 个物品的体积和价值;
输出格式
输出一个整数,表示最大价值。
数据范围
0 <N,V ≤ 100
0 < Si ≤ 100
0 < vij,wij ≤ 100
输入样例
3 5
2
1 2
2 4
1
3 4
1
4 5
输出样例:
8
思路

AC代码
#include<iostream>
#include<cstdio>
#include<cstring>
#include<algorithm>
using namespace std;
const int N=110;
int n,m;//n表示所有物品的个数,m表示容量
int v[N][N],w[N][N],s[N];//v表示体积,w表示价值
int f[N];//表示状态
int main()
{
cin>>n>>m;
for(int i=1;i<=n;i++)
{
cin>>s[i];
for(int j=0;j<s[i];j++)
{
cin>>v[i][j]>>w[i][j];
}
}
for(int i=1;i<=n;i++)
{
for(int j=m;j>=0;j--)
{
for(int k=0;k<s[i];k++)
{
if(v[i][k]<=j)
{
f[j]=max(f[j],f[j-v[i][k]]+w[i][k]);
}
}
}
}
cout<<f[m]<<endl;
return 0;
}
AtomGit 是由开放原子开源基金会联合 CSDN 等生态伙伴共同推出的新一代开源与人工智能协作平台。平台坚持“开放、中立、公益”的理念,把代码托管、模型共享、数据集托管、智能体开发体验和算力服务整合在一起,为开发者提供从开发、训练到部署的一站式体验。
更多推荐


所有评论(0)